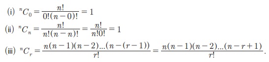
வரையறை, சூத்திரம், தீர்க்கப்பட்ட எடுத்துக்காட்டு கணக்குகள், பயிற்சி | கணிதம் - சேர்வுகள் | 11th Mathematics : UNIT 4 : Combinatorics and Mathematical Induction
சேர்வுகள் (Combinations)
A, B, C மற்றும் D எனும் ஏதேனும் நான்கு நபர்களில் மூன்று நபர்களைத் தேர்வு செய்து ஒரு குழு அமைப்பதாகக் கொள்வோம். இந்த தேர்வினை எத்தனை வழிகளில் செய்யலாம்? எடுத்துக்காட்டாக A, B, C என்பது ஒரு தேர்வு. இங்கு தேர்வு செய்த உறுப்பினர்களின் வரிசை முக்கியமல்ல. எனவே, A, B, C என்பதும் B, A, C அல்லது C, A, B என்பதும் அதே மூன்று நபர்களைத் தேர்வு செய்வதால் ஒன்றே ஆகும். எனவே, சாத்தியமான வெவ்வேறான தேர்வுகள் A, B, C; A, B, D; A, C, D; மற்றும் B, C, D ஆகும். எனவே, 4 நபர்களில் இருந்து 3 நபர்களை 4 வழிகளில் தேர்ந்தெடுக்கலாம். இந்த ஒவ்வொரு தேர்வும் 4 வெவ்வேறான பொருட்களில் இருந்து ஒரு சமயத்தில் 3 பொருட்களைத் தேர்வு செய்யும் சேர்வு எனக் குறிப்பிடப்படுகின்றது.
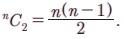
நான்கு நபர்களில் இருந்து இரண்டு நபர்களை தேர்ந்தெடுப்பதாக கொள்வோம். சாத்தியமான தேர்வுகள் A, B : A, C: A, D : B, C : B, D : C, D. எனவே, 4 வெவ்வேறான பொருட்களில் இருந்து 2 பொருட்களை தேர்வு செய்யும் சேர்வுகளின் எண்ணிக்கை 6 ஆகும். n வெவ்வேறான பொருட்களில் இருந்து r பொருட்களைத் தேர்வு செய்யும் சேர்வுகளின் எண்ணிக்கையை nCr என்கிறோம். மேற்கூறியவற்றிலிருந்து நாம் 4C3 = 4 மற்றும் 4C2 = 6 என அறியலாம். 4C3 என்பது 4 வெவ்வேறான பொருட்களில் இருந்து ஒரு சமயத்தில் 3 பொருட்களைத் தேர்வு செய்யும் சேர்வுகளின் எண்ணிக்கை ஆகும். ஒவ்வொரு மூன்று பொருட்களின் சேர்விலும் 3! வழிகளில் இவற்றை வரிசைப்படுத்தலாம். எனவே, 4 வெவ்வேறான பொருட்களில் இருந்து ஒரு சமயத்தில் 3 பொருட்களை வரிசைப்படுத்தும் வரிசை மாற்றங்களின் எண்ணிக்கை 4C3 × 3! ஆகும். மேலும் இது 4P3 - க்கு சமமானதாகும். எனவே, 4P3 = 4 C3 × 3!.
பொதுவாக, வரிசை மாற்றங்களுக்கும் சேர்வுகளுக்கும் இடையேயான முக்கியமான தொடர்பினை கீழ்க்காணுமாறு எழுதலாம்,
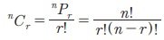
nPr = nCr × r!.
இயல்பாக வரிசை மாற்றம் மற்றும் சேர்வு பற்றி படிக்கும் எவருக்கும் ஒரு குழப்பம் வர வாய்ப்புள்ளது. எடுத்துக்காட்டுகளுடன் விளக்கப்பட்டுள்ள கீழ்க்காணும் அட்டவணையானது இத்தகைய குழப்பத்தை நீக்க பெரிதும் உதவி புரியும்.

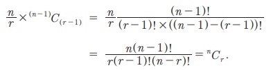
தேற்றம் 4.5
n வெவ்வேறான பொருட்களிலிருந்து ஒரு சமயத்தில் r பொருட்களை தேர்வு செய்யும் சேர்வுகளின் எண்ணிக்கை 
நிரூபணம் வரிசை மாற்றங்களுக்கும், சேர்வுகளுக்கும் இடையேயான தொடர்பிலிருந்து நாம்
(வரிசை மாற்றத்தின் முடிவிலிருந்து) எனப் பெறலாம்.
1. சேர்வுகளின் பண்புகள்
பண்பு 1:

நிரூபணம்

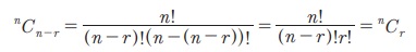
பண்பு 2: nCr = nCn-r
நிரூபணம்

என்பதிலிருந்து, nCr = nCn-r எனக் காணலாம்.
பண்பு 3:
nCx = nCy எனில் x = y அல்லது x + y = n.
நிரூபணம்
பண்பு 2-ன் படி nCy = nCn - y எனவே, nCx = nCy = nCn - y -யிலிருந்து
x = y அல்லது x = n - y ஆகவே, x = y அல்லது x + y = n
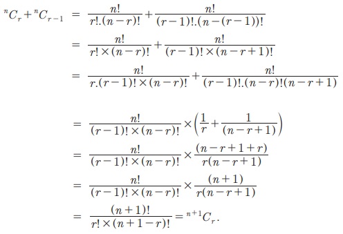
பண்பு 4:
nCr + nCr-1 = n+1Cr
நிரூபணம்
சேர்வுகளுக்கான முடிவிலிருந்து பெறுவது,

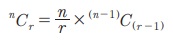
பண்பு 5:

நிரூபணம்

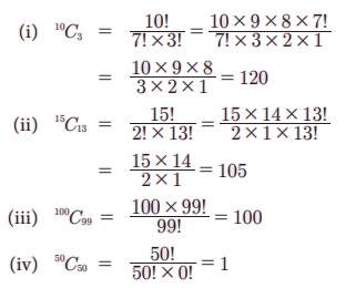
எடுத்துக்காட்டு 4.44 கீழ்க்காண்பவற்றின் மதிப்புகளைக் காண்க.
(i) 10C3 (ii) 15C13 (iii) 100C99 (iv) 50C50
தீர்வு:

எடுத்துக்காட்டு 4.45 பண்பு 5 பயன்படுத்தி 5C2 மற்றும் 7C3-ன் மதிப்புகளைக் காண்க.
தீர்வு:

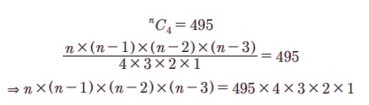
எடுத்துக்காட்டு 4.46 nC4 = 495 எனில், n-ன் மதிப்பை காண்க.
தீர்வு:

495ஐ காரணிப்படுத்த 495 = 3 × 3 × 5 × 11 மேலும், இந்த பெருக்கலை 4 அடுத்தடுத்த எண்களின் பெருக்கலாக இறங்கு வரிசையில் எழுத n × (n - 1) × (n - 2) × (n - 3) = 12 × 11 × 10 × 9 என பெறுகிறோம். n -ஐ பெரிய எண்ணுடன் சமப்படுத்த, n = 12 எனக் கிடைக்கும்.
எடுத்துக்காட்டு 4.47 nPr = 11880 மற்றும் nCr = 495 எனில் n மற்றும் r-ன் மதிப்புகளைக் காண்க.
தீர்வு :

இதிலிருந்து, r = 4 எனப் பெறலாம். எனவே, r = 4 எனப் பிரதியிட nC4 = 495 என கிடைக்கும் எடுத்துக்காட்டு 4.46 இல் இருந்து n = 12 எனப் பெறலாம்.
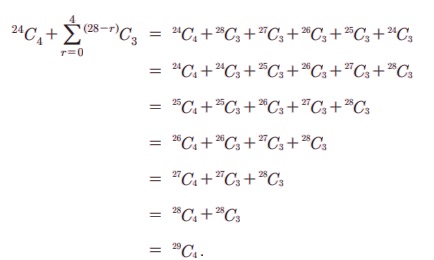
எடுத்துக்காட்டு 4.48
என நிறுவுக.
தீர்வு:

எடுத்துக்காட்டு 4.49 10C2 + 2 × 10C3 + 10C4 = 12C4 என நிறுவுக.
தீர்வு:
10C2 + 2 × 10C3 + 10C4 = 10C2 + (10C3 + 10C3) + 10C4
= (10C2 + 10C3 ) + (10C3 + 10C4)
= 11C3 + 11C4
= 12C4.
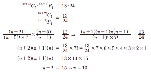
எடுத்துக்காட்டு 4.50 (n+2)C7 : (n-1)P4 = 13 : 24 எனில், n-ன் மதிப்பைக் காண்க.
தீர்வு:

எடுத்துக்காட்டு 4.51 ஓர் உணவு விடுதியில் பழக் கலவை (Fruit Salad) செய்ய ஆப்பிள், வாழை, கொய்யா, மாதுளை, திராட்சை, பப்பாளி மற்றும் அன்னாசி பழங்களில் இருந்து 4 பழங்களை பயன்படுத்துகிறார்கள். பழக் கலவைகளை மொத்தம் எத்தனை வழிகளில் செய்ய முடியும்?
தீர்வு:
7 பழங்களில் இருந்து 4 பழங்களை பழக் கலவை செய்ய தேர்ந்தெடுக்கவேண்டும். எனவே, சாத்தியமான பழக் கலவைகளின் மொத்த எண்ணிக்கை 7C4 = 7C3 = 35.
எடுத்துக்காட்டு 4.52 ஒரு கணித மன்றத்தில் 15 உறுப்பினர்கள் உள்ளனர். இதில் 8 உறுப்பினர்கள் பெண்கள். பாதி பெண்களாக இருக்குமாறு ஒரு போட்டிக்கு 6 நபர்களைத் தேர்ந்தெடுக்க வேண்டும். எத்தனை சாத்தியமான வழிகளில் இவர்களைத் தேர்ந்தெடுக்கலாம்?
தீர்வு:
கணித மன்றத்தில் 8 பெண்கள் மற்றும் 7 ஆண்கள் உள்ளனர். இதில் 6 உறுப்பினர்களில் பாதி பெண்கள் (3 பெண்கள் மற்றும் 3 மற்றவர்கள்) இருக்குமாறு 8C3 = 7C3 = 56 × 35 = 1960 வழிகளில் தேர்ந்தெடுக்கலாம்.
எடுத்துக்காட்டு 4.53 20 வியாபார முத்திரை மகிழுந்துகளில், மகிழுந்துகளை மதிப்பீடு செய்யும் நிறுவனம் 5 வியாபார முத்திரை மகிழுந்துகளை முதலாவது, இரண்டாவது, மூன்றாவது, நான்காவது மற்றும் ஐந்தாவது மிகச்சிறந்த வியாபார முத்திரை மகிழுந்துகள் எனவும், மேலும் மீதமுள்ள 15 இல் 7 ஐ தேர்ந்தெடுத்து ஏற்றுக்கொள்ளக்கூடிய வகையிலுள்ளவை எனக் கூற எத்தனை வழிகள் உள்ளன?
தீர்வு:
20 வியாபார முத்திரை மகிழுந்துகளில் 5 மகிழுந்துகளை முதலாவது, இரண்டாவது, மூன்றாவது, நான்காவது மற்றும் ஐந்தாவது என மொத்தம் 20P5 வழிகளில் வரிசைப்படுத்தலாம். மீதமுள்ள 15 வியாபார முத்திரை மகிழுந்துகளில் 7 ஏற்றுக்கொள்ளக் கூடிய வகையிலுள்ளன என கூற 15C7 வழிகள் உள்ளன. எனவே பெருக்கல் விதிப்படி, 20P5 × 15C7 வழிகளில் இதனைச் செய்யலாம்.
எடுத்துக்காட்டு 4.54 25 மாணவர்கள் கொண்ட வகுப்பறையில் 10 மாணவர்களை சுற்றுலா பயணத்திற்காக தேர்ந்தெடுக்க வேண்டும். இதில் 4 மாணவர்கள் எல்லோரும் ஒன்றாக வருவது அல்லது ஒன்றாக வராமல் இருப்பது என முடிவெடுக்கிறார்கள். சுற்றுலா பயணத்திற்கு எத்தனை வழிகளில் மாணவர்களை தேர்ந்தெடுக்கலாம்?
தீர்வு:
இதில் இரண்டு சாத்தியக்கூறுகள் உள்ளன.
(i) 4 மாணவர்களும் ஒன்றாக சுற்றுலா பயணத்திற்கு வருவதானால், மீதமுள்ள 6 மாணவர்களை 21 மாணவர்களில் இருந்து
வழிகளில் தேர்ந்தெடுக்கலாம்.
(ii) 4 மாணவர்களும் ஒன்றாக சுற்றுலா பயணத்திற்கு வரவில்லை எனில், 10 மாணவர்களை மீதமுள்ள 21 மாணவர்களில் இருந்து
வழிகளில் தேர்ந்தெடுக்கலாம்.
எனவே, மொத்த வழிகளின் எண்ணிக்கை 
எடுத்துக்காட்டு 4.55 ஒரு டஜன் ஆப்பிள் பழங்கள் உள்ள ஒரு பெட்டியில் ஒரு அழுகிய ஆப்பிள் உள்ளது. இவற்றில் 3 ஆப்பிள்களை ஒரே சமயத்தில் எடுக்கும்போது, எத்தனை வழிகளில் நல்ல ஆப்பிள்களை மட்டும் பெறமுடியும்?
தீர்வு:
12 ஆப்பிள்களில் இருந்து 3 பழங்களை 12C3 = 220 வழிகளில் தேர்வு செய்யலாம்.
12 ஆப்பிள்களில் இருந்து 3 ஆப்பிள்களைத் தேர்வு செய்யும் போது ஒரு அழுகிய ஆப்பிளை தேர்வு செய்யும் எண்ணிக்கை என்பது ஒரு அழுகிய ஆப்பிளை தேர்வு செய்து மற்ற 2 ஆப்பிள்களை மீதமுள்ள 11 நல்ல ஆப்பிள்களில் இருந்து 11C2 = 55 வழிகளில் தேர்வு செய்யும் எண்ணிக்கை ஆகும்.
எனவே, அனைத்தும் நல்ல பழங்களாக கிடைக்கும் முறைகளின் எண்ணிக்கை
12C3 - 11C2 = 220 – 55 = 165.
எடுத்துக்காட்டு 4.56 ஒரு வினாத்தாளில் உள்ள 8 வினாக்களில் 4 வினாக்கள் பகுதி அ -விலும் 4 வினாக்கள் பகுதி ஆ-விலும் உள்ளன. தேர்வு எழுதுபவர் 5 வினாக்களுக்கு விடையளிக்க வேண்டும். கீழ்க்கண்ட நிபந்தனைகளை நிறைவுசெய்யும் வகையில் எத்தனை வழிகளில் இதனைச் செய்யலாம்
(i) இரு பகுதிகளிலிருந்தும் எவ்வித கட்டுப்பாடும் இல்லாமல் எத்தனை வினாக்களை வேண்டுமானாலும் தேர்வு செய்யலாம்.
(ii) குறைந்தபட்சம் இரண்டு வினாக்களையாவது பகுதி அ -வில் இருந்து எழுதவேண்டும்.
தீர்வு :
(i) எந்த கட்டுப்பாடும் இல்லாமல்: பகுதி அ மற்றும் பகுதி ஆ -வில் உள்ள மொத்த 8 வினாக்களில் 5 வினாக்களை 8C5 = 8C3 = 56 வழிகளில் தேர்ந்தெடுக்கலாம்.
(ii) குறைந்தபட்சம் இரண்டு வினாக்களுக்கு பகுதி அ-வில் விடையளித்தல்: இக்கட்டுப்பாட்டிற்கு சாதகமாக உள்ள வாய்ப்புகள் பின்வருமாறு அட்டவணை படுத்தப்பட்டுள்ளது.

எனவே, விடையளிக்கும் விதங்களின் எண்ணிக்கை
4C2 × 4C3 + 4C3 × 4C2 + 4C4 × 4C1 = 24 + 24 + 4 = 52.
எடுத்துக்காட்டு 4.57 7 மெய்யெழுத்துக்கள் மற்றும் 4 உயிரெழுத்துகளில் இருந்து 3 மெய் எழுத்துகள் மற்றும் 2 உயிரெழுத்துக்கள் உள்ள எழுத்துச் சரங்கள் எத்தனை உருவாக்கலாம்?
தீர்வு:
7 மெய்யெழுத்துக்களில் இருந்து 3 மெய் எழுத்துகளையும், மேலும், 4 உயிரெழுத்துக்களில் இருந்து 2 உயிரெழுத்துக்களையும் 7C3 × 4C2 வழிகளில் தேர்ந்தெடுக்கலாம். ஒவ்வொரு எழுத்துச் சரத்திலும் 5 எழுத்துகள் உள்ளன. அவற்றை தங்களுக்குள் 5! = 120 வழிகளில் வரிசை மாற்றம் செய்யலாம். எனவே, தேவையான வழிகள் 7C3 × 4C2 × 5! = 35 × 6 × 120 = 25200.
எடுத்துக்காட்டு 4.58 PROPOSITION எனும் வார்த்தையில் உள்ள எழுத்துகளை பயன்படுத்தி 5 எழுத்துகளில் எத்தனை எழுத்துச் சரங்களை உருவாக்கலாம்.
தீர்வு:
இதில் 11 எழுத்துகள் உள்ளன. இதில் 4 வெவ்வேறான எழுத்துக்கள் (R,S,T,N) 2 ஓரே மாதிரியான எழுத்துகள் கொண்ட 2 தொகுப்புகள் (PP, II) மற்றும் 3 ஓரே எழுத்துகளை கொண்ட ஒரு தொகுப்பு (OOO) ஆகியவை உள்ளன.
கீழ்க்கண்ட அட்டவணையானது, மேற்கண்ட தொகுப்பிற்கு சாதகமான பல்வேறு சேர்வுகளையும் மற்றும் அதற்கான வார்த்தைகளின் எண்ணிக்கையையும் தருகின்றது.

எடுத்துக்காட்டு 4.59 m இணையான கோடுகளின் ஒரு தொகுப்பு மற்றொரு n இணையான கோடுகளின் ஒரு தொகுப்பை (முதல் தொகுப்பில் உள்ள கோடுகளுக்கு இணையில்லாத) வெட்டும் போது உருவாகும் பின்னல் அமைப்பில் (lattice structure) உள்ள இணைகரங்களின் எண்ணிக்கையைக் காண்க
தீர்வு:
m எண்ணிக்கையுள்ள முதல் தொகுப்பிலிருந்து 2 கோடுகளையும் n எண்ணிக்கையுள்ள இரண்டாம் தொகுப்பிலிருந்து 2 கோடுகளையும் தேர்வு செய்து ஓர் இணைகரத்தை உருவாக்கலாம். எனவே, மொத்த இணைகரங்களின் எண்ணிக்கை mC2 × nC2.
எடுத்துக்காட்டு 4.60 n பக்கங்கள் உள்ள ஒரு பலகோணத்திற்கு எத்தனை மூலைவிட்டங்கள் இருக்கும்?
தீர்வு:
n பக்கங்கள் கொண்ட ஒரு பல கோணத்தில் 7 முனைப்புள்ளிகள் இருக்கும். பல கோணத்தின் இரண்டு முனைப்புள்ளிகளை இணைக்கும்போது ஒரு பக்கம் அல்லது ஒரு மூலைவிட்டம் கிடைக்கும். இரண்டுமுனைப்புள்ளிகள் வழியே செல்லும் கோட்டுத்துண்டுகளின் எண்ணிக்கை 
இந்த கோடுகளில், பல கோணத்தின் n பக்கங்களும் உள்ளது. எனவே, பலகோணத்தின் மூலைவிட்டங்களின் எண்ணிக்கை 
குறிப்பாக ஒரு ஐங்கோணம் மற்றும் எழுகோணம் ஆகியவற்றின் மூலைவிட்டங்களின் எண்ணிக்கைகள் முறையே 
1. nC12 = nC9 எனில், 21Cn ஐக் காண்க?
2. 15C2r-1 = 15C2r+4 எனில், r ஐக் காண்க?
3. nPr = 720 மற்றும் nCr = 120 எனில், n, r ஐக் காண்க?
4. நிறுவுக 15C3 + 2 × 15C4 + 15C5 = 17C5.
5. நிறுவுக 
6. (n+1)C8 : (n-3)P4 = 57:16 எனில், n ஐக் காண்க?
7. நிறுவக 
8. 1 ≤ r ≤ n எனில் n × (n-1)Cr-1 = (n – r + 1) × nCr-1 என நிறுவுக.
9. (i) ஒரு கபடி பயிற்சியாளரிடம் 14 விளையாட்டு வீரர்கள் விளையாட தயார் நிலையில் உள்ளனர். 7 விளையாட்டு வீரர்களைக் கொண்ட எத்தனை வெவ்வேறான குழுக்களை அவர் அமைக்கலாம்?
(ii) ஒரு விருந்தில் 15 நபர்கள் உள்ளனர். எந்த இரு நபர்களும் தங்களுக்குள் கைகுலுக்கிக் கொள்கிறார்கள் எனக் கொண்டால், அந்த விருந்தில் எத்தனை கைகுலுக்கல் நிகழும்?
(iii) ஒரு வட்டத்தின் மீதுள்ள 20 புள்ளிகள் வழியே எத்தனை நாண்களை வரைய முடியும்?
(iv) ஒரு வண்டி நிறுத்தும் இடத்தில் ஒரு வருட பழைய மகிழுந்துகள் 100 நிறுத்தப்பட்டுள்ளன.
அந்த மகிழுந்துகளின் மாசு கட்டுப்பாட்டுக் கருவிகள் எவ்வாறு செயல்படுகின்றன என்பதை சோதனை செய்ய ஏதேனும் ஐந்து மகிழுந்துகளைத் தேர்ந்தெடுக்க வேண்டும். எத்தனை விதமாக இந்த ஐந்து மகிழுந்துகளை தேர்ந்தெடுக்கலாம்?
(v) 3 ஆண்கள், 2 பெண்கள் மற்றும் 1 திருநங்கை ஆகியோர்களை 5 ஆண்கள், 2 பெண்கள் மற்றும் 2 திருநங்கைகளில் இருந்து எத்தனை வழிகளில் தேர்ந்தெடுக்கலாம்?
10. கீழ்க்காணும் உறுப்புகளின் எண்ணிக்கை உள்ள கணங்களின் உட்கணங்களின் எண்ணிக்கையை காண்க.
[ விடை குறிப்பு: nC0 + nC1 + nC2 +... + nCn = 2n ]
(i) 4 உறுப்புகள் (ii) 5 உறுப்புகள் (iii) n உறுப்புகள்
11. ஓர் அறக்கட்டளையில் 25 உறுப்பினர்கள் உள்ளனர்.
(i) இவர்களில் 3 அதிகாரிகளை எத்தனை வழிகளில் தேர்ந்தெடுக்கலாம்?
(ii) ஒரு தலைவர், ஒரு உப தலைவர் மற்றும் ஒரு செயலரை எத்தனை வழிகளில் தேர்ந்தெடுக்கலாம்?
12. ஒரு குழுவில் உள்ள 10 நபர்களில் ஒரு தலைவர் மற்றும் ஒரு செயலர் உள்ளடக்கி 6 நபர்களை எத்தனை வழிகளில் தேர்வு செய்யலாம்?
13. 12 வெவ்வேறான புத்தகங்களில் 5 புத்தகங்களை கீழ்க்காணும் நிபந்தனைகளுக்கு உட்பட்டு எத்தனை வழிகளில் தேர்ந்தெடுக்கலாம்?
(i) இரண்டு குறிப்பிட்ட புத்தகங்களை எப்பொழுதுமே தேர்ந்தெடுக்க வேண்டும்.
(ii) இரண்டு குறிப்பிட்ட புத்தகங்களை எப்பொழுதுமே தேர்ந்தெடுக்கக் கூடாது.
14. 5 ஆசிரியர்கள் மற்றும் 20 மாணவர்களில் இருந்து 2 ஆசிரியர்கள் மற்றும் 3 மாணவர்களைக் கொண்டு ஒரு குழு அமைக்கப்படுகின்றது. எத்தனை வழிகளில் இதனைச் செய்யலாம்? மேலும் இவற்றில் கீழ்க்காணும் நிபந்தனைக்கு உட்பட்டு எத்தனை குழுக்களைக் காணலாம்?
(i) அக்குழுவில் ஒரு குறிப்பிட்ட ஆசிரியர் உள்ளவாறு.
(ii) அக்குழுவில் குறிப்பிட்ட மாணவர் வராதவாறு
15. ஒரு மாணவர் ஒரு தேர்வில் 9 வினாக்களில் 2 வினாக்களுக்கு கண்டிப்பாக விடையளிக்க வேண்டும் என்ற நிபந்தனையுடன் 5 வினாக்களுக்கு விடையளிக்க வேண்டும். எத்தனை வழிகளில் அந்த வினாக்களுக்கு ஒரு மாணவர் விடையளிக்கலாம்?
16. 52 சீட்டுகள் கொண்ட ஒரு சீட்டுக் கட்டிலிருந்து 5 சீட்டுகளைத் தேர்வு செய்யும் ஒவ்வொரு சேர்விலும் எப்பொழுதும் மூன்று ஏஸ்கள் (aces) உள்ளவாறு எத்தனை சேர்வுகள் இருக்கும் எனக் காண்க.
17. 7 இந்தியர்கள் மற்றும் 5 அமெரிக்கர்களில் இருந்து இந்தியர்கள் அதிக அளவில் இருக்கும்படியான 5 நபர்களைக் கொண்ட எத்தனை விதமான குழுக்களை அமைக்கலாம்?
18. 8 ஆண்கள் மற்றும் 4 பெண்களில் இருந்து 7 பேர் கொண்ட குழு அமைக்கப்படுகின்றது. கீழ்க்காணும் நிபந்தனையை பூர்த்தி செய்யும் வகையில் எத்தனை குழுக்களை அமைக்கலாம்.
(i) சரியாக 3 பெண்கள் இருக்குமாறு.
(ii) குறைந்தபட்சம் 3 பெண்கள் இருக்குமாறு.
(iii) அதிக பட்சம் 3 பெண்கள் இருக்குமாறு.
19. ஒரு ஆணுக்கு 4 பெண்கள் மற்றும் 3 ஆண்கள் என 7 உறவினர்கள் உள்ளனர். அவரது மனைவிக்கு 3 பெண்கள் மற்றும் 4 ஆண்கள் என 7 உறவினர்கள் உள்ளனர். ஒரு இரவு விருந்திற்கு 3 பெண்கள் மற்றும் 3 ஆண்கள் அழைக்கப்படும் போது, ஆணின் உறவினர்கள் 3 பேர் மற்றும் அவரது மனைவியின் உறவினர்கள் 3 பேர் என்றவாறு விருந்தில் கலந்துகொள்ள எத்தனை வழிகளில் அழைக்கலாம்?
20. ஒரு பெட்டியில் இரண்டு வெள்ளைப் பந்துகள், மூன்று கருப்புப் பந்துகள் மற்றும் நான்கு சிவப்புப் பந்துகள் உள்ளன. பெட்டியில் இருந்து மூன்று பந்துகளைத் தேர்ந்தெடுக்கும் போது, அவற்றில் குறைந்தபட்சம் ஒரு கருப்பு பந்து இருக்குமாறு எத்தனை வழிகளில் தேர்ந்தெடுக்கலாம்?
21. EXAMINATION என்ற வார்த்தையில் உள்ள எழுத்துகளைக் கொண்டு எத்தனை 4 எழுத்துச் சரங்களை உருவாக்கலாம்?
22. எந்த மூன்று புள்ளிகளும் ஒரே கோட்டில் அமையாதவாறு 15 புள்ளிகளைக் கொண்டு எத்தனை முக்கோணங்களை அமைக்கலாம்?
23. 15 புள்ளிகளில் 7 புள்ளிகள் ஒரு கோட்டிலும் மற்றும் மீதமுள்ள 8 புள்ளிகள் மற்றொரு இணைக்கோட்டிலும் அமைந்துள்ளது எனில் இந்த 15 புள்ளிகளைக் கொண்டு எத்தனை முக்கோணங்களை அமைக்கலாம்?
24. ஒரு தளத்தில் 11 புள்ளிகள் உள்ளன. இவற்றில் 4 புள்ளிகளைத் தவிர மற்ற எந்த 3 புள்ளிகளும் ஒரே கோட்டில் அமையவில்லை எனில், கீழ்க்கண்டவற்றைக் காண்க.
(i) இப்புள்ளிகளில் ஒரு சோடி புள்ளிகளினால் அமையும் கோடுகள் எத்தனை?
(ii) இந்த புள்ளிகளை முனைப் புள்ளிகளாகக் கொண்டு எத்தனை முக்கோணங்களை அமைக்கலாம்?
25. 90 மூலைவிட்டங்கள் கொண்ட பலகோணத்தில் எத்தனை பக்கங்கள் உள்ளன?