தகவல் செயலாக்கம் | மூன்றாம் பருவம் அலகு 7 | 3 ஆம் வகுப்பு கணக்கு - விரைவுக் கழித்தலுக்கான வழிமுறைகள் | 3rd Maths : Term 3 Unit 7 : Information Processing
விரைவுக் கழித்தலுக்கான வழிமுறைகள்
கழித்தலுக்கான நுட்பங்கள் சிலவற்றை இங்கு கற்கலாம்.
1. கழித்தல் அட்டவணையைக் கொண்டு சிறிய எண்களை நாம் கழிக்கலாம்.

2. கழித்தல் சார்ந்த சில உண்மைகள்.
ஓர் எண்ணிலிருந்து 0ஐக் கழித்தல்
எந்த எண்ணிலிருந்து 0ஐக் கழித்தாலும் அதே எண் தான் மீண்டும் கிடைக்கும்.
ஓர் எண்ணிலிருந்து 1 றினைக் கழித்தல்
எந்த எண்ணிலிருந்தும் 1 றினைக் கழித்தால் அவ்வெண்ணிற்கு முந்தைய எண் கிடைக்கும்.
ஓர் எண்ணிலிருந்து 2ஐக் கழித்தல்
எந்த எண்ணிலிருந்தும் 2ஐக் கழித்தால் அவ்வெண்ணிலிருந்து 2 படிகள் முன்னுள்ள எண்ணைப் பெறலாம்.
ஓர் எண்ணிலிருந்து 10ஐக் கழித்தல்
ஓர் எண்ணிலிருந்து 10ஐக் கழிக்கும் போது, அவ்வெண்ணின் ஒன்றாம் இலக்கத்தில் எந்த மாற்றமும் இராது. ஆனால் அதன் பத்தாம் இலக்கத்திலிருந்து 1 குறையும், அதாவது அந்த எண் அதற்கு முந்தையை எண்ணிற்கு மாறும்.
3. ஓர் எண்ணிலிருந்து அதே எண்ணைக் கழித்தல்
ஓர் எண்ணிலிருந்து அதே எண்ணைக் கழிக்கும்போது கிடைக்கும் மீதம் 0.
எடுத்துக்காட்டு
978 - 978ஐக் கழித்தால் கிடைக்கும் மீதம் 0.
4. 0 இல் முடியும் எண்களைக் கழித்தல்
இவ்விரு எண்களிலிருந்தும் 1றினைக் குறைத்த பின் கழித்தலைச் செய்யவும்.
எடுத்துக்காட்டு
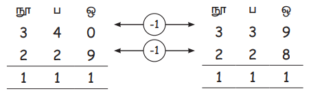
340 - 229 மீதம் காண்க

எடுத்துக்காட்டு
1000 - 574 கழிக்கவும்

இவ்விரண்டிலுமிருந்து 1றினைக் கழிப்பதால் புதிய எண்ணும் மீதித்தொகையும் ஒன்றாக உள்ளது.
கீழே கொடுக்கப்பட்ட எண்களைக் கழிக்கவும்.

