கேள்வி பதில்கள் மற்றும் தீர்வுகள் | கணக்கு - பயிற்சி 3.4 : விகிதமுறு கோவைகள் | 10th Mathematics : UNIT 3 : Algebra
Posted On : 13.08.2022 11:37 pm
10வது கணக்கு : அலகு 3 : இயற்கணிதம்
பயிற்சி 3.4 : விகிதமுறு கோவைகள்
கணக்கு புத்தக பயிற்சி கேள்விகளுக்கான பதில்கள் மற்றும் தீர்வு - கணிதம்: இயற்கணிதம் : விகிதமுறு கோவைகள் : பதில், தீர்வுடன் பயிற்சி வினாக்கள்
பயிற்சி 3.4
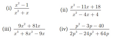
1. பின்வரும் விகிதமுறு கோவைகளை எளிய வடிவிற்குச் சுருக்குக. 

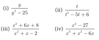
2. கீழ்க்கண்ட கோவைகளுக்கு விலக்கப்பட்ட மதிப்புகள் இருப்பின் அவற்றைக் காண்க.


விடைகள்:
Tags : Problem Questions with Answer, Solution | Mathematics கேள்வி பதில்கள் மற்றும் தீர்வுகள் | கணக்கு.
10th Mathematics : UNIT 3 : Algebra : Exercise 3.4: Rational Expressions Problem Questions with Answer, Solution | Mathematics in Tamil : 10th Standard
Tamil Medium School Samacheer Book Back Questions and answers, Important Question with Answer.
10வது கணக்கு : அலகு 3 : இயற்கணிதம் : பயிற்சி 3.4 : விகிதமுறு கோவைகள் - கேள்வி பதில்கள் மற்றும் தீர்வுகள் | கணக்கு : 10 ஆம் வகுப்பு
புத்தகம் கேள்விகள் மற்றும் பதில்கள்.