கேள்வி பதில்கள் மற்றும் தீர்வுகள் | கணக்கு - பயிற்சி 3.6 : விகிதமுறு கோவைகளின் கூட்டல், கழித்தல் | 10th Mathematics : UNIT 3 : Algebra
Posted On : 14.08.2022 12:34 am
10வது கணக்கு : அலகு 3 : இயற்கணிதம்
பயிற்சி 3.6 : விகிதமுறு கோவைகளின் கூட்டல், கழித்தல்
கணக்கு புத்தக பயிற்சி கேள்விகளுக்கான பதில்கள் மற்றும் தீர்வு - கணிதம்: இயற்கணிதம் : விகிதமுறு கோவைகள் மீதான செயல்கள் : விகிதமுறு கோவைகளின் கூட்டல், கழித்தல் : பதில், தீர்வுடன் பயிற்சி வினாக்கள்
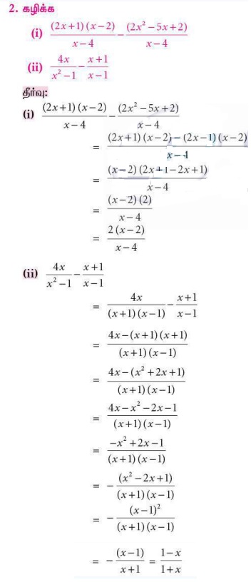
பயிற்சி 3.6





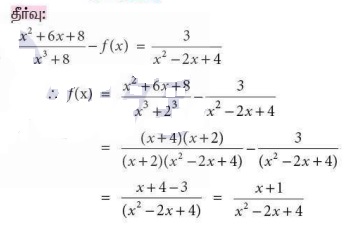
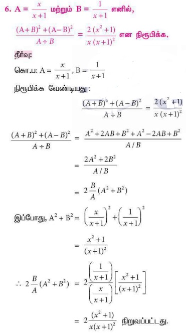
4.
- யிலிருந்து எந்த விகிதமுறு கோவையைக் கழித்தால்
என்ற கோவை கிடைக்கும்.




7. ஒரு வேலையை 4 மணி நேரத்தில் பாரி செய்கிறார். யுவன் அதே வேலையை 6 மணி நேரத்தில் செய்கிறார் எனில் இருவரும் சேர்ந்து அந்த வேலையைச் செய்து முடிக்க எத்தனை மணி நேரமாகும்?

8. இனியா 50கி.கி எடையுள்ள ஆப்பிள்கள் மற்றும் வாழைப்பழங்கள் வாங்கினார். ஒரு கிலோகிராமுக்கு ஆப்பிள்களின் விலை வாழைப்பழங்களின் விலையைப் போல இருமடங்கு ஆகும். வாங்கப்பட்ட ஆப்பிள்களின் விலை ₹1800 மற்றும் வாழைப்பழங்களின் விலை ₹600 எனில், இனியா வாங்கிய இருவகை பழங்களின் எடையைக் கிலோகிராமில் காண்க.

விடைகள்:

Tags : Problem Questions with Answer, Solution | Mathematics கேள்வி பதில்கள் மற்றும் தீர்வுகள் | கணக்கு.
10th Mathematics : UNIT 3 : Algebra : Exercise 3.6: Addition and Subtraction of Rational Expressions Problem Questions with Answer, Solution | Mathematics in Tamil : 10th Standard
Tamil Medium School Samacheer Book Back Questions and answers, Important Question with Answer.
10வது கணக்கு : அலகு 3 : இயற்கணிதம் : பயிற்சி 3.6 : விகிதமுறு கோவைகளின் கூட்டல், கழித்தல் - கேள்வி பதில்கள் மற்றும் தீர்வுகள் | கணக்கு : 10 ஆம் வகுப்பு
புத்தகம் கேள்விகள் மற்றும் பதில்கள்.