எடுத்துக்காட்டு, தீர்வு | கணக்கு - விகிதமுறு கோவைகள் மீதான செயல்கள் | 10th Mathematics : UNIT 3 : Algebra
விகிதமுறு கோவைகள் மீதான செயல்கள் (Operations of Rational Expressions)
முந்தைய வகுப்புகளில் நாம் விகிதமுறு எண்களின் மீதான கூட்டல், கழித்தல், பெருக்கல் மற்றும் வகுத்தல் செயல்களைப் படித்துள்ளோம். தற்போது நாம் இவற்றை விகிதமுறு கோவைகளுக்குப் பொதுமைப்படுத்துவோம்.
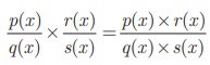
விகிதமுறு கோவைகளின் பெருக்கற்பலன்
என்பன இரு விகிதமுறு கோவைகள். இங்கு q (x) ≠ 0, s(x) ≠ 0 எனில், அவற்றின் பெருக்கற்பலன் 
இரு விகிதமுறு கோவைகளின் பெருக்கற்பலனை அவற்றின் தொகுதிகளின் பெருக்கற்பலனை பகுதிகளின் பெருக்கற்பலனால் வகுத்து எளிய வடிவில் எழுதுதல் எனவும் கூறலாம்.
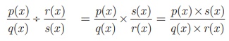
விகிதமுறு கோவைகளின் வகுத்தல்
என்பன இரு விகிதமுறு கோவைகள். இங்கு q (x), s (x) ≠ 0 எனில்,

இதிலிருந்து இரு விகிதமுறு கோவைகளின் வகுத்தலானது, முதல் விகிதமுறு கோவை மற்றும் இரண்டாவது விகிதமுறு கோவையின் தலைகீழி ஆகியவற்றின் பெருக்கற்பலன் ஆகும். இப்பெருக்கற்பலன் எளிய வடிவில் இல்லையெனில் மேலும் எளிய வடிவில் மாற்றி எழுத வேண்டும்.
முன்னேற்றச் சோதனை
பின்வரும் படங்களில் விடுபட்ட கோவையைக் காண்க.

எடுத்துக்காட்டு 3.15

தீர்வு

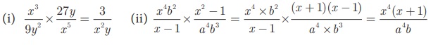
எடுத்துக்காட்டு 3.16
பின்வருவனவற்றைக் காண்க.

தீர்வு:

விகிதமுறு கோவைகளின் கூட்டல் மற்றும் கழித்தல்
ஒத்த பகுதிகளை உடைய விகிதமுறு கோவைகளின் கூட்டல் மற்றும் கழித்தல்
(i) தொகுதியைக் கூட்டுக (அ) கழிக்க
(ii) தொகுதியின் கூடுதல் (அ) வித்தியாசத்தைப் பொதுப் பகுதியின் மீது தொகுதியாக எழுதுக.
(iii) இந்த விகிதமுறு கோவையை எளிய வடிவில் எழுதுக.
சிந்தனைக் களம்
சரியா தவறா எனக் கூறுக.
1. இருவிகிதமுறு கோவைகளின் கூடுதல் எப்போதும் ஒரு விகிதமுறு கோவையே.
2. இரு விகிதமுறு கோவைகளின் பெருக்கற்பலன் எப்போதும் ஒரு விகிதமுறு கோவையே.
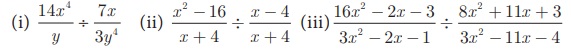
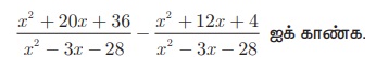
எடுத்துக்காட்டு 3.17

தீர்வு:

முன்னேற்றச் சோதனை
1. முக்கோணத்தின் சுற்றளவுக்கான விகிதமுறு கோவையை எழுதிச் சுருக்குக.

2. சுற்றளவு
ஆக உள்ள இணைகரத்தின் அடிப்பக்கம் காண்க.

மாறுபட்ட பகுதிகளை உடைய விகிதமுறு கோவைகளின் கூட்டல் மற்றும் கழித்தல்
(i) பகுதிகளின் மீச்சிறு பொது மடங்கு காண வேண்டும்.
(ii) படிநிலை (i) -யில் கண்ட மீ.பொ.ம-க்குத் தகுந்தவாறு ஒவ்வொரு பின்னத்தின் சமானப் பின்னத்தையும் எழுத வேண்டும். இதனை, தொகுதி மற்றும் பகுதியில் உள்ள கோவைகளை மீ.பொ.ம-விற்குத் தேவையான காரணியால் பெருக்குவதன் மூலம் பெறலாம்.
(iii) பகுதிகள் சமமானதால், ஒத்த பகுதிகளை உடைய விகிதமுறு கோவைகளைக் கூட்டுவதற்கும், கழிப்பதற்கும் படிநிலைகளைப் பின்பற்றவேண்டும்.
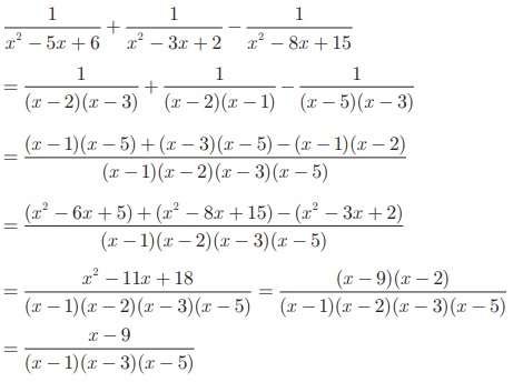
எடுத்துக்காட்டு 3.18

தீர்வு:
