எடுத்துக்காட்டு, தீர்வு | இயற்கணிதம் - வகுத்தல் முறையில் பல்லுறுப்புக் கோவையின் வர்க்கமூலம் காணல் | 10th Mathematics : UNIT 3 : Algebra
வகுத்தல் முறையில் பல்லுறுப்புக் கோவையின் வர்க்கமூலம் காணல் (Finding the square root of a polynomial by Division method)
கொடுக்கப்பட்ட பல்லுறுப்புக் கோவையின்படி அதிகமாக இருக்கும் போது வகுத்தல் முறையைப் பயன்படுத்தி அக்கோவையின் வர்க்க மூலத்தைக் காணலாம்.
எடுத்துக்காட்டு 3.21
64x4 − 16x3 + 17x2 − 2x + 1 என்பதின் வர்க்கமூலம் காண்க.
தீர்வு

குறிப்பு
ஒரு பல்லுறுப்புக் கோவையின் வர்க்க மூலத்தைக் காணத் தொடங்குமுன் அப்பல்லுறுப்புக் கோவையின் மாறியின் படியானது இறங்கு வரிசையிலோ அல்லது ஏறு வரிசையிலோ அமைந்துள்ளதா என உறுதிப்படுத்திக் கொள்ள வேண்டும்.
எடுத்துக்காட்டு 3.22
என்பதின் வர்க்கமூலம் காண்க.
தீர்வு

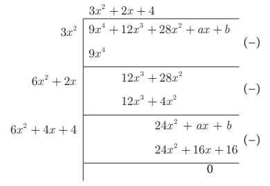
எடுத்துக்காட்டு 3.23
9x4 + 12x3 + 28x2 + ax +b ஆனது ஒரு முழுவர்க்கம் எனில், a, b ஆகியவற்றின் மதிப்புகளைக் காண்க.
தீர்வு

கொடுக்கப்பட்ட பல்லுறுப்புக்கோவை ஒரு முழுவர்க்கம் என்பதால், a − 16 = 0, b − 16 = 0 எனவே, a = 16, b = 16.