கேள்வி பதில்கள் மற்றும் தீர்வுகள் | கணக்கு - பயிற்சி 3.13 : இருபடிச் சமன்பாட்டின் மூலங்களின் தன்மை | 10th Mathematics : UNIT 3 : Algebra
பயிற்சி 3.13
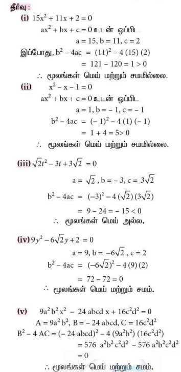
1. பின்வரும் இருபடிச் சமன்பாடுகளின் மூலங்களின் தன்மையைக் கூறுக.
(i) 15x2 + 11x + 2 = 0
(ii) x2 − x −1 = 0
(iii) √2t2 − 3t + 3√2 = 0
(iv) 9y2 − 6√2y + 2 = 0
(v) 9a2b2x2 − 24abcdx + 16c2d2 = 0, a ≠ 0 , b ≠ 0

2. கொடுக்கப்பட்ட சமன்பாடுகளின் மூலங்கள் மெய் மற்றும் சமம் எனில், k-யின் மதிப்பைக் காண்க.
(i) (5k − 6)x2 + 2kx + 1 = 0
(ii) kx2 + (6k + 2)x + 16 = 0

3. (a − b) x2 + (b − c )x + (c − a ) = 0 என்ற சமன்பாட்டின் மூலங்கள் மெய் மற்றும் சமம் எனில், b, a, c ஆகியவை ஒரு கூட்டுத் தொடர்வரிசையை அமைக்கும் என நிறுவுக.

4. a மற்றும் b மெய் எண்கள் எனில், (a − b ) x2 − 6(a + b )x − 9(a −b) = 0 - யின் மூலங்கள் மெய் மற்றும் சமமில்லை என நிரூபிக்கவும்.

5. (c2 − ab) x2 − 2(a2 − bc) x +b2 − ac = 0 என்ற சமன்பாட்டில் மூலங்கள் சமம் மற்றும் மெய் எனில், a=0 அல்லது a3 + b3 +c3 = 3abc என நிரூபி.

சிந்தனைக் களம்
கீழ்க்காணும் பல்லுறுப்புக் கோவை முழு வர்க்கமாகுமாறு, விடுபட்ட கட்டங்களை நிரப்புக
(i) x2 + 14 x + 
(ii) x2 + 24 x + 
(iii) p2 + 2qp + 
விடைகள்:
