கேள்வி பதில்கள் மற்றும் தீர்வுகள் | கணக்கு - பயிற்சி 3.7 : காரணிப்படுத்துதல் முறையில் வர்க்கமூலம் காணுதல் | 10th Mathematics : UNIT 3 : Algebra
Posted On : 14.08.2022 12:49 am
10வது கணக்கு : அலகு 3 : இயற்கணிதம்
பயிற்சி 3.7 : காரணிப்படுத்துதல் முறையில் வர்க்கமூலம் காணுதல்
கணக்கு புத்தக பயிற்சி கேள்விகளுக்கான பதில்கள் மற்றும் தீர்வு - கணிதம்: இயற்கணிதம் : காரணிப்படுத்துதல் முறையில் வர்க்கமூலம் காணுதல் : பதில், தீர்வுடன் பயிற்சி வினாக்கள்
பயிற்சி 3.7
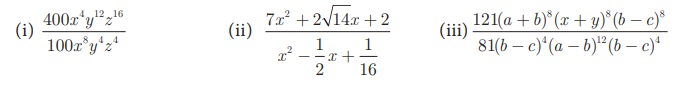
1. பின்வருவனவற்றின் வர்க்கமூலம் காண்க.


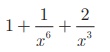
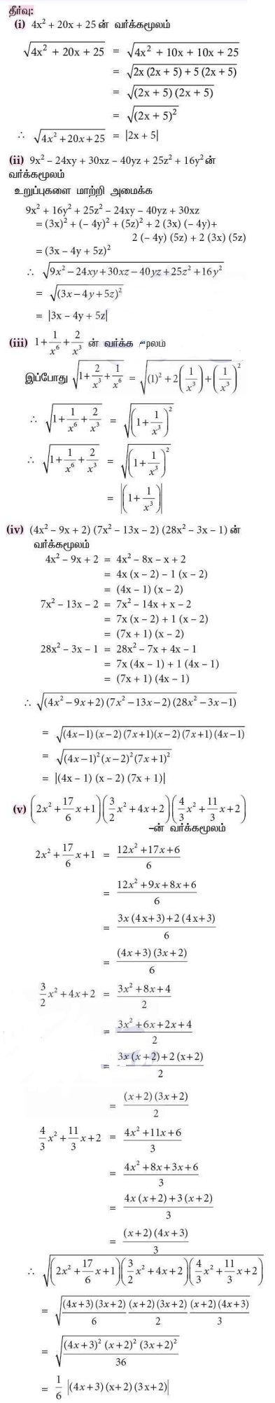
2. கீழ்க்காணும் கோவைகளின் வர்க்கமூலம் காண்க.
(i) 4x 2 + 20x + 25
(ii) 9x 2 − 24xy + 30xz − 40yz + 25z 2 + 16y2
(iii) 
(iv) (4x 2 − 9x + 2) (7x 2 - 13x - 2) (28x 2 - 3x -1)
(v) 

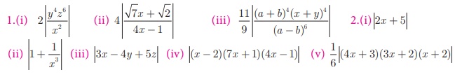
விடைகள்:

Tags : Problem Questions with Answer, Solution | Mathematics கேள்வி பதில்கள் மற்றும் தீர்வுகள் | கணக்கு.
10th Mathematics : UNIT 3 : Algebra : Exercise 3.7: Find the Square Root by Factorization Method Problem Questions with Answer, Solution | Mathematics in Tamil : 10th Standard
Tamil Medium School Samacheer Book Back Questions and answers, Important Question with Answer.
10வது கணக்கு : அலகு 3 : இயற்கணிதம் : பயிற்சி 3.7 : காரணிப்படுத்துதல் முறையில் வர்க்கமூலம் காணுதல் - கேள்வி பதில்கள் மற்றும் தீர்வுகள் | கணக்கு : 10 ஆம் வகுப்பு
புத்தகம் கேள்விகள் மற்றும் பதில்கள்.