கேள்வி பதில்கள் மற்றும் தீர்வுகள் | கணக்கு - பயிற்சி 3.5 : விகிதமுறு கோவைகள் மீதான செயல்கள் | 10th Mathematics : UNIT 3 : Algebra
Posted On : 14.08.2022 12:15 am
10வது கணக்கு : அலகு 3 : இயற்கணிதம்
பயிற்சி 3.5 : விகிதமுறு கோவைகள் மீதான செயல்கள்
கணக்கு புத்தக பயிற்சி கேள்விகளுக்கான பதில்கள் மற்றும் தீர்வு - கணிதம்: இயற்கணிதம் : விகிதமுறு கோவைகள் மீதான செயல்கள் : விகிதமுறு கோவைகளின் பெருக்கற்பலன், வகுத்தல் : பதில், தீர்வுடன் பயிற்சி வினாக்கள்
பயிற்சி 3.5
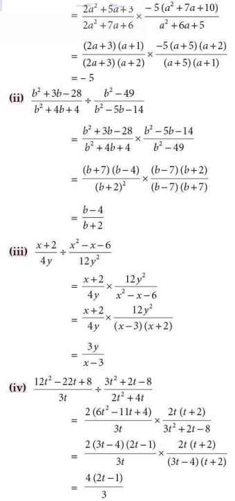
1. சுருக்குக

5. p(x) = x2 − 5x −14 என்ற பல்லுறுப்புக்கோவையை q(x) என்ற பல்லுறுப்புக் கோவையால் வகுக்க (x−7) / (x+2), எனும் விடை கிடைக்கிறது எனில், q (x)- ஐக் காண்க.











செயல்பாடு 1
(i) ஒரு செவ்வக வடிவப் பூங்காவின் நீளமானது ஓர் எண் மற்றும் அதன் தலைகீழியின் கூடுதலாகும். அதன் அகலமானது அதே எண்ணின் வர்க்கம் மற்றும் அந்த வர்க்க எண்ணின் தலைகீழி ஆகியவற்றின் வித்தியாசம் ஆகும். செவ்வக வடிவப் பூங்காவின் நீளம், அகலம் மற்றும் நீள, அகலங்களின் விகிதம் ஆகியவற்றைக் காண்க.

(ii) கொடுக்கப்பட்டுள்ள முக்கோணத்தின் சுற்றளவிற்கும், அதன் பரப்பளவிற்கும் உள்ள விகிதம் காண்க.

விடைகள்:

Tags : Problem Questions with Answer, Solution | Mathematics கேள்வி பதில்கள் மற்றும் தீர்வுகள் | கணக்கு.
10th Mathematics : UNIT 3 : Algebra : Exercise 3.5: Multiplication and Division of Rational Expressions Problem Questions with Answer, Solution | Mathematics in Tamil : 10th Standard
Tamil Medium School Samacheer Book Back Questions and answers, Important Question with Answer.
10வது கணக்கு : அலகு 3 : இயற்கணிதம் : பயிற்சி 3.5 : விகிதமுறு கோவைகள் மீதான செயல்கள் - கேள்வி பதில்கள் மற்றும் தீர்வுகள் | கணக்கு : 10 ஆம் வகுப்பு
புத்தகம் கேள்விகள் மற்றும் பதில்கள்.