எடுத்துக்காட்டு, தீர்வு | இயற்கணிதம் - வர்க்கப் பூர்த்தி முறையில் இருபடிச் சமன்பாட்டின் தீர்வு காணுதல் | 10th Mathematics : UNIT 3 : Algebra
வர்க்கப் பூர்த்தி முறையில் இருபடிச் சமன்பாட்டின் தீர்வு காணுதல்
கொடுக்கப்பட்ட இருபடிச் சமன்பாட்டின் தீர்வை வர்க்கப் பூர்த்தி முறையில் பெறக் கீழே தரப்பட்டுள்ள படிநிலைகளைப் பின்பற்றவும்.
படி 1: கொடுக்கப்பட்ட சமன்பாட்டை ax2 + bx +c = 0 எனும் பொது வடிவில் எழுதுக.
படி 2: x2-யின் கெழு 1 என இல்லை எனில், x2-யின் கெழுவால் சமன்பாட்டின் இருபுறம் வகுத்து x2-யின் கெழுவை 1 ஆக மாற்றுக
படி 3: மாறிலியை வலப்புறத்தில் எழுதுக.
படி 4: x-யின் கெழுவில் பாதியின் வர்க்கத்தை இருபுறமும் கூட்டுக படி 5: இடப்புறத்தை முழு வர்க்கமாகவும், வலப்புறத்தை எளிமைப்படுத்தியும் எழுதுக.
படி 6: வர்க்க மூலம் காணுவதன் மூலம் x-யின் மதிப்பைக் காண்க.
எடுத்துக்காட்டு 3.30
தீர்க்க x2 − 3x − 2 = 0
தீர்வு
x2 − 3x − 2 = 0
x2 − 3x = 2 (மாறிலியை வலப்புறம் மாற்றுக)

எடுத்துக்காட்டு 3.31
தீர்க்க 2x2 − x −1 = 0
தீர்வு
2x2 − x −1 = 0
x2-யின் கெழுவை 1 -ஆக மாற்ற, சமன்பாட்டை 2 -ஆல் வகுக்கவும்.

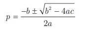
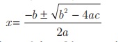
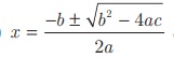
சூத்திரத்தைப் பயன்படுத்தி இருபடிச் சமன்பாட்டின் தீர்வு காணுதல்
ax2 + bx +c = 0 எனும் இருபடிச் சமன்பாட்டின் மூலங்கள் காணுதல் சூத்திரம் (பகுதி 3.6.2 இல் தருவிக்கப்பட்டுள்ளது)
ஆகும்.
உங்களுக்குத் தெரியுமா?
பண்டைய பாபிலோனியர்கள் இருபடிச் சமன்பாடுகளின் மூலங்கள் காணும் சூத்திரங்களை அறிந்திருந்தனர். அவர்கள் செய்யுள் மற்றும் பாடல்கள் மூலமாக மூலங்களைக் காணும் படிகளை எழுதினர். விவசாயத்திற்கான நிலங்களின் அளவுகளைக் கணக்கிட, பாபிலோனியர்கள் இருபடிச் சமன்பாடுகளைப் பயன்படுத்தினர்.
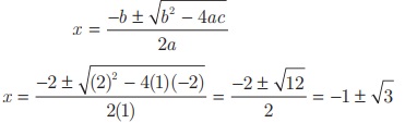
எடுத்துக்காட்டு 3.32
சூத்திர முறையில் x2 + 2x − 2 = 0 -ஐத் தீர்க்கவும்.
தீர்வு
x2 + 2x − 2 = 0 -ஐ ax2 + bx +c = 0 - உடன் ஒப்பிட,
a = 1, b = 2, c = -2
a, b மற்றும் c - யின் மதிப்புகளைச் சூத்திரத்தில் பிரதியிட,

எனவே, x = −1 + √3, −1 − √3
எடுத்துக்காட்டு 3.33
சூத்திர முறையைப் பயன்படுத்தி 2x2 − 3x − 3 = 0 -ஐத் தீர்க்க
தீர்வு
2x2 − 3x − 3 = 0 -ஐ ax2 + bx + c = 0 உடன் ஒப்பிட,
a = 2, b = -3, c = -3

a, b மற்றும் c - யின் மதிப்புகளைச் சூத்திரத்தில் பிரதியிட,

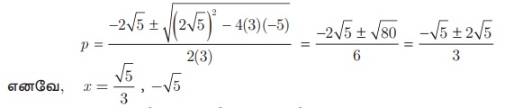
எடுத்துக்காட்டு 3.34
3p2 + 2√5p – 5 = 0 -ஐ சூத்திர முறையில் தீர்க்கவும்.
தீர்வு
3p2 + 2√5p – 5 = 0- ஐ ax2 + bx +c = 0 உடன் ஒப்பிட,
a = 3, b = 2/5, c =-5.

a, b மற்றும் c -யின் மதிப்புகளைச் சூத்திரத்தில் பிரதியிட,

எடுத்துக்காட்டு 3.35
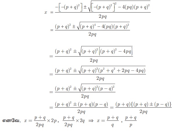
தீர்க்க pqx 2 − (p +q)2 x + (p +q)2 = 0
தீர்வு
pqx 2 − (p +q)2 x + (p +q)2 = 0 -ஐ ax 2 + bx +c = 0 உடன் ஒப்பிட
a = pq, b = −(p +q)2, c = ( p +q)2

a, b மற்றும் c -யின் மதிப்புகளைச் சூத்திரத்தில் பிரதியிட,

செயல்பாடு 3
மீன்களுக்கு (சமன்பாடு) தகுந்த உணவுகளை (மூலங்கள்) அளியுங்களேன்! எந்த மீனுக்கு உணவு அளிக்க முடியாது?
