வரையறை, தீர்க்கப்பட்ட எடுத்துக்காட்டு கணக்குகள், பயிற்சி | கணிதம் - கணிதத் தொகுத்தறிதல் | 11th Mathematics : UNIT 4 : Combinatorics and Mathematical Induction
கணிதத் தொகுத்தறிதல் (Mathematical Induction)
முதல் n ஒற்றை மிகை முழு எண்க ளின் கூடுதலை கருதுவோம். இவை 1, 3, 5, 7,...., 2n - 1 ஆகும். முதல் ஒற்றை எண் 1 இதன் கூடுதல் 1. முதல் இரண்டு ஒற்றை எண்கள் 1 மற்றும் 3. மேலும், இவற்றின் கூடுதல் 4. இதிலிருந்து பின்வருமாறு ஒரு வடிவம் அமைவதைக் காணலாம்.

மேலும் இவ்வாறு தொடரலாம்.
வலது புறத்தில் உள்ள எண்கள் 1, 4, 9, 16, 25,.... அனைத்தும் முழு வர்க்க எண்களாகும். இந்த வடிவத்திலிருந்து முதல் n ஒற்றை மிகை முழு எண்களின் கூடுதல் n-ன் வர்க்கமான n2 - க்குச் சமமாகும் என்பதை ஊகிக்கலாம். இதனை
1 + 3 + 5 + ... + (2 n - 1) = n2
என குறிக்கலாம். இருப்பினும், இது ஒரு ஊகக்கூற்று ஆகும். இதனை நிறுவ நாம் கணிதத் தொகுத்தறிதல் கொள்கையினைப் பயன்படுத்துகின்றோம். இவ்வாறான ஊகக்கூற்றை நிறுவும் முறை கணிதத் தொகுத்தறிதல் முறை ஆகும். ஒரு குறிப்பிட்ட முடிவின் எல்லா சாத்தியமான நிலைகளையும் உற்றுநோக்கி உருவாக்கப்படும் ஊகக்கூற்றைப் பொருத்துதான் இந்த தொகுத்தறிதல் முறை உள்ளது. இது முக்கியமாக இயற்கணிதம் மற்றும் கணிதத்தின் மற்ற பிரிவுகளில் மிகை முழு எண் n இல் அமைந்த முடிவுகள் அல்லது தேற்றங்களை நிறுவ பயன்படுகின்றது.
இந்த கணிதத் தொகுத்தறிதல் முறையினை எண்ணற்ற மாடிப்படிகளை ஏறுவதுடன் தொடர்புபடுத்திப் பார்க்கலாம்.
நாம் மாடிப்படிகளின் மீது ஏறுவதை உறுதிசெய்ய, கீழ்க்கண்டவற்றை உறுதி செய்யவேண்டும்.
(அ) நாம் முதல் படியை ஏற வேண்டும்.
(ஆ) ஒரு குறிப்பிட்ட படியை அடைந்த பிறகு, நாம் அதற்கு அடுத்த படியில் ஏறவேண்டும்.
படிநிலைகள் (அ) மற்றும் (ஆ) ஆகியவற்றை உறுதி செய்தால் நாம் எல்லா படிகளையும் ஏறுவதை உறுதிசெய்யலாம். இதுபோலவே, இந்த முறையைக் கணித கூற்று P(n)-ஐ நிறுவ பயன்படுத்தும் போது, தொகுத்தறிதல் முறையில் கீழ்க்கண்ட படிநிலைகள் உள்ளன.

படி 1: n = 1-க்கு கூற்று உண்மை என நிறுவுக, அதாவது P(1) உண்மை என சரிபார்க்க.
படிக்கட்டின் முதல்படி ஏறுவதாக ஒப்பிட்டு இதனை ஆரம்பநிலை (Initial step) என்கிறோம்.
படி 2: n = k-க்கு உண்மையாக இருக்கும்போது n = k + 1-க்கு இந்த கூற்றை சரிபார்க்க, இங்கு k ஒரு மிகை முழு எண் ஆகும். அதாவது P(k) உண்மை எனக்கொண்டு P(k + 1) உண்மை என நிறுவவேண்டும். இதனை தொகுக்கும் நிலை (Inductive step) என்கிறோம்.
படி 3 : படி 1 மற்றும் 2 ஆகியவை நிறுவப்பட்டால் P(n) ஆனது எல்லா மிகை முழு எண்கள் n-க்கும் உண்மை எனலாம்.
கணிதத்தில் தொகுத்தறிதல் என்பது கணிதத்தில் நிரூபிக்கும் முறைகளில் மிகவும் சுவாரஸ்யமான ஒன்று. இந்த முறையை எடுத்துக்காட்டின் மூலம் விளக்கலாம். கீழ்க்கண்ட எடுத்துக்காட்டில் நமக்கு நன்றாக தெரிந்த முடிவினை கணித தொகுத்தறிதல் மூலம் நிறுவலாம்.
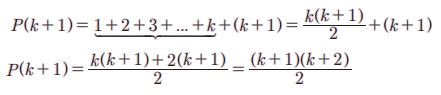
எடுத்துக்காட்டு 4.61 கணிதத் தொகுத்தறிதல் கொள்கையை பயன்படுத்தி, எல்லா முழு எண்கள் n ≥ 1 -க்கு என 1 + 2 + 3 +... + n = n (n + 1)/2 நிறுவுக.
தீர்வு :
P(n) : = 1 + 2 + 3 + ... + n = n (n + 1)/2 என்க.
n = 1 என பிரதியிட.
P(1) = 1(1 + 1) / 2 = 1
எனவே, n = 1-க்கு இது உண்மை. அதாவது P(1) என்பது உண்மை.
n = k-க்கு இந்த கூற்றை உண்மை எனக் கொள்வோம்.
எனவே,
P(k) = 1 + 2 + 3 + ... + k = k (k + 1) / 2
இப்பொழுது P(k + 1) என்பது உண்மையென நிறுவவேண்டும்.

எனவே, P(k + 1) என்பது உண்மை.
P(k ) உண்மை எனக்கொண்டு P(k + 1) உண்மை என நிறுவியுள்ளோம்.
எனவே, கணிதத் தொகுத்தறிதல் கொள்கையின் படி, எல்லா முழு எண்கள் n ≥ 1-க்கும்
1 + 2 + 3 + ... + n = n (n + 1) / 2.
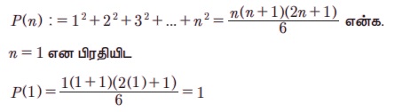
எடுத்துக்காட்டு 4.62 முதல் n ஒற்றை மிகை எண்களின் கூடுதல் n2 என தொகுத்தறிதல் முறையில் நிறுவுக.
தீர்வு:
P(n): = 1 + 3 + 5 +... + (2 n - 1) என்க.
எனவே, P(1) = 1 = 12 என்பது உண்மை.
n = k-க்கு இந்த கூற்றை உண்மை எனக் கொள்வோம்.
எனவே,
P(k): = 1 + 3 + 5 +... + (2k - 1)
அதாவது P(k) = k2
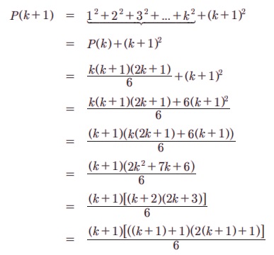
இப்பொழுது P(k + 1) = (k + 1)2 என நிறுவ வேண்டும்.
P(k + 1) = 1 + 3 + 5 +... + (2(k + 1) - 1)

= P(k) + 2k + 1
= k2 + 2k + 1 = (k + 1)2
எனவே, P(k + 1) என்பது உண்மை.
P(k) உண்மை எனக் கொண்டு P(k + 1) உண்மை என நிறுவியுள்ளோம்.
எனவே, கணிதத் தொகுத்தறிதல் மூலம், எல்லா முழு எண்கள் n ≥ 1-க்கும், முதல் n ஒற்றை மிகை எண்களின் கூடுதல் n2 என நிறுவப்பட்டது.
எடுத்துக்காட்டு 4.63 கணிதத் தொகுத்தறிதல் மூலம், எல்லா முழு எண்கள் n ≥ 1-க்கு
என நிறுவுக.
தீர்வு:

எனவே, n = 1-க்கு இது உண்மை. அதாவது P(1) என்பது உண்மை
n = k-க்கு, இந்த கூற்றை உண்மை எனக் கொள்வோம்.
எனவே,

இப்பொழுது P(k + 1) உண்மை என நிறுவவேண்டும்.

எனவே P(k + 1) என்பது உண்மை.
P(k) உண்மை எனக் கொண்டு P(k + 1) உண்மை என நிறுவியுள்ளோம்.
எனவே, கணிதத் தொகுத்தறிதல் மூலம் எல்லா முழு எண்கள் n ≥ 1-க்கு

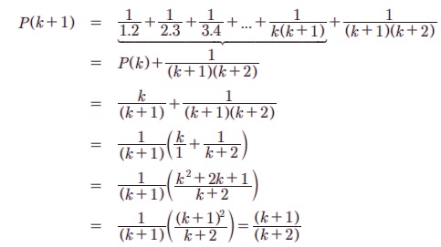
எடுத்துக்காட்டு 4.64 கணிதத் தொகுத்தறிதல் மூலம், எல்லா இயல் எண்கள் n-க்கும்
என நிறுவுக.
தீர்வு:

n = 1 என பிரதியிட
P(1)= 1/1.2 = 1/2
எனவே, P(1) உண்மை.
n = k-க்கு இந்த கூற்றை உண்மை எனக் கொள்வோம்.

இப்பொழுது P(k + 1) என்பது உண்மை என நிறுவவேண்டும்.

எனவே P(k + 1) என்பது உண்மை.
P(k) உண்மை எனக் கொண்டு P(k + 1) உண்மை என நிறுவியுள்ளோம். எனவே கணிதத் தொகுத்தறிதல்படி, எல்லா இயல் எண்கள் n-க்கும்,

எடுத்துக்காட்டு 4.65 எந்த ஒரு இயல் எண் n-க்கும், a > b எனில் an - bn ஆனது a – b ஆல் வகுபடும் என நிரூபிக்க.
தீர்வு:
P(n)│ = an - bn ஆனது a – b ஆல் வகுபடும் என்க.
n = 1 என பிரதியிட
P(1) = a - b இது a – b ஆல் வகுபடும்.
எனவே P(1) உண்மை. இந்த கூற்று n = k-க்கு உண்மை எனக் கொள்க. எனவே P(k) = ak – bk ஆனது a – b ஆல் வகுபடும்.
P(k) = ak – bk, λ (a - b), λ ∈ ℕ
நிறுவவேண்டியது P(k + 1) = ak+1 – bk+1, ஆனது a – b ஆல் வகுபடும்.
P(k + 1) = ak+1 – bk+1
= ak+1 – abk + abk – bk+1
= a(ak – bk) + bk (a – b)
= a(λ(a – b) + bk (a – b)
= (a – b)(a(λ + bk )
= (a – b) λ1, λ1 = a λ + bk, λ1 ∈ ℕ
எனவே, இது a – b ஆல் வகுபடும். ஆகவே, P(k + 1) என்பது உண்மை . P(k) உண்மை எனக் கொண்டு P(k + 1) உண்மை என நிறுவியுள்ளோம். எனவே, கணிதத் தொகுத்தறிதல் கொள்கையின்படி எந்த ஒரு இயல் எண் n-க்கும், a > b எனில் an - bn ஆனது a - b ஆல் வகுபடும்.
எடுத்துக்காட்டு 4.66 n ≥ 1-க்கு 32n+2 – 8n – 9 ஆனது 8 ஆல் வகுபடும் என்பதை நிறுவுக.
தீர்வு:
P(n)│ = 32n+2 – 8n – 9, ஆனது 8ஆல் வகுபடும் என்க.
n = 1 என பிரதியிட P(1) = 32+2 – 8(1) - 9 = 64, இது 8ஆல் வகுபடும். எனவே P(1) உண்மை.
n = k-க்கு இந்த கூற்று உண்மை எனக் கொள்க.
எனவே P(k) = 32k+2 – 8k - 9, ஆனது 8ஆல் வகுபடும்.
ஆகவே, P(k) = 32k+2 – 8k – 9 = 8k1, k1 ∈ ℕ
ஆகவே, 32k+2 = 8k1 + 8k + 9 என எழுதலாம்.
P(k + 1) = 3(2k+2) – 8(k+1) – 9 ஆனது 8ஆல் வகுபடும் என நிறுவ வேண்டும்.
P(k + 1) = 32(k+1)+2 – 8(k+1) – 9
= 3232k+2 – 8k – 8 - 9
= 32 (8k1 + 8 k + 9) - 8 k -17
= 72 k1 + 72k + 81 - 8k - 17 = 72 k1 + 64k + 64
= 8(9 k1 + 8k + 1)
= 8 k2, k2 = 9 k1 + 8 k + 1 ∈ ℕ
P(k + 1) என்பது 8ஆல் வகுபடும். எனவே P(k + 1) என்பது உண்மை. P(k) உண்மை எனக் கொண்டு P(k + 1) உண்மை என நிறுவியுள்ளோம். எனவே கணிதத் தொகுத்தறிதல்படி n ≥ 1-க்கு 32n+2 – 8n – 9 ஆனது 8ஆல் வகுபடும்.
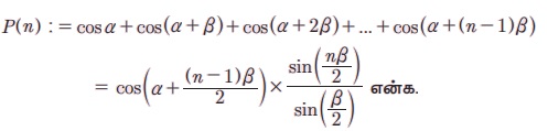
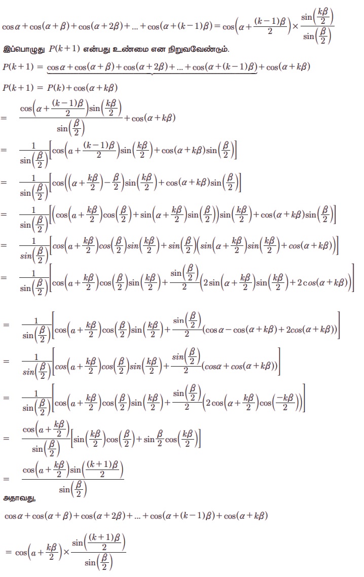
எடுத்துக்காட்டு 4.67 கணிதத் தொகுத்தறிதல் முறையில் n ≥ 2 என உள்ள எந்த ஒரு முழு எண்ணுக்கும் 3 n2 > (n + 1)2 என நிறுவுக.
தீர்வு :
n ≥ 2 என இருக்கும்போது 3n2 > (n + 1)2 என்ற கூற்றை P(n) என கொள்க.
எனவே முதல் படி n = 2 ஆகும்.
P(2) = 3 × 22 = 12 மேலும் 32 = 9, 12 > 9 ஆதலால் P(2) என்பது உண்மை.
n = k-க்கு P(n) உண்மை எனக் கொள்க.
P(k + 1) = 3(k + 1)2 = 3 k2 + 6 k + 3
= P(k) + 6 k + 3
> (k + 1)2 + 6 k + 3
= k2 + 2 k + 1 + 6 k + 3
= k2 + 8 k + 4
= k2 + 4 k + 4 + 4 k
= (k + 2)2 + 4 k
> (k + 2)2, k > 0 ஆதலால்
எனவே, P(k + 1) என்பது உண்மை.
P(k) என்பது உண்மை எனக் கொண்டு P(k + 1) உண்மை என நிறுவியுள்ளோம்.
எனவே, கணிதத் தொகுத்தறிதல் கொள்கையின்படி எல்லா n ≥ 2-க்கும் 3n2 > (n + 1)2 ஆகும்.
எடுத்துக்காட்டு 4.68 கணிதத் தொகுத்தறிதல் மூலம் என உள்ள எந்த ஒரு முழு எண்ணுக்கும் n ≥ 2, 3n > n2 என நிரூபி.
தீர்வு:
n ≥ 2 -க்கு 3 n > n2 என்பதை P(n) என்ற கூற்று என்க. முதல்படி n = 2 ஆகும்.
P(2) = 32 = 9 மேலும் 22 = 4
9 > 4 ஆதலால் P(2) உண்மை.
n = k-க்கு P(n) உண்மை எனக் கொள்க.
எனவே, P(k) > k2
P(k + 1) = 3k+1 = 3 × 3k = 3 × P(k)
> 3k2 )
> (k + 1)2 (எடுத்துக்காட்டு 4.67லிருந்து)
எனவே n ≥ 2 என உள்ள அனைத்து முழு எண்களுக்கும் 3n > n2.
எடுத்துக்காட்டு 4.69 எந்த ஒரு இயல் எண் n ∈ ℕ -க்கும் கணிதத் தொகுத்தறிதலின்படி 
தீர்வு :

n = 1 என பிரதியிட

எனவே P(1) என்பது உண்மை. இந்த கூற்று n = k-க்கு P(k) உண்மை எனக் கொள்க.
எனவே,

ஆகவே, P(k + 1) என்பது உண்மை. P(k) உண்மை எனக் கொண்டு P(k + 1) உண்மை என நிறுவியுள்ளோம். எனவே, கணிதத் தொகுத்தறிதல் கொள்கையின்படி எந்த ஒரு இயல் எண் n ∈ ℕ -க்கும்,

எடுத்துக்காட்டு 4.70 கணிதத் தொகுத்தறிதலின்படி i2 = -1 எனக் கொண்டு எந்த ஒரு இயல் எண் n-க்கும் (r(cosθ + isinθ))n = rn (cos nθ + isin nθ) எனக் காட்டுக.
தீர்வு:
P(n) : = (r(cosθ + isinθ))n = rn (cos nθ + isin nθ) என்க.
n = 1 எனப் பிரதியிட
P(1) = (r(cosθ + isinθ))1 = r(cos nθ + isin nθ)
எனவே P(1) என்பது உண்மை . இந்த கூற்று n = k-க்கு P(k) என்பது உண்மை எனக் கொள்க. எனவே
(r(cosθ + isinθ))k = rk(cos kθ + isin kθ)
இப்பொழுது P(k + 1) என்பது உண்மை என நிறுவவேண்டும்.
P(k + 1) = (r(cosθ + isinθ))k+1
= (r(cosθ + isinθ))k × r(cosθ + isinθ)
= rk(coskθ + isinkθ) × r(cosθ + isinθ)
= rk+1((coskθ cosθ + i2sinkθ sinθ) + i (sinkθ cosθ + coskθsinθ))
= rk+1((coskθ cosθ - sinkθ sinθ) + i (sinkθ cosθ + coskθsinθ))
= rk+1 × (cos(k+1)θ + isin(k+1)θ)
ஆகவே, P(k + 1) என்பது உண்மை. P(k) உண்மை எனக் கொண்டு P(k + 1) உண்மை என நிறுவியுள்ளோம். எனவே, கணிதத் தொகுத்தறிதல் கொள்கையின்படி எந்த ஒரு இயல் எண் n-க்கும்,
(r(cosθ + isinθ))n = r n(cos nθ + isin nθ)
குறிப்பு:
எடுத்துக்காட்டு 4.70 இல் நாம் நிரூபித்தது இயல் எண்களுக்கான டீமாய்வியரின் தேற்றம் (Demoivre's Theorem) ஆகும். இதைப்பற்றி மேல்நிலை இரண்டாம் ஆண்டில் விரிவாகப் படிக்கலாம்.
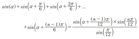
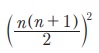
1. கணிதத் தொகுத்தறிதல் முறையில் n ≥ 1-க்கு
13 + 23 + 33 + ... + n3 =
என நிரூபிக்க
2. கணிதத் தொகுத்தறிதல் முறையில் n ≥ 1-க்கு
என நிரூபிக்க.
3. பூஜ்ஜியமற்ற முதல் n இரட்டை எண்க ளின் கூடுதல் n2 + n என நிரூபிக்க.
4. கணிதத் தொகுத்தறிதல் முறையில் n ≥ 1-க்கு
என நிரூபிக்க.
5. கணிதத்தொகுத்தறிதலைப் பயன்படுத்தி n ≥ 2 எனக் கொண்ட எந்த ஒரு இயல் எண்ணுக்கும்
என நிரூபிக்க.
6. கணிதத் தொகுத்தறிதலைப் பயன்படுத்தி n ≥ 2 எனக் கொண்ட எந்த ஒரு இயல் எண்ணுக்கும் 
7. கணிதத் தொகுத்தறிதலைப் பயன்படுத்தி எந்த ஒரு இயல் எண் n-க்கும்
என நிரூபிக்க.
8. கணிதத் தொகுத்தறிதலைப் பயன்படுத்தி எந்த ஒரு இயல் எண் n-க்கும்
என நிரூபிக்க.
9. கணிதத் தொகுத்தறிதல் முறையில் நிறுவுக.
1! + (2 × 2!) + (3 × 3!) + ...+ (n × n!) = (n +1)! - 1
10. கணிதத் தொகுத்தறிதலைப் பயன்படுத்தி எந்த ஒரு இயல் எண் n -க்கும் x2n - y2n ஆனது x + y ஆல் வகுபடும் என நிரூபிக்க.
11. கணிதத் தொகுத்தறிதல் கொள்கையின்படி n ≥ 1 – க்கு
என நிரூபிக்க
12. தொகுத்தறிதலைப் பயன்படுத்தி எல்லா இயல் எண்கள் n -க்கும் n3 -7 n + 3 ஆனது 3ஆல் வகுபடும் என நிரூபிக்க.
13. தொகுத்தறிதலைப் பயன்படுத்தி எல்லா இயல் எண்கள் n -க்கும் 5n+1 + 4 × 6n ஐ 20 ஆல் வகுக்க கிடைக்கும் மீதி 9 என நிரூபிக்க.
14. தொகுத்தறிதலைப் பயன்படுத்தி எல்லா இயல் எண்கள் n -க்கும் 10n + 3 × 4n+2 + 5 ஆனது 9 ஆல் வகுபடும் என நிரூபிக்க.
15. கணிதத் தொகுத்தறிதலைப் பயன்படுத்தி கீழ்க்கண்ட கூற்றை நிறுவுக.

சரியான அல்லது மிகச்சிறந்த விடையைத் தேர்வு செய்.
1. 2,4,5,7 ஆகிய அனைத்து எண்களையும் பயன்படுத்தி உருவாக்கப்படும் நான்கு இலக்க எண்களில் 10 -ஆவது இடத்திலுள்ள அனைத்து எண்களின் கூடுதல்.
(1) 432 (2) 108 (3) 36 (4) 18
2. ஒரு தேர்வில் 5 வாய்ப்புகளையுடைய மூன்று பல்வாய்ப்பு வினாக்கள் உள்ளன. ஒரு மாணவன் எல்லா வினாக்களுக்கும் சரியாக விடையளிக்கத் தவறிய வழிகளின் எண்ணிக்கை.
(1) 125 (2) 124 (3) 64 (4) 63
3. 30 மாணவர்களைக் கொண்ட வகுப்பில் கணிதத்தில் முதலாவது மற்றும் இரண்டாவது, இயற்பியலில் முதலாவது மற்றும் இரண்டாவது, வேதியியலில் முதலாவது மற்றும் ஆங்கிலத்தில் முதலாவது என பரிசுகளை வழங்கும் மொத்த வழிகளின் எண்ணிக்கை.
(1) 304 × 292 (2) 303 × 293 (3) 302 × 294 (4) 30 × 295
4. எல்லாம் ஒற்றை எண்களாகக் கொண்ட 5 இலக்க எண்களின் எண்ணிக்கை.
(1) 25 (2) 55 (3) 56 (4) 625
5. 3 விரல்களில், 4 மோதிரங்களை அணியும் வழிகளின் எண்ணிக்கை.
(1) 43-1 (2) 34 (3) 68 (4) 64
6.
எனில், n-ன் மதிப்பு
(1) 7 மற்றும் 11 (2) 6 மற்றும் 7 (3) 2 மற்றும் 11 (4) 2 மற்றும் 6
7. அடுத்தடுத்த r மிகை முழு எண்களின் பெருகற்பலன் எதனால் வகுபடும்.
(1) r! (2) (r -1)! (3) (r +1)! (4) rr
8. குறைந்தபட்சம் ஒரு இலக்கம் மீண்டும் வருமாறு 5 இலக்க தொலைபேசி எண்களின் எண்ணிக்கை.
(1) 90000 (2) 10000 (3) 30240 (4) 69760
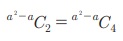
9.
எனில் a-ன் மதிப்பு
(1) 2 (2) 3 (3) 4 (4) 5
10. ஒரு தளத்தில் 10 புள்ளிகள் உள்ளன. அவற்றில் 4 ஒரே கோடமைவன. ஏதேனும் இரு புள்ளிகளை இணைத்து கிடைக்கும் கோடுகளின் எண்ணிக்கை
(1) 45 (2) 40 (3) 39 (4) 38
11. ஒரு விழாவிற்கு 12 நபர்களில் 8 நபர்களை ஒரு பெண் அழைக்கிறார். இதில் இருவர் ஒன்றாக விழாவிற்கு வரமாட்டார்கள் எனில், அவர்களை அழைக்கும் வழிகளின் எண்ணிக்கை

12. நான்கு இணையான கோடுகளின் தொகுப்பானது மூன்று இணையான கோடுகளைக் கொண்ட மற்றொரு தொகுப்பை வெட்டும்போது உருவாகும் இணைகரங்களின் எண்ணிக்கை
(1) 6
(2) 9
(3) 12
(4) 18
13. ஓர் அறையில் உள்ள ஒவ்வொருவரும் மற்றவருடன் கைக்குலுக்குகிறார்கள். 66 கைக்குலுக்கல் நிகழ்கின்றது எனில், அந்த அறையில் உள்ள நபர்களின் எண்ணிக்கை
(1) 11
(2) 12
(3) 10
(4) 6
14. 44 மூலைவிட்டங்கள் உள்ள ஒரு பலகோணத்தின் பக்கங்களின் எண்ணிக்கை
(1) 4
(2) 4!
(3) 11
(4) 22
15. எந்த இரண்டு கோடுகளும் இணையாக இல்லாமலும் மற்றும் எந்த மூன்று கோடுகளும் ஒரு புள்ளியில் வெட்டிக்கொள்ளாமலும் இருக்குமாறு ஒரு தளத்தின் மீது 10 நேர்க்கோடுகள் வரையப்பட்டால், கோடுகள் வெட்டிக்கொள்ளும் புள்ளிகளின் மொத்த எண்ணிக்கை...
(1) 45
(2) 40
(3) 10!
(4) 210
16. ஒரு தளத்தில் உள்ள 10 புள்ளிகளில் 4 புள்ளிகள் ஒரு கோடமைவன எனில், அவற்றை கொண்டு உருவாக்கும் முக்கோணங்களின் எண்ணிக்கை
(1) 110
(2) 10C3
(3) 120
(4) 116
17.
எனில் n-ன் மதிப்பு
(1) 5
(2) 6
(3) 11
(4) 7
18.
என்பது

19. 52 சீட்டுகள் உள்ள ஒரு சீட்டுக்கட்டிலிருந்து தேர்ந்தெடுக்கப்படும் 5 சீட்டுகளில் குறைந்தபட்சம் ஒரு இராஜா சீட்டு இருக்குமாறு உள்ள வழிகளின் எண்ணிக்கை.

20. ஒரு சதுரங்க அட்டையில் உள்ள செவ்வகங்களின் எண்ணிக்கை
(1) 81
(2) 99
(3) 1296
(4) 6561
21. 2 மற்றும் 3 என்ற இலக்கங்களை கொண்டு உருவாக்கப்படும் 10 இலக்க எண்களின் எண்ணிக்கை
(1) 10C2 + 9C2
(2) 210
(3) 210 - 2
(4) 10!
22. Pr என்பது rPr ஐ குறித்தால் 1 + P1 + 2 P2 + 3 P3 +... + n Pn என்ற தொடரின் கூடுதல்

23. முதல் n ஒற்றை இயல் எண்களின் பெருக்கலின் மதிப்பு

24.
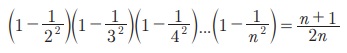
ஆகியவை AP யில் (கூட்டுத் தொடரில்) உள்ளன எனில், n-ன் மதிப்பு
(1) 14
(2) 11
(3) 9
(4) 5
25. 1 + 3 + 5 + 7 + ... + 17-ன் மதிப்பு
(1) 101
(2) 81
(3) 71
(4) 61