கேள்வி பதில்கள் மற்றும் தீர்வுகள் | கணக்கு - பயிற்சி 3.17 : அணிகள் | 10th Mathematics : UNIT 3 : Algebra
பயிற்சி 3.17
1. A =
என்ற அணியில்
(i) உறுப்புகளின் எண்ணிக்கையைக் காண்க.
(ii) அணியின் வரிசையைக் காண்க.
(iii) a22, a23, a24, a34, a43, a44 ஆகிய உறுப்புகளை எழுதுக.

2. 18 உறுப்புகளைக் கொண்ட ஓர் அணிக்கு எவ்வகை வரிசைகள் இருக்க இயலும்? ஓர் அணியின் உறுப்புகளின் எண்ணிக்கை 6 எனில், எவ்வகை வரிசைகள் இருக்க இயலும்?

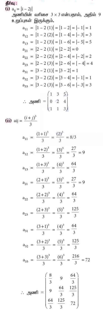
3. பின்வருவனவற்றைக் கொண்டு 3 × 3 வரிசையைக் கொண்ட அணி A = [aij] –யினைக் காண்க.
(i) aij = |i − 2j| (ii) aij = (i+j)3/3

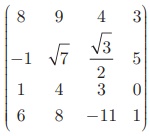
4. A =
எனில், A-யின் நிரை நிரல் மாற்று அணியைக் காண்க.

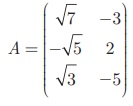
5.
எனில், A-யின் நிரை நிரல் மாற்று அணியைக் காண்க

6.
எனில், (AT)T = A என்பதனைச் சரிபார்க்க.

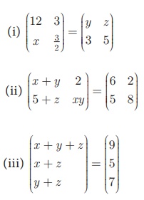
7. கீழ்க்காணும் சமன்பாடுகளில் இருந்து x, y மற்றும் z-யின் மதிப்பைக் காண்க.


விடைகள்:
1.(i) 16 (ii) 4 × 4 (iii) √7 , √3/2 , 5, 0, -11 , 1
2.1 × 18 , 2 × 9 , 3 × 6 , 6 × 3 , 9 × 2 , 18 × 1 and 1 × 6, 2 × 3, 3 × 2, 6 × 1

7.(i) 3,12,3 (ii) 4,2,0 or 2,4,0 (iii) 2,4,3