வரையறை, சுருக்குதல், எடுத்துக்காட்டு, தீர்வு | கணக்கு - விகிதமுறு கோவைகள் | 10th Mathematics : UNIT 3 : Algebra
விகிதமுறு கோவைகள் (Rational Expressions)
வரையறை:
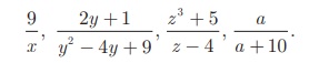
p(x) / q(x) என்ற வடிவில் எழுத இயலும் கோவைகள் விகிதமுறு கோவைகள் எனப்படும். இங்கு p(x) மற்றும் q(x) என்பவை பல்லுறுப்புக் கோவைகள் மற்றும் q(x) ≠ 0. விகிதமுறு கோவைகளை இரு பல்லுறுப்புக் கோவைகளின் விகிதமாகக் கருதலாம்.

ஆகியவை விகிதமுறு கோவைகளுக்கு எடுத்துக்காட்டுகள் ஆகும்.
தொலைவு - காலம் சார்ந்த கணக்கீடுகளைத் குறிப்பதற்கும், பல்முனை பணி சார்ந்த கணக்குகளுக்கான மாதிரிகளை வடிவமைத்தலுக்கும், வேலையாள்கள் (அ) இயந்திரங்களை ஒருங்கிணைத்து ஒரு பணியை முடிப்பதற்குமாகிய எண்ணற்ற சூழல்களில் விகிதமுறு கோவைகள் பயன்படுகின்றன.
1. விகிதமுறு கோவைகளைச் சுருக்குதல் (Reduction of Rational Expression)
p(x) / q(x) என்ற விகிதமுறு கோவையில் மீ.பொ.வ ( p(x ), q(x)) = 1. எனில், அது சுருங்கிய வடிவில் (அ) எளிய வடிவில் உள்ளது எனக் கூறுகிறோம்.
கொடுக்கப்பட்ட ஒருவிகிதமுறுகோவையை எளிய வடிவில் எழுதப் பின்வரும் படிநிலைகளைப் பின்பற்ற வேண்டும்.
(i) தொகுதி மற்றும் பகுதியைக் காரணிப்படுத்த வேண்டும்.
(ii) தொகுதி மற்றும் பகுதிக்குப் பொதுக்காரணி இருக்குமெனில் அவற்றை நீக்கவும்.
(iii) இப்போது கிடைக்கும் விகிதமுறு கோவை எளிய வடிவில் அமையும்.
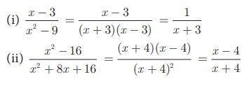
எடுத்துக்காட்டு 3.13
விகிதமுறு கோவைகளை எளிய வடிவில் சுருக்குக.

தீர்வு

2. விலக்கப்பட்ட மதிப்பு (Excluded Value)
எந்த மெய் மதிப்பிற்கு, p(x) / q(x) (சுருங்கிய வடிவில்) எனும் விகிதமுறு கோவையை வரையறுக்கப்பட முடியவில்லையோ, அம்மதிப்பை, கொடுக்கப்பட்ட விகிதமுறு கோவையின் "விலக்கப்பட்ட மதிப்பு” என்போம். p(x) / q(x) என்ற எளிய வடிவில் அமைந்த ஒரு விகிதமுறு கோவையின் விலக்கப்பட்ட மதிப்பு காண, அதன் பகுதி q(x) = 0 என எடுத்துக்கொள்ள வேண்டும்.
எடுத்துக்காட்டாக, 5/(x-10) என்ற விகிதமுறு கோவையை x = 10 எனும்போது கோவை வரையறுக்க முடியாது. எனவே, 5/(x-10) என்பதன் விலக்கப்பட்ட மதிப்பு 10.
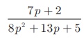
எடுத்துக்காட்டு 3.14
பின்வரும் கோவைகளின் விலக்கப்பட்ட மதிப்பு காண்க.
(i) 
(ii) 
(iii) 
தீர்வு
(i)
என்ற கோவையானது 8x = 0 (அ) x = 0 எனும்போது வரையறுக்க இயலாததாகிறது. ஆகவே விலக்கப்பட்ட மதிப்பு 0 ஆகும்.
(ii)
என்ற கோவையானது 8p2 + 13p + 5 = 0 அதாவது (8p + 5) (p + 1) = 0
⇒ p = −5/8, p = −1, எனும்போது கோவை வரையறுக்க இயலாததாகிறது. எனவே, விலக்கப்பட்ட மதிப்புகள் -5/8 மற்றும் -1.
(iii) 
இங்கு அனைத்து x மதிப்புகளுக்கும் x2 ≥ 0 எனவே x2 + 1 ≥ 0 + 1 = 1, ஆகவே எந்தவொரு x மதிப்புக்கும் x2 + 1 ≠ 0 எனவே, x/(x2+1) என்ற விகிதமுறு கோவைக்கு விலக்கப்பட்ட மெய் மதிப்புகள் ஏதுமில்லை.
சிந்தனைக் களம்
1. x2 - 1 மற்றும் tanx = sinx / cosx என்பவை விகிதமுறு கோவைகளா?
2.
என்ற கோவையின் விலக்கப்பட்ட மதிப்புகளின் எண்ணிக்கை -----------------.