கரிம நைட்ரஜன் சேர்மங்கள் | வேதியியல் - சரியான விடையைத் தேர்வு செய்க | 12th Chemistry : UNIT 13 : Organic Nitrogen Compounds
வேதியியல் : கரிம நைட்ரஜன் சேர்மங்கள்
I. சரியான விடையைத் தேர்வு செய்க
1. பின்வருவனவற்றுள் எந்த வினைக் காரணி நைட்ரோ பென்சீனை அனிலீனாக மாற்றுகிறது
அ) Sn/HCIL
ஆ) ZnHg/NaOH
இ) LiAIH4
ஈ) இவை அனைத்தும்
விடை: அ) Sn/HCl
2. பின்வரும் எந்த முறையில் அனிலீனை தயாரிக்க முடியாது?
அ) Br2/NaOH உடன் பென்சமைடின் இறக்க வினை
ஆ) குளோரோபென் சீனுடன் பொட்டாசியம் தாலிமைடை வினைப்படுத்தி பிறகு NaOH கரைசலுடன் நீராற்பகுப்பது
இ) பீனைல் சயனைடை அமிலக் கரைசலுடன் நீராற்பகுத்தல்
ஈ) நைட்ரோ பென் சீனை Sn/HCI உடன் ஒடுக்குதல்
விடை: ஆ) குளோரோபென்சீனுடன் பொட்டாசியம் தாலிமைடை வினைப்படுத்தி பிறகு NaOH கரைசலுடன் நீராற்பகுப்பது
3. பின்வருவனவற்றுள் எது ஹாப்மன் புரோமைடு வினைக்கு உட்படாது
அ) CH3CONHCH3
ஆ) CH3CH2CONH2
இ) CH3CONH2
ஈ) C6H5CONH2
விடை: அ) CH3CONHCH3
தீர்வு: முதல் நிலை அமைடுகள் மட்டுமே ஹாப்மன் வினையில் ஈடுபடும்.
4. கூற்று : KOH மற்றும் புரோமினுடன் அசிட்டமைடு வினைப்பட்டு அசிட்டிக் அமிலத்தை கொடுக்கிறது. காரணம் : அசிட்டமைடு நீராற்பகுத்தலில் புரோமின் வினையூக்கியாக செயல்படுகிறது.
அ) கூற்று மற்றும் காரணம் இரண்டும் சரி. மேலும் காரணம், கூற்றுக்கான சரியான விளக்கமாகும்.
ஆ) கூற்று மற்றும் காரணம் இரண்டும் சரி. ஆனால் காரணம், கூற்றுக்கான சரியான விளக்கமல்ல
இ) கூற்று சரி ஆனால் காரணம் தவறு
ஈ) கூற்று மற்றும் காரணம் இரண்டும் தவறு.
விடை: ஈ) கூற்று மற்றும் காரணம் இரண்டும் தவறு

அ) புரோமோ மீத்தேன்
ஆ) α-புரோமோசோடியம் அசிட்டேட்
இ) மெத்தனமீன்
ஈ) அசிட்டமைடு
விடை: இ) மெத்தனமீன்
தீர்வு:

6. பின்வரும் நைட்ரோ சேர்மங்களில் எது நைட்ரஸ் அமிலத்துடன் வினைபுரியாது.
அ) CH3-CH2-CH2-NO2
ஆ) (CH3)2 CH-CH2 No2
இ) (CH3)3 CNO2

விடை: இ) (CH3)3 CNO2
தீர்வு: 3° நைட்ரோ அல்கேன்
7. அனிலீன் + பென்சோயில் குளோரைடு
இந்த வினையானது
அ) ஃப்ரீடல் கிராப்ட் வினை
ஆ) HVZ வினை
இ) ஸ்காட்டன் பௌமான் வினை
ஈ) இவற்றில் எதுவுமில்லை
விடை: இ) ஸ்காட்டன் பௌமான் வினை
8. ஓரிணைய அமீன்கள் ஆல்டிஹைடுகளுடன் வினை புரிந்து கொடுக்கும் விளைபொருள் (NEET)
அ) கார்பாக்சிலிக் அமிலம்
ஆ) அரோமேட்டிக் அமிலம்
இ) ஷிப்-காரம்
ஈ) கீட்டோன்
விடை: இ) ஷிப்-காரம்
9. பின்வரும் வினைகளில் தவறானது எது?

ஈ) இவற்றுள் எதுவுமில்லை
விடை: ஆ
தீர்வு :
p - நைட்ரோசேஷன் நிகழ்கின்றது
என்பது விளைப்பொருள் ஆகும்.
10. அனிலீனானது அசிட்டிக் அமில நீரிலியுடன் வினைப்பட்டு கொடுக்கும் விளைபொருள்
அ) o - அமினோ அசிட்டோ பீனோன்
ஆ) m - அமினோ அசிட்டோ பீனோன்
இ) p - அமினோ அசிட்டோ பீனோன்
ஈ) அசிட்டனிலைடு
விடை: ஈ) அசிட்டனிலைடு
தீர்வு :

11. மெத்தில் தொகுதி பதிலீடு செய்யப்பட்ட அமீன்களின் நீர்க்கரைசலில் காரத்தன்மை வலிமை வரிசை
அ) N(CH3)3 > N(CH3)2 H >N(CH3)H2 >NH3
ஆ) N(CH3)H2 > N(CH3)2H > N(CH3)3 > NH3
இ) NH3 > N(CH3]H2 > N(CH3)2H > N(CH3)3
ஈ) N(CH3)2 H > N(CH3)H2 > N(CH3)3 > NH3
விடை : ஈ) N(CH3)2 H > N(CH3)H2 > N(CH3)3 > NH3

அ) H3PO2 and H2O
ஆ) H+/H2O
இ) HgSO4 / H2SO4
ஈ) Cu2Cl2
விடை: அ) H3PO2 and H2O

அ) C6H5-OH
ஆ) C6H5-CH2OH
இ) C6H5-CHO
ஈ ) C6H5NH2
விடை: அ) C6H5-OH
தீர்வு:
C6H5NO2 ---Fe/HCl→C6H5NH2 ---NaNO2/Hcl→ C6H5 -N2Cl --H2O→C6H5 -OH+N2›+HCl
14. நைட்ரோபென்சீன் ஆனது அடர் HNO3 / H2SO4 உடன் 80-100°C ல் வினைபுரிந்து கொடுக்கும் விளைபொருள் எது?
அ) 1, 4 - டைநைட்ரோபென்சீன்
ஆ) 2, 4-6- ட்ரைநைட்ரோ பென்சீன்
இ) 1, 2 - டைநைட்ரோ பென்சீன்
ஈ) 1, 3 -டைநைட்ரோ பென்சீன்
விடை: ஈ) 1, 3 - டைநைட்ரோ பென்சீன்
தீர்வு :

15. C5H13N என்ற மூலக்கூறுவாய்பாடுடைய சேர்மம் HNO2 உடன் வினைப்பட்டு ஒளிசுழற்றும் தன்மை யுடைய சேர்மத்தை கொடுக்கிறது எனில் அச் சேர்மம்
அ) பென்டன்-1-அமீன்
ஆ) பென்டன்-2-அமீன்
இ) N, N-டைமெத்தில் புரப்பன்-2-அமீன்
ஈ) N-மெத்தில் பியூட்டன்-2-அமீன்
விடை: ஈ) N-மெத்தில் பியூட்டன்-2-அமீன்
16. ஈரிணைய நைட்ரோ ஆல்கேன்கள் நைட்ரஸ் அமிலத்துடன் வினைபுரிந்து கொடுப்பது
அ) சிவப்பு நிற கரைசல்
ஆ) நீல நிற கரைசல்
இ) பச்சை நிற கரைசல்
ஈ) மஞ்சள் நிற கரைசல்
விடை: ஆ) நீல நிற கரைசல்
17. பின்வரும் அமீன்களில் அசிட்டைலேற்ற வினைக்கு உட்படாதது எது?
அ) மூவிணைய பியூட்டைலமீன்
ஆ) எத்தில் அமீன்
இ) டைஎத்தில் அமீன்
ஈ) ட்ரை எத்தில் அமீன்
விடை: ஈ) ட்ரை எத்தில் அமீன் (3° அமீன்)
18. பின்வருவனவற்றுள் எது அதிக காரத்தன்மை யுடையது?
அ)2, 4 - டை குளோரோ அனிலீன்
ஆ) 2,4-டை மெத்தில் அனிலீன்
இ) 2, 4 - டைநைட்ரோ அனிலீன்
ஈ) 2,4-டைபுரோமோ அனிலீன்
விடை: ஆ) 2,4-டை மெத்தில் அனிலீன்
தீர்வு:
CH3 என்பது ஒரு +1 தொகுதி, மற்றவை -1 தொகுதிகள் +1 தொகுதியானது NH2 ன் மேல் எலக்ட்ரான் அடர்வினை அதிகரிக்கின்றது எனவே காரத்தன்மையும் அதிகரிக்கின்றது.
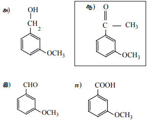
19.
என்ற சேர்மம் Sn/HCI ஆல் ஒடுக்கமடைந்து கொடுக்கும் விளைபொருட்கள்
அ) எத்தனால், ஹைட்ராக்சிலமீன் ஹைட்ரோகுளோரைடு
ஆ) எத்தனால், அம்மோனியம் ஹைட்ராக்சைடு
இ) எத்தனால், NH2OH
ஈ) CH3N5H2, H2O
விடை: அ) எத்தனால், ஹைட்ராக்சிலமீன் ஹைட்ரோகுளோரைடு
20.
என்ற சேர்மத்தின் IUPAC பெயர்
அ) 3 - டைமெத்தில் அமினோ - 3 – மெத்தில் பென்டேன்
ஆ) 3 (N,N - ட்ரை எத்தில்) - 3 – அமினோ பென்டேன்
இ) 3 - N,N - ட்ரை மெத்தில் பென்டமீன்
ஈ) 3 - (N,N - டைமெத்தில் அமினோ ) - 3 - மெத்தில் பென்டேன்
விடை: ஈ) 3 - (N.N - டைமெத்தில் அமினோ ) - 3 - மெத்தில் பென்டேன்
21.
வினையின் விளைபொருள் (P) என்பது

விடை: ஆ
22. பென்சோயிக் அமிலத்தின் அம்மோனியம் உப்பை P2O5 உடன் நன்கு வெப்பப்படுத்தி கிடைக்கும் விளைபொருளை ஒடுக்கமடையச் செய்து அதனை NaNO2 / HCI உடன் குறைந்த வெப்பநிலையில் வெப்பப் படுத்தும் போது இறுதியில் கிடைக்கும் விளைபொருள்
அ) பென்சீன்டைய சோனியம் குளோரைடு
ஆ) பென்சைல் ஆல்கஹால்
இ) பீனால்
ஈ) நைட்ரசோபென்சீன்
விடை: ஆ) பென்சைல் ஆல்கஹால்
தீர்வு :

23. பின்வரும் வினைவரிசையில் X கண்டறிக

விடை: அ
24. பின்வருவனவற்றுள் எது எலக்ட்ரான் கவர் பதிலீட்டு வினை ஆகும்.

விடை: ஆ
25. பின்வரும் வினையில் முதன்மை விளைபொருள் 

விடை: ஆ