காரணிப்படுத்துதல் முறை, எடுத்துக்காட்டு, தீர்வு | கணக்கு - பல்லுறுப்புக் கோவையின் வர்க்க மூலம் | 10th Mathematics : UNIT 3 : Algebra
பல்லுறுப்புக் கோவையின் வர்க்க மூலம் (Square Root of Polynomials)
ஒரு மிகை மெய்யெண்ணின் வர்க்கமூலம் ஆனது, எந்த எண்ணை அதே எண்ணால் பெருக்கினால் கொடுக்கப்பட்ட மிகை மெய்யெண் கிடைக்கிறதோ அந்த எண் ஆகும்.
இதுபோலவே கொடுக்கப்பட்ட கோவை p(x) - யின் வர்க்கமூலம் ஆனது எந்தக் கோவையை அதே கோவையால் பெருக்கினால் கொடுக்கப்பட்ட கோவை p(x) கிடைக்கிறதோ, அந்தக் கோவை ஆகும். அதாவது p(x)-யின் வர்க்க மூலம் q(x) எனில் q(x). q(x) = p(x)
ஆகவே, |q (x)| = √p(x) இங்கு |q (x)| என்பது q(x) - யின் மட்டு மதிப்பு ஆகும்.
பின்வரும் இரு முறைகளில் கொடுக்கப்பட்ட ஒரு கோவையின் வர்க்கமூலம் காணலாம்.
(i) காரணிப்படுத்தல் முறை (Factorization method)
(ii) வகுத்தல் முறை (Division method)
முன்னேற்றச் சோதனை
1. x2 + 4x + 4 என்பது ஒரு முழுவர்க்கமாகுமா?
2. 3√x = 9 எனில் x-யின் மதிப்பு என்ன?
3. 361x 4y2 -யின் வர்க்க மூலம் _______.
4. √[a2x2 + 2abx + b2] = _______.
5. பல்லுறுப்பு கோவையானது முழுவர்க்கம் எனில், அதன் காரணிகள் _______ எண்ணிக்கையில் இடம்பெறும் (ஒற்றைப் படை / இரட்டைப் படை)
காரணிப்படுத்துதல் முறையில் வர்க்கமூலம் காணுதல் (Square root by factorization method)
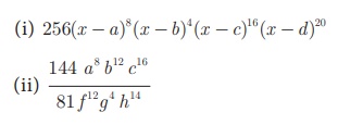
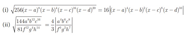
எடுத்துக்காட்டு 3.19
கீழ்க்கண்ட கோவைகளின் வர்க்கமூலம் காண்க.

தீர்வு

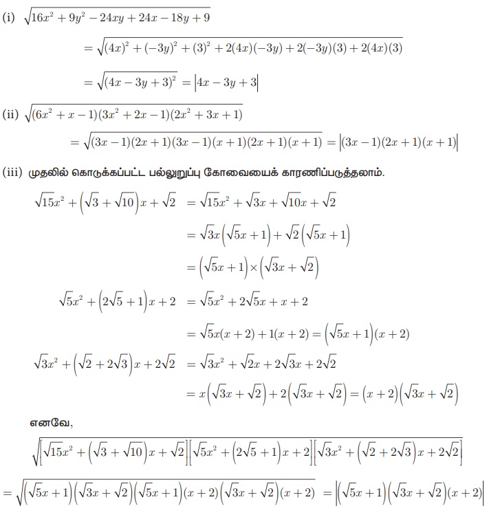
எடுத்துக்காட்டு 3.20
கீழ்க்கண்ட கோவைகளின் வர்க்கமூலம் காண்க.
(i) 16x 2 + 9y 2 − 24xy + 24x −18y + 9
(ii) (6x 2 + x −1)(3x 2 + 2x −1)(2x 2 + 3x + 1)
(iii) [√15x2 + (√3 + √10 ) x + √2][ √5x2 + (2√5 + 1)x+2][( √3x2 + (√2 + 2√3 ) x + 2√2]
தீர்வு
