கேள்வி பதில்கள் மற்றும் தீர்வுகள் | கணக்கு - பயிற்சி 3.19 : அணிகளின் பெருக்கல் பண்புகள் | 10th Mathematics : UNIT 3 : Algebra
பயிற்சி 3.19
1. A, B என்ற அணிகள் கீழ்க்கண்டவாறு இருப்பின் AB-யின் வரிசையைக் காண்க.


2. அணி A-யின் வரிசை p × q மற்றும் அணி B -யின் வரிசை q × r இரு அணிகளையும் பெருக்க முடியும் எனில், AB மற்றும் BA ஆகியவற்றின் வரிசையைக் காண்க.

3. அணி A -யில் 'a' நிரைகளும் ‘a + 3' நிரல்களும் மற்றும் அணி B -யில் ‘b’ நிரைகளும் '17-b' நிரல்களும் உள்ளன. பெருக்கல் அணிகள் AB மற்றும் BA-ஐக் காண முடியும் எனில், a மற்றும் b - யின் மதிப்பைக் காண்க.

4.
எனில், AB மற்றும் BA -ஐக் காண்க. மேலும், AB = BA சரியா என ஆராய்க.

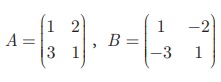
5.
எனில், A(B+C) = AB + AC – ஐச் சரிபார்க்கவும்.

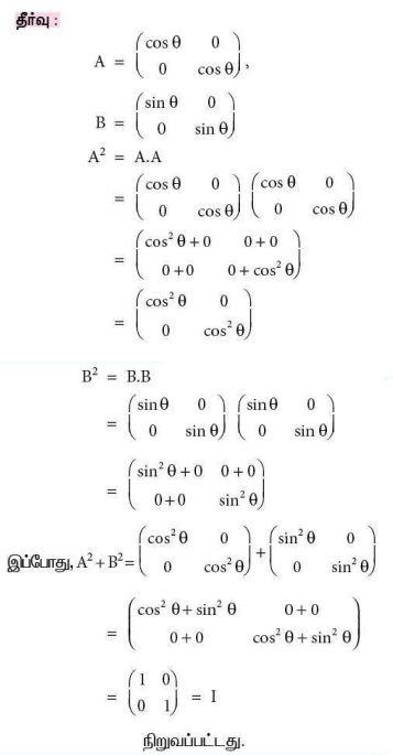
6.
எனில், இவ்விரு அணிகளுக்கும் பரிமாற்றுப் பண்பு AB = BA உண்மை என நிறுவுக.

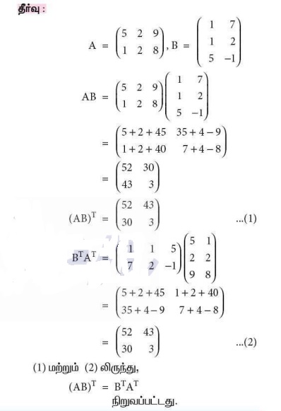
7.
எனில், கீழ்க்கண்டவற்றை நிருபிக்கவும்.














விடைகள்:
