நிபந்தனைகள், பயன்பாடுகள், தீர்க்கப்பட்ட எடுத்துக்காட்டு கணக்கீடுகள் - டாப்ளர் விளைவு | 10th Science : Chapter 5 : Acoustics
டாப்ளர் விளைவு
வேகமான இயங்கும் இரயில் வண்டியானது, ஓய்வு நிலையிலுள்ள
கேட்குநரை நெருங்கும் போது அதன் ஊதல் ஒலியின் சுருதி அதிகரிப்பது போன்றும்,
கேட்குநரை விட்டு விலகிச் செல்லும் போது ஊதல் ஒலியின் சுருதி
குறைவது போன்று தோன்றும். இந்த அதிர்வெண்ணில் ஏற்படும் தோற்ற மாற்றத்தை முதன்
முதலில் ஆஸ்திரிய நாட்டைச் சார்ந்த கணிதவியலாளரும், இயற்பியலாளருமான
கிறிஸ்டியன் டாப்ளர் (1803 - 1853) கண்டறிந்து விளக்கினார்.
கேட்குநருக்கும் ஒலி மூலத்திற்கும் இடையே சார்பியக்கம் இருக்கும் போது கேட்குநரால்
கேட்கப்படும் ஒலியின் அதிர்வெண்ணிற்கும், ஒலி மூலத்தின்
அதிர்வெண்ணிற்கும் இடையே வேறுபாடு உள்ளதைக் கண்டறிந்தார். இதுவே டாப்ளர் விளைவு
ஆகும். இந்த சார்பியக்கமானது கீழ்க்காணும் வகைகளில் இருக்கலாம்.
(i) கேட்குநர்
நிலையான ஒலி மூலத்தை நோக்கியோ அல்லது விலகியோச் செல்லுதல்
(ii) ஒலி மூலமானது நிலையான
கேட்குநரை நோக்கியோ அல்லது விலகியோச் செல்லுதல்.
(iii) ஒலி மூலமும், கேட்குநரும்
ஒன்றுக்கொன்று நோக்கியோ அல்லது விலகியோச் செல்லுதல்.
(iv) ஒலி மூலமும், கேட்குநரும்
ஓய்வு நிலையில் இருக்கும் போது ஒலி பரவும் ஊடகம் நகருதல்.
வரையறை
ஒலி
மூலத்திற்கும், கேட்குநருக்கும் இடையே சார்பியக்கம் இருக்கும் போது,
கேட்குநரால் கேட்கப்படும் ஒலியின் அதிர்வெண்ணானது, ஒலி மூலத்தின் அதிர்வெண்ணிலிருந்து மாறுவது போல் தோன்றும். இந்நிகழ்வு
டாப்ளர் விளைவு எனப்படும்.
கணக்கீடுகளின் எளிமைக்காக ஒலி பரவும் ஊடகம் ஓய்வு நிலையில் உள்ளதாகக் கருதுவோம். எனவே ஊடகத்தின் திசைவேகம் சுழி ஆகும்.
ஒலி மூலம் S மற்றும் கேட்குநர் L முறையே vs மற்றும் vL மற்றும் திசைவேகத்தில் நகர்வதாகக் கருதுவோம். ஒலி மூலமும், கேட்குநரும் ஒன்றையொன்று நோக்கி நகர்வதாக எடுத்துக் கொள்வோம் (படம் 5.7).
ஒலி மூலத்திற்கும், கேட்குநருக்கும்
இடையேயானத் தொலைவுகுறையும்போது தோற்ற அதிர்வெண்ணானது, உண்மையான
அதிர்வெண்ணை விட அதிகமாக இருக்கும்.

ஒலி மூலத்தின் அதிர்வெண் 'n' எனவும், கேட்குநரால் உணரப்படும் ஒலியின் அதிர்வெண் n' எனவும்
கொள்வோம். அப்படியானால் தோற்ற அதிர்வெண் n' க்கான சமன்பாடு

இங்கு V என்பது குறிப்பிட்ட
ஊடகத்தில் ஒலியின் திசைவேகம் ஆகும். நாம் தற்போது ஒலி மூலம் மற்றும் கேட்குநரின்
இயக்கங்களின் பல்வேறு சாத்தியக் கூறுகளுக்கான சமன்பாடுகளைக் காண்போம். (அட்டவணை 5.2)

ஒலி பரவும் ஊடகமானது (காற்று) W என்ற திசைவேகத்தில்,
ஒலி பரவும் திசையிலேயே நகர்வதாகக் கொள்வோம். இந்நிகழ்வில் ஒலியின்
திசைவேகம் ‘v' ஆனது (V+W) ஆக
மாறுகிறது. அதே போல் ஊடகமானது, ஒலி பரவும் திசைக்கு எதிர்
திசையில் நகருமானால் ஒலியின் திசைவேகம் ‘v' ஆனது (V -
W) ஆக மாறுகிறது.
தீர்க்கப்பட்ட
கணக்கீடுகள்
1. 90 Hz அதிர்வெண்ணை
உடைய ஒலி மூலமானது ஒலியின் திசைவேகத்தில் (1/10) மடங்கு
வேகத்தில் ஓய்வு நிலையில் உள்ள கேட்குநரை அடைகிறது. கேட்குநரால் உணரப்படும்
அதிர்வெண் என்ன?
தீர்வு :
ஓய்வு நிலையில் உள்ள கேட்குநரை நோக்கி, ஒலி மூலம் நகரும்போது, தோற்ற
அதிர்வெண்ணுக்கானச் சமன்பாடு

2. 500 Hz அதிர்வெண்ணை
உடைய ஒலி மூலமானது, 30 மீவி-1 வேகத்தில் கேட்குநரை நோக்கி நகர்கிறது. காற்றில் ஒலியின் வேகம் 330 மீவி-1 எனில் கேட்குநரால் உணரப்படும்
ஒலியின் அதிர்வெண் என்ன?
தீர்வு:
ஓய்வு நிலையில் உள்ள கேட்குநரை நோக்கி, ஒலி மூலம் நகரும்போது, தோற்ற
அதிர்வெண்ணுக்கானச் சமன்பாடு

3. ஒரு ஒலி மூலமானது 50 மீவி-1 திசைவேகத்தில் ஓய்வு நிலையில்
உள்ள கேட்குநரை நோக்கி நகருகிறது. கேட்குநரால் உணரப்படும் ஒலி மூலத்தின்
அதிர்வெண்ணானது 1000 Hz ஆகும். அந்த ஒலி மூலமானது ஓய்வு
நிலையில் உள்ள கேட்குநரை விட்டு விலகிச் செல்லும் போது உணரப்படும் தோற்ற அதிர்வெண்
என்ன? (ஒலியின் திசைவேகம் 330 மீவி-1)

n = 848.48 Hz.
ஒலி மூலத்தின் உண்மையான அதிர்வெண் 848.48 Hz ஆகும். ஒலி
மூலமானது கேட்குநரை விட்டு விலகிச் செல்லும் போது உள்ள தோற்ற அதிர்வெண்ணிற்கானச்
சமன்பாடு.

n = 736.84 Hz.
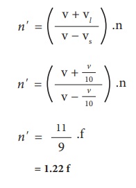
4. ஒலி மூலமும்,
கேட்குநரும் V/10 வேகத்தில் ஒருவரையொருவர்
நோக்கி நகர்கின்றனர். இங்கு V என்பது ஒலியின் வேகம் ஆகும்.
ஒலி மூலத்தில் வெளிப்படும் ஒலியின் அதிர்வெண் 'f' எனில்,
கேட்குநரால் கேட்கப்படும் ஒலியின் அதிர்வெண் என்ன?
தீர்வு:
ஒலி மூலமும், கேட்குநரும் V/10 வேகத்தில் ஒருவரையொருவர் நோக்கி
நகரும்போது, தோற்ற அதிர்வெண்ணானது

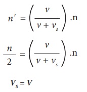
5. கேட்குநரால்
கேட்கப்படும் தோற்ற அதிர்வெண்ணானது உண்மையான அதிர்வெண்ணில் பாதியாக இருக்க
வேண்டுமெனில் ஒலி மூலம் எவ்வளவு வேகத்தில் கேட்குநரை விட்டு விலகிச் செல்ல
வேண்டும்?
தீர்வு:
ஒலி மூலமானது, ஓய்வு நிலையில் உள்ள கேட்குநரை விட்டு விலகிச் செல்லும்போது, தோற்ற அதிர்வெண்ணிற்கான சமன்பாடு.

கீழ்க்காணும் சூழல்களில் டாப்ளர்
விளைவு நடைபெறுவதில்லை மற்றும் கேட்குநரால் கேட்கப்படும் தோற்ற அதிர்வெண்ணானது, ஒலி மூலத்தின்
அதிர்வெண்ணுக்குச் சமமாகவே இருக்கும்.
(i) ஒலி மூலம் (S)
மற்றும் கேட்குநர் (L) இரண்டும் ஓய்வு
நிலையில் இருக்கும் போது.
(ii) ஒலி மூலம் (S) மற்றும்
கேட்குநர் (L) சம இடைவெளியில் நகரும்போது.
(iii) ஒலி மூலம் (S) மற்றும்
கேட்குநர் (L) ஒன்றுக்கொன்று செங்குத்தாக நகரும்போது.
(iv) ஒலிமூலமானது வட்டப்பாதையின் மையப்பகுதியில்
அமைந்து, கேட்குநர் வட்டப்பாதையில் நகரும்போது.
அ. வாகனம்
ஒன்றின் வேகத்தை அளவிடுதல்
காவலரின் காரில்
பொருத்தப்பட்டிருக்கும் கருவி ஒன்று மின் காந்த அலையை உமிழும். இந்த அலையானது
சாலையில் வேகமாக செல்லும் வாகனத்தின் மீது பட்டு எதிரொளிக்கப்படும். எதிரொளித்த
அலையின் அதிர்வெண்ணில் மாற்றம் ஏற்படும். அந்த அதிர்வெண்ணின் மாற்றத்தைப்
பயன்படுத்தி வாகனத்தின் வேகத்தைக் காண இயலும். இது அதிவேக வாகனங்களைக் கண்காணிக்க
உதவுகிறது.
ஆ. துணைக்கோள்
ஒன்றின் தொலைவினைக் கணக்கிடுதல்
துணைக்கோள் ஒன்று புவியிலிருந்து
வெகு தொலைவிற்குச் செல்லும் போது,
அதனால் உமிழப்பட்ட ரேடியோ அலைகளின் அதிர்வெண் குறையும். அந்த
அதிர்வெண்ணின் மாற்றத்தைப் பயன்படுத்தி துணைக்கோளின் இருப்பிடத்தைக் கண்டறியலாம்.
இ. ரேடார் (RADAR - Radio Detection And
Ranging)
ரேடாரானது அதிர்வெண் மிக்க ரேடியோ
அலைகளை ஆகாய விமானத்தை நோக்கி அனுப்பும். எதிரொளித்து வரும் ரேடியோ அலைகளை ரேடார்
நிலையத்தில் உள்ள ஏற்பிக்கண்டறியும் அதிர்வெண்ணில் உள்ள வேறுபாட்டைக் கொண்டு
விமானத்தின் வேகத்தைக் கணக்கிடலாம்.
ஈ. சோனார் (SONAR - Sound Navigation And
Ranging)
சோனார் கருவியின் மூலம் நீரில்
அனுப்பப்பட்ட மற்றும் எதிரொலித்தக் கதிரின் அதிர்வெண் வேறுபாட்டைக் கொண்டு கடல்
வாழ் உயிரினங்கள் மற்றும் நீர் முழ்கிக் கப்பல்களைக் கண்டறியலாம்.