கேள்வி பதில்கள் மற்றும் தீர்வுகள் | கணக்கு - பயிற்சி : இயற்கணிதம் | 10th Mathematics : UNIT 3 : Algebra
அலகுப் பயிற்சி
1. தீர்க்க 1/3 (x + y − 5) = y − z = 2x −11 = 9 −(x + 2z)

2. ஒரு பள்ளியில் A, B மற்றும் C என்ற மூன்று பிரிவுகளில் 150 மாணவர்கள் புதிதாகச் சேர்க்கப்படுகின்றனர். பிரிவு A - யிலிருந்து பிரிவு C - க்கு 6 மாணவர்கள் மாற்றப்பட்டால், இரு பிரிவுகளிலும் சமமான மாணவர்கள் இருப்பர். C பிரிவு மாணவர்களின் எண்ணிக்கையின் 4 மடங்கு மற்றும் A பிரிவு மாணவர்களின் எண்ணிக்கை இவற்றின் வித்தியாசம் B பிரிவு மாணவர்களின் எண்ணிக்கைக்குச் சமம் எனில், மூன்று பிரிவுகளில் உள்ள மாணவர்களின் எண்ணிக்கையைக் காண்க

3. ஒரு மூன்றிலக்க எண்ணின், பத்தாம் இட மற்றும் நூறாம் இட இலக்கங்களை இடமாற்றுவதன் மூலம் கிடைக்கும் புதிய எண், கொடுக்கப்பட்ட எண்ணின் மும்மடங்கைவிட 54 அதிகம். கொடுக்கப்பட்ட எண்ணோடு 198 - ஐ கூட்டினால் இலக்கங்கள் இட - வலப்பக்கமாக வரிசை மாறும். ஒன்றாம் இட இலக்கத்தைவிட அதிகமுள்ள பத்தாம் இட இலக்கத்தின் இரு மடங்கு, நூறாம் இட இலக்கத்தை விட அதிகமுள்ள பத்தாம் இட இலக்கத்திற்குச் சமம் எனில், கொடுக்கப்பட்ட எண்ணைக் காண்க.

4. xy(k2 + 1) + k (x2 + y2) மற்றும் xy(k2 − 1) + k(x2 − y2) ஆகியவற்றின் மீ.பொ.ம. காண்க

5. வகுத்தல் படிமுறையைப் பயன்படுத்தி 2x4 + 13x3 + 27x2 + 23x + 7, x3 + 3x2 + 3x + 1, x2 + 2x + 1 ஆகியவற்றின் மீ.பொ.வ. காண்க.

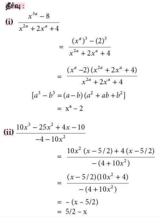
6. பின்வரும் விகிதமுறு கோவைகளை எளிய வடிவில் சுருக்குக.

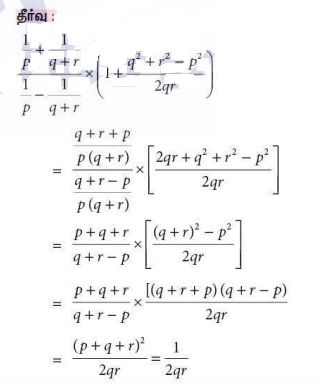
7. சுருக்குக

8. அருள், மதன் மற்றும் இராம் மூவரும் இணைந்து ஒரு கடையை 6 மணி நேரத்தில் சுத்தம் செய்கின்றனர். தனித்தனியாகச் சுத்தம் செய்தால் அருளைப் போல இருமடங்கு நேரம் மதன் எடுத்துக் கொள்கிறார், மேலும் இராம், அருளின் நேரத்தைப்போல மும்மடங்கு எடுத்துக்கொள்கிறார் எனில், மூவரும் தனித்தனியாக எவ்வளவு நேரம் எடுத்துக் கொள்வார்கள்.

9. 289x4 − 612x3 + 970x2 − 684x + 361 -யின் வர்க்க மூலம் காண்க.

10. தீர்க்க 

11. 36 கி.மீ தூரத்தை ஒரு படகு நீரோட்டத்தின் திசையில் கடக்கும் நேரத்தைவிட எதிர்திசையில் கடக்கும் நேரம் 1.6 மணி நேரம் அதிகமாக எடுத்துக்கொள்கிறது. நீரோட்டத்தின் வேகம் 4 கி.மீ/மணி எனில், அசைவற்ற நீரில் படகின் வேகம் என்ன?

12. 320 மீ சுற்றளவும் 4800 ச.மீ பரப்பளவும் கொண்ட செவ்வக வடிவப் பூங்காவை அமைக்க முடியுமா? ஆம் எனில், அதன் நீளம், அகலம் காண்க

13. ஒரு கடிகாரத்தில் பிற்பகல் 2 மணியிலிருந்து t நிமிடங்களுக்குப் பிறகு 3 மணியை அடைவதற்குரிய கால அளவானது t2/4 -ஐ விட மூன்று நிமிடங்கள் குறைவு எனில், t-யின் மதிப்பைக் காண்க.

14. ஓர் அரங்கில், ஒரு வரிசையில் உள்ள இருக்கைகளின் எண்ணிக்கை அந்த அரங்கில் உள்ள மொத்த வரிசைகளின் எண்ணிக்கைக்குச் சமம். ஒவ்வொரு வரிசையில் உள்ள இருக்கைகளை 5 குறைத்து மொத்த வரிசைகளின் எண்ணிக்கையை இரட்டிப்பாக்கினால் அரங்கில் உள்ள இருக்கைகளின் எண்ணிக்கை முன்பைவிட 375 அதிகரிக்கும். அரங்கில் துவக்கத்தில் இருந்த வரிசைகளின் எண்ணிக்கையைக் காண்க.

15. f (x) = x2 − 2x + 3, என்ற பல்லுறுப்புக் கோவையின் மூலங்கள் α மற்றும் β எனில், கீழ்க்கண்டவற்றை மூலங்களாகக் கொண்ட பல்லுறுப்புக் கோவையைக் காண்க.
(i) α + 2, β + 2 

16. x2 + px − 4 = 0 என்ற சமன்பாட்டின் மூலம் -4 மற்றும் x2 + px + q = 0 - யின் மூலங்கள் சமம் எனில், p மற்றும் q -யின் மதிப்புக் காண்க

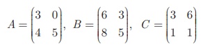
17. திலகன், கௌசிகன் என்ற இரு விவசாயிகள் அரிசி, கோதுமை மற்றும் கேழ்வரகு ஆகிய மூன்று தானியங்களைப் பயிரிட்டனர். ஏப்ரல் மாதத்தில் இருவருக்குமான தானியங்களின் விற்பனை விலை கீழ்க்கண்ட அணியில் கொடுக்கப்பட்டுள்ளது.

மேலும் மே மாத விலை ஏப்ரல் மாத விலையின் இருமடங்கு எனில், கீழ்க்கண்டவற்றை காண்க.
(i) ஏப்ரல், மே மாதங்களின் சராசரி விற்பனை யாது?
(ii) இதேபோல் விலை தொடர்ந்து வரும் மாதங்களில் ஏற்றமடைந்தால் ஆகஸ்ட் மாத விலையைக் காண்க.

18.
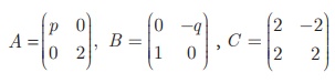
= I2 எனில், x -ஐக் காண்க

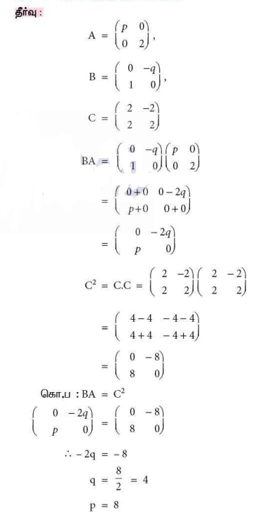
19.
மற்றும் BA = C2 எனில், p, q -ஐக் காண்க.

20.
எனில், CD–AB = 0 எனுமாறு அணி D-ஐக் காண்க.

விடைகள்:
