இயற்கணிதம் | கணக்கு - பலவுள் தெரிவு வினாக்கள் | 10th Mathematics : UNIT 3 : Algebra
பயிற்சி 3.20
பலவுள் தெரிவு வினாக்கள்
1. மூன்று மாறிகளில் அமைத்த மூன்று நேரியல் சமன்பாடுகளின் தொகுப்பிற்கு தீர்வுகள் இல்லையெனில், அத்தொகுப்பில் உள்ள தளங்கள்
(அ) ஒரே ஒரு புள்ளியில் வெட்டுகின்றன
(ஆ) ஒரே ஒரு கோட்டில் வெட்டுகின்றன
(இ) ஒன்றின் மீது ஒன்று பொருந்தும்
(ஈ) ஒன்றையொன்று வெட்டாது
2. x + y – 3z = −6 , − 7y + 7z = 7 , 3z = 9 என்ற தொகுப்பின் தீர்வு
(அ) x = 1, y = 2, z = 3
(ஆ) x = −1, y = 2, z = 3
(இ) x = − 1, y = −2, z = 3
(ஈ) x = 1, y = -2, z = 3
3. x2 - 2x - 24 மற்றும் x2 - kx – 6 -யின் மீ.பொ.வ. (x - 6) எனில், k -யின் மதிப்பு
(அ) 3
(ஆ) 5
(இ) 6
(ஈ) 8


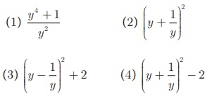
5. கீழ்க்கண்டவற்றுள் எது
-க்குச் சமம் இல்லை.


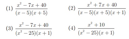
6.
-யின் சுருங்கிய வடிவம்



8. x4 + 64 முழு வர்க்கமாக மாற்ற அதனுடன் பின்வருவனவற்றுள் எதைக் கூட்ட வேண்டும்?
(அ) 4x2
(ஆ) 16x2
(இ) 8x2
(ஈ) -8x2

9. (2x − 1)2 = 9 -யின் தீர்வு
(அ) -1
(ஆ) 2
(இ) -1, 2
(ஈ) இதில் எதுவும் இல்லை

10. 4x4 − 24x3 + 76x2 + ax + b ஒரு முழு வர்க்கம் எனில், a மற்றும் b -யின் மதிப்பு
(அ) 100,120
(ஆ) 10,12
(இ) -120,100
(ஈ) 12,10

11. q2x2 + p2x + r2 = 0 என்ற சமன்பாட்டின் மூலங்களின் வர்க்கங்கள், qx2 + px + r = 0 என்ற சமன்பாட்டின் மூலங்கள் எனில், q, p, r என்பன
(அ) ஒரு கூட்டுத் தொடர்வரிசையில் உள்ளன
(ஆ) ஒரு பெருக்குத் தொடர்வரிசையில் உள்ளன
(இ) கூட்டுத் தொடர் வரிசை மற்றும் பெருக்குத் தொடர்வரிசை இரண்டிலும் உள்ளன.
(ஈ) இதில் எதுவும் இல்லை.

12. ஒரு நேரிய சமன்பாட்டின் வரைபடம் ஒரு ----------- ஆகும்.
(அ) நேர்க்கோடு
(ஆ) வட்டம்
(இ) பரவளையம்
(ஈ) அதிபரவளையம்

13. x2 + 4x + 4 என்ற இருபடி பல்லுறுப்புக் கோவை X அச்சோடு வெட்டும் புள்ளிகளின் எண்ணிக்கை
(அ) 0
(ஆ) 1
(இ) 0 அல்லது 1
(ஈ) 2

14. கொடுக்கப்பட்ட அணி A =
-க்கான நிரை நிரல் மாற்று அணியின் வரிசை
(அ) 2 × 3
(ஆ) 3 × 2
(இ) 3 × 4
(ஈ) 4 × 3

15. A என்ற அணியின் வரிசை 2 × 3, B என்ற அணியின் வரிசை 3 × 4 எனில், AB என்ற அணியின் நிரல்களின் எண்ணிக்கை
(அ) 3
(ஆ) 4
(இ) 2
(ஈ) 5

16. நிரல்கள் மற்றும் நிரைகள் சம எண்ணிக்கையில் இல்லாத அணி
(அ) மூலைவிட்ட அணி
(ஆ) செவ்வக அணி
(இ) சதுர அணி
(ஈ) அலகு அணி
17. ஒரு நிரல் அணியின், நிரை நிரல் மாற்று அணி
(அ) அலகு அணி
(ஆ) மூலைவிட்ட அணி
(இ) நிரல் அணி
(ஈ) நிரை அணி
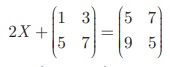
18.
எனில், X என்ற அணியைக் காண்க.

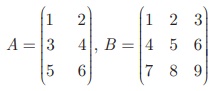
19.
ஆகிய அணிகளைக் கொண்டு எவ்வகை அணிகளைக் கணக்கிட முடியும்?
(i) A2 (ii) B2 (iii) AB (iv) BA
(அ) (i), (ii) மட்டும்
(ஆ) (ii), (iii) மட்டும்
(இ) (ii), (iv) மட்டும்
(ஈ) அனைத்தும்

20.
எனில், பின்வருவனவற்றுள் எவை சரி?

(அ) (i) மற்றும் (ii) மட்டும்
(ஆ) (ii) மற்றும் (iii) மட்டும்
(இ) (iii) மற்றும் (iv) மட்டும்
(ஈ) அனைத்தும்


விடைகள்:
