கேள்வி பதில் மற்றும் தீர்வுகள் | பின்னங்கள் | பருவம் 3 அலகு 1 | 6 ஆம் வகுப்பு கணக்கு - பயிற்சி 1.1 | 6th Maths : Term 3 Unit 1 : Fractions
பயிற்சி 1.1
1. கோடிட்ட இடங்களை நிரப்புக
i) 

[விடை : 14(1/4)]
ii) முழு எண் மற்றும் தகு பின்னத்தின் கூடுதல் ______________ எனப்படும்.
[விடை : கலப்பு பின்னம்]
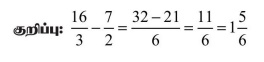
iii) 
[விடை : 1(5/6)]
குறிப்பு : 
iv) 
[விடை : 16]
குறிப்பு : 
v) ________ என்ற எண்ணிற்கு அந்த எண்ணே தலைகீழாக அமையும்.
[விடை : 1]
2. சரியா தவறா எனக் கூறுக.
i) 3
என்பதை 3 +
எனவும் எழுதலாம். [விடை : சரி]
ii) இரண்டு தகு பின்னங்களின் கூடுதல் எப்போதும் தகா பின்னமாக இருக்கும். [விடை : தவறு]
iii)
இன் கலப்பு பின்னம் 3
ஆகும். [விடை : சரி]
iv) தகா பின்னத்தின் தலைகீழ் எப்போதும் ஒரு தகு பின்னமாக இருக்கும். [விடை : சரி]
v)
[விடை : தவறு]
3. பின்வருவனவற்றிற்கு விடையளிக்க.



4. கலப்புப் பின்னத்தைத் தகா பின்னமாக மாற்றுக மற்றும் அவற்றின் நேர்மாறு காண்க.

தீர்வு:

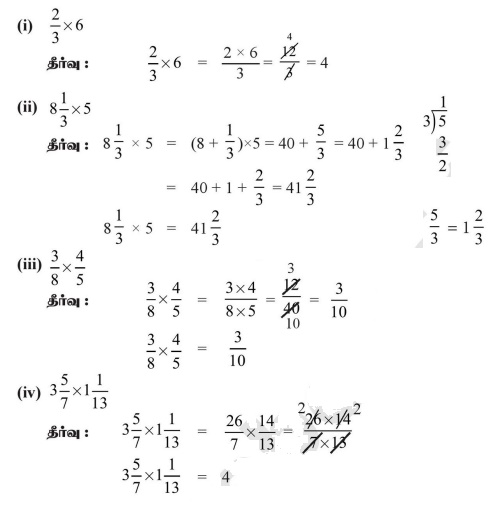
5. பின்வருவனவற்றைப் பெருக்குக.

தீர்வு:

6. பின்வருவனவற்றை வகுக்க.

தீர்வு:

7. கௌரி 3½ கி.கி தக்காளியையும் 3/4 கி.கி கத்தரிக்காயையும் 1 ¼ கி.கி வெங்காயத்தையும் வாங்கினார். அவர் வாங்கிய காய்கறிகளின் மொத்த எடை எவ்வளவு?
தீர்வு:

8. ஒரு தகரப் எண்ணெய் பெட்டியில் 3 ¾ லிட்டர் எண்ணெய் இருந்தது. அதிலிருந்து 2 ½ லிட்டர் எண்ணெய் பயன்படுத்தப்பட்டுவிட்டது எனில், எவ்வளவு எண்ணெய் மீதம் இருக்கும்?
தீர்வு:

9. நிலவன் ஒரு மணி நேரத்தில் 4 ½ கி.மீ நடக்க முடியுமென்றால் அவர் 3½ மணி நேரத்தில் எவ்வளவு தூரத்தைக் கடப்பார்?
தீர்வு:

10. 15¾ மீ நீளமுள்ள திரைச்சீலையை (curtain) ரவி வாங்கினார். அவர் அதை ஒவ்வொன்றும் 2¼ மீ நீளமுள்ள சிறிய திரைச்சீலைகளாக வெட்டினால் அவருக்கு எத்தனைச் சிறிய திரைச்சீலைகள் கிடைக்கும்?
தீர்வு:

கொள்குறி வகை வினாக்கள்
11. பின்வரும் கூற்றில் எது தவறானது?

[விடை : ஈ) 10/11 < 9/10]
குறிப்பு : பகுதி – 1 / அதிக பகுதி > பகுதி – 1 / குறைவான பகுதி
12.
மற்றும்
இக்கும் இடையே உள்ள வேறுபாடு

[விடை : அ) 13/63]
13.
இன் தலைகீழி

[விடை : இ) 17 / 53]
14.
எனில் A இன் மதிப்பு என்ன?
அ) 42
ஆ) 36
இ) 25
ஈ) 48
[விடை : அ) 42]
15. புகழ், தனது கைச் செலவிற்காகத் தன் தந்தையிடமிருந்து பெறும் தொகைக்கு நான்கு வாய்ப்புகள் அளிக்கப்பட்டன. அவர் அதிகப் பணத்தைப் பெற, அவ்வாய்ப்புகளில் எதைத் தேர்ந்தெடுக்க வேண்டும்?

[விடை : இ) ₹150 இல் 4/5]