எடுத்துக்காட்டு, தீர்வு | இயற்கணிதம் - அறிமுகம், வரையறை | 10th Mathematics : UNIT 3 : Algebra
அறிமுகம் (Introduction)
இயற்கணிதம் என்பது எண்களைப் பற்றி படிப்பதன் அடுத்த நிலை எனலாம். ஒரு சில தனிப்பட்ட கட்டுப்பாடுகளின் அடிப்படையில் ஏதாவது ஒன்றைத் தீர்மானிக்க நமக்கு இயற்கணிதம் தேவைப்படுகிறது. இந்த அடிப்படையில், இயற்கணிதக் கற்றலானது “தெரியாதவற்றைத் தீர்மானிக்கும் அறிவியல்" எனக் கருதப்படுகிறது. கி.பி. (பொ.ஆ) மூன்றாம் நூற்றாண்டில் அலெக்ஸாண்டிரியாவில் வாழ்ந்த டையாபாண்டஸ் என்ற கணித மேதை எழுதிய 'அரித்மெடிகா' என்ற புத்தகத்தில் உள்ள பதிமூன்று தொகுதிகளில் நமக்கு ஆறு தொகுதிகள் கிடைத்துள்ளன. இந்தப் புத்தகத்தில் தான் முதன்முதலில் ஒரு கணக்கிலுள்ள கட்டுப்பாடுகளைச் சமன்பாடுகளாக மாற்றி, அதற்குத் தீர்வும் காணப்பட்டுள்ளது. பல அன்றாட வாழ்க்கை கணக்குகளில் மாறிகள் மிகை முழுக்களாக அமைவதை டையாபாண்டஸ் உணர்ந்தார்.
அல், கிதாப் அல் - முக்தசார் பி ஹிசாப் அல் - ஜபர் வா - முக்காப்லா ("The compendious Book on calculation by completion and Balancing”) என்ற புத்தகத்தின் தலைப்பிலுள்ள அல் ஜபர் என்ற வார்த்தையின் எழுத்துப்பிழையாக “அல்ஜீப்ரா” என்ற வார்த்தை உருவானது. அல் க்வாரிஸ்மி, தான் எழுதிய அல் ஜபர் புத்தகத்தில் சமன்பாடுகளைத் தீர்ப்பதற்கான பொருத்தமான முறைகளை வழங்கியுள்ளதால் அவர் 'இயற்கணிதத்தின் தந்தை' எனப் போற்றப்படுகிறார்.
முந்தைய வகுப்பில் நாம் இயற்கணிதத்தில் உள்ள பல முக்கியக் கருத்துகளைப் படித்தோம். இந்த வகுப்பில் அதிக வாய்ப்புடைய கணக்குகளைத் தீர்க்க உதவும் கருத்துகளைப் புரிந்துகொள்ள நம் பயணத்தைத் தொடர்வோம். இந்தக் கருத்துகளைப் புரிந்து கொள்வது எதிர்காலத்தில் உயர்நிலை கணிதத்தைக் கற்பதற்கு உங்களுக்கு உதவியாக அமையும்.
இரு மாறிகளில் அமைந்த நேரிய ஒருங்கமை சமன்பாடுகள்
இரு மாறிகளில் அமைந்த ஒரு சோடி நேரிய சமன்பாடுகளைத் தீர்க்கும் முறையை நினைவு கூர்வோம்.
வரையறை
இரு மாறிகளில் அமைந்த நேரிய சமன்பாடுகள்
x மற்றும் y என்ற இரு மாறிகளில் அமைந்த ஒருபடிச் சமன்பாடு, இரு மாறிகளில் அமைந்த நேரிய சமன்பாடு எனப்படும். x மற்றும் y என்ற இரு மாறிகளில் அமைந்த நேரிய சமன்பாட்டின் பொது வடிவம் ax + by + c = 0 ஆகும். இங்கு a, b என்பனவற்றில் ஏதேனும் ஒன்று பூச்சியமற்றது மற்றும் a, b, c ஆகியவை மெய்யெண்கள்.
நேரிய சமன்பாடுகள் என்பது கொடுக்கப்பட்ட மாறிகளில் அமைந்த ஒருபடிச் சமன்பாடுகள் என்பது குறிப்பிடத்தக்கது.
குறிப்பு
· xy – 7 = 3 என்பது இரு மாறிகளில் அமைந்த ஒரு நேரிய சமன்பாடு அல்ல. ஏனெனில், xy என்ற உறுப்பின் படி 2.
· இரு மாறிகளில் அமைந்த ஒரு நேரிய சமன்பாடு xy-தளத்தில் ஒரு நேர்க்கோட்டைக் குறிக்கும்.
எடுத்துக்காட்டு 3.1
தந்தையின் வயதானது மகனின் வயதைப் போல ஆறு மடங்கு ஆகும். ஆறு வருடங்களுக்குப் பிறகு தந்தையின் வயதானது மகனின் வயதைப்போல் நான்கு மடங்கு அதிகம். தந்தை மற்றும் மகனின் தற்போதைய வயதை (வருடங்களில்) காண்க.
தீர்வு
தந்தையின் தற்போதைய வயது x மற்றும் மகனின் தற்போதைய வயது y என்க.
கொடுக்கப்பட்டவை, x = 6y … (1)
x + 6 = 4(y + 6) … (2)
(1) ஐ (2) - யில் பிரதியிட, 6y + 6 = 4(y +6)
6y + 6 = 4 y + 24 ⇒ y = 9
எனவே, மகனின் வயது 9 வருடங்கள் மற்றும் தந்தையின் வயது 54 வருடங்கள்
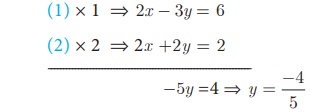
எடுத்துக்காட்டு 3.2
தீர்க்க 2x − 3y = 6, x + y = 1
தீர்வு
2x − 3y = 6 … (1)
x + y = 1 … (2)
(1) × 1 ⇒ 2x - 3y = 6
(2) × 2 ⇒ 2x +2y = 2


