கேள்வி பதில்கள் மற்றும் தீர்வுகள் | கணக்கு - பயிற்சி 3.8 : வகுத்தல் முறையில் பல்லுறுப்புக் கோவையின் வர்க்கமூலம் காணல் | 10th Mathematics : UNIT 3 : Algebra
Posted On : 14.08.2022 01:05 am
10வது கணக்கு : அலகு 3 : இயற்கணிதம்
பயிற்சி 3.8 : வகுத்தல் முறையில் பல்லுறுப்புக் கோவையின் வர்க்கமூலம் காணல்
கணக்கு புத்தக பயிற்சி கேள்விகளுக்கான பதில்கள் மற்றும் தீர்வு - கணிதம்: இயற்கணிதம் : வகுத்தல் முறையில் பல்லுறுப்புக் கோவையின் வர்க்கமூலம் காணல் : பதில், தீர்வுடன் பயிற்சி வினாக்கள்
பயிற்சி 3.8
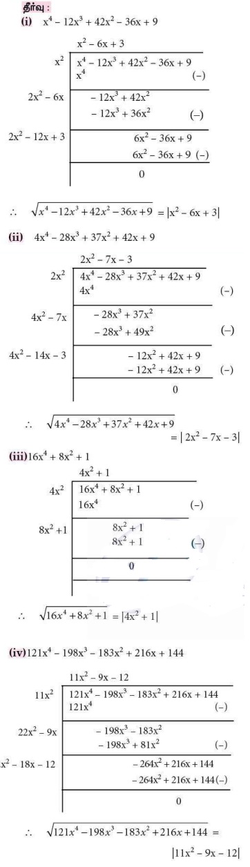
1. வகுத்தல் முறையில் பின்வரும் பல்லுறுப்புக்கோவைகளின் வர்க்கமூலம் காண்க.
(i) x 4 − 12x 3 + 42x2 − 36x + 9
(ii) 37x2 − 28x3 + 4x4 + 42x + 9
(iii) 16x4 + 8x2 + 1.
(iv) 121x4 − 198x3 −183x2 + 216x + 144

2. கீழ்க்காணும் பல்லுறுப்புக்கோவைகள் முழு வர்க்கங்கள் எனில் a மற்றும் b-யின் மதிப்பு காண்க.
(i) 4x4 − 12x3 + 37x2 + bx + a
(ii) ax 4 + bx3 + 361x2 + 220x + 100

3. கீழ்க்காணும் பல்லுறுப்புக்கோவைகள் முழுவர்க்கங்கள் எனில், m மற்றும் n - யின் மதிப்பு காண்க.
(i) 36x4 − 60x3 + 61x2 + mx + n
(ii) x 4 + 8x3 + mx2 + nx + 16

விடைகள்:
1.(i) |x 2 − 6x + 3| (ii) |2x 2 - 7x – 3| (iii) |4x 2 + 1| (iv) | 11x 2 - 9x -12 |
2. | x/y - 5 + y/x |
3.(i) 49, -42 (ii) 144, 264
Tags : Problem Questions with Answer, Solution | Mathematics கேள்வி பதில்கள் மற்றும் தீர்வுகள் | கணக்கு.
10th Mathematics : UNIT 3 : Algebra : Exercise 3.8: Finding the Square Root of a Polynomial by Division Method Problem Questions with Answer, Solution | Mathematics in Tamil : 10th Standard
Tamil Medium School Samacheer Book Back Questions and answers, Important Question with Answer.
10வது கணக்கு : அலகு 3 : இயற்கணிதம் : பயிற்சி 3.8 : வகுத்தல் முறையில் பல்லுறுப்புக் கோவையின் வர்க்கமூலம் காணல் - கேள்வி பதில்கள் மற்றும் தீர்வுகள் | கணக்கு : 10 ஆம் வகுப்பு
புத்தகம் கேள்விகள் மற்றும் பதில்கள்.