எண்ணியல் கணக்குகள் பதில்கள் மற்றும் தீர்வுகள் | ஆயத்தொலை வடிவியல் | கணக்கு - பயிற்சி 5.2: இரு புள்ளிகளுக்கு இடைப்பட்ட தொலைவு (Distance between any Two Points) | 9th Maths : UNIT 5 : Coordinate Geometry
பயிற்சி
5.2
1. கீழ்க்காணும்
புள்ளிகளுக்கு இடையே உள்ள தொலைவைக் காண்க.
(i) (1, 2) மற்றும் (4, 3)
(ii) (3,4) மற்றும் ( −7, 2)
(iii) (a, b) மற்றும் (c, b)
(iv) (3, − 9) மற்றும் ( −2, 3)

2. தரப்பட்டுள்ள
புள்ளிகள் ஒரு கோடமையும் புள்ளிகளா என ஆராய்க.
(i) (7, −2),(5,1),(3,4)
(ii) (a, −2), (a,3), (a,0)


3. பின்வரும்
புள்ளிகள் வரிசைப்படி எடுத்துக்கொள்ளப்பட்டால்,
அது ஓர் இரு சமபக்க முக்கோணத்தை அமைக்கும் என நிறுவுக.
(i) A (5,4), B(2,0), C ( −2,3)
(ii) A(6, −4), B( −2, −4), C(2,10)

4. பின்வரும்
புள்ளிகள் வரிசைப்படி எடுத்துக்கொள்ளப்பட்டால்,
அது ஒரு சமபக்க முக்கோணத்தை அமைக்கும் என நிறுவுக.
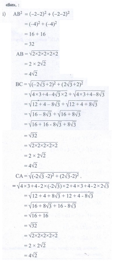
(i) A (2, 2), B( −2, −2), C( −2√ 3,2√3)
(ii) A (√3,2), B (0,1), C(0,3)


5. பின்வரும்
புள்ளிகள் வரிசைப்படி எடுத்துக்கொள்ளப்பட்டால்,
அது ஓர் இணைகரத்தை அமைக்கும் என நிறுவுக.
(i) A ( −3, 1), B( −6, −7), C (3, −9), D(6, −1)
(ii) A ( −7, −3), B(5,10), C(15,8), D(3, −5)

6. பின்வரும்
புள்ளிகள் வரிசைப்படி எடுத்துக்கொள்ளப்பட்டால்,
அது ஒரு சாய்சதுரத்தை அமைக்குமா என ஆராய்க.
(i) A (3, −2), B (7,6),C ( −1,2), D ( −5, −6)
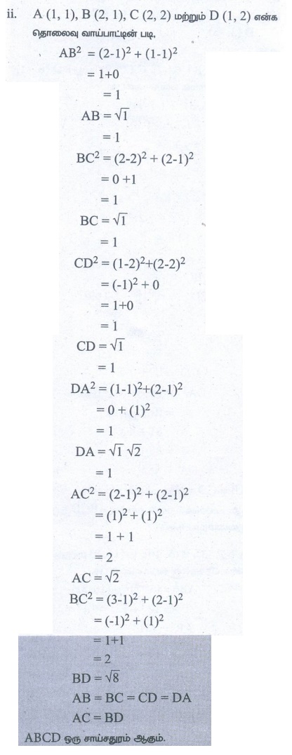
(ii) A (1,1), B(2,1), C (2,2), D(1,2)



7. புள்ளிகள்
A( −1, 1), B(1,3) மற்றும்
C(3, a), மேலும்
AB = BC எனில்
'a' இன்
மதிப்பைக் காண்க.

8. புள்ளி
A இன்
x அச்சுத் தொலைவு அதன் y
அச்சுத் தொலைவிற்குச் சமம். மேலும், B(1, 3) என்ற புள்ளியிலிருந்து அப்புள்ளி A ஆனது 10 அலகு தொலைவில் இருக்கிறது. எனில் A இன் அச்சுத் தொலைவுகளைக் காண்க.

9. புள்ளி
(x, y) ஆனது
புள்ளிகள் (3, 4) மற்றும் ( −5, 6) என்ற புள்ளிகளிலிருந்து சம தொலைவில் இருக்கிறது. x மற்றும் y
இக்கு இடையே உள்ள உறவைக் காண்க.

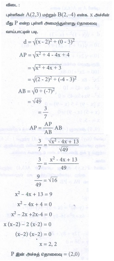
10. புள்ளிகள்
A(2, 3) மற்றும்
B(2, −4) என்க.
x அச்சின்
மீது அமைந்துள்ள புள்ளி P ஆனது AP = 3/7 AB என்ற வகையில் அமைந்துள்ளது எனில், புள்ளி P இன் அச்சுத் தொலைவைக் காண்க.

11. புள்ளிகள்
(1, 2), (3, − 4) மற்றும் (5, −6) இன் வழிச் செல்லும் வட்டத்தின் மையம் (11, 2) என நிறுவுக.

12. ஆதிப் புள்ளியை மையமாக உடைய வட்டத்தின் ஆரம் 30 அலகுகள். அந்த வட்டம் ஆய அச்சுகளை வெட்டும் புள்ளிகளைக் காண்க. இவ்வாறான எந்த இரு புள்ளிகளுக்கும் இடையே உள்ள தொலைவைக் காண்க.
