எண்ணியல் கணக்குகள் பதில்கள் மற்றும் தீர்வுகள் | ஆயத்தொலை வடிவியல் | கணக்கு - பயிற்சி 5.3: ஒரு கோட்டுத்துண்டின் நடுப்புள்ளி (The Mid −point of a Line Segment) | 9th Maths : UNIT 5 : Coordinate Geometry
பயிற்சி
5.3
1. கீழ்க்காணும்
புள்ளிகளை இணைத்து உருவாக்கும் கோட்டுத் துண்டின் நடுப்புள்ளிகளைக் காண்க.
(i) ( −2,3) மற்றும் ( −6, −5)
(ii) (8, −2) மற்றும் ( −8,0)
(iii) (a,b) மற்றும் (a + 2b , 2a
− b)
(iv) (1 / 2 , 3/ 7) மற்றும் (3 / 2 , − 11 / 7)


2. ஒரு
வட்டத்தின் மையம் (−4,2). அந்த வட்டத்தில் (−3,7) என்பது விட்டத்தின் ஒரு முனை எனில், மற்றொரு முனையைக் காண்க.

3. (3,4) மற்றும்
(p,7) ஐ இணைக்கும் கோட்டுத்துண்டின் நடுப்புள்ளி (x,y) ஆனது 2x + 2y
+1 = 0 , இன்
மேல் அமைந்துள்ளது எனில், p இன்
மதிப்பு காண்க?

4. ஒரு
முக்கோணத்தின் பக்கங்களின் நடுப்புள்ளிகள் (2,4), ( −2,3) மற்றும் (5,2) எனில் அந்த முக்கோணத்தின் முனைகளின் ஆயத்தொலைவுகளைக் காண்க.

5. AB ஐ
ஒரு நாணாக உடைய வட்டத்தின் மையம் O(0,0). இங்கு, புள்ளிகள் A மற்றும் B முறையே (8,6) மற்றும் (10,0) ஆகும். வட்டத்தின் மையத்திலிருந்து நாண் AB − க்கு
வரையப்படும் செங்குத்து OD எனில், OD இன் மையப்புள்ளியின் ஆயத் தொலைவுகளைக் காண்க.

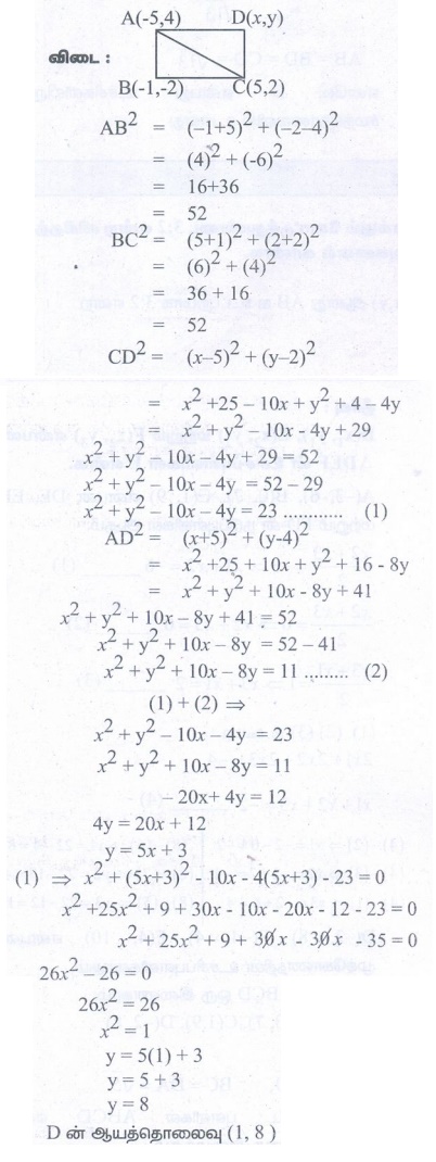
6. புள்ளிகள்
A(−5,4), B( −1, −2) மற்றும்
C(5,2) என்பன
இரு சமபக்கச் செங்கோண முக்கோணத்தின் உச்சிகள், இதில் B இல் செங்கோணம் அமைந்துள்ளது. மேலும் ABCD ஒரு சதுரம் எனில் D இன் ஆயத்தொலைவுகளைக் காண்க.

7. முக்கோணம்
DEF இன்
பக்கங்கள் DE, EF மற்றும் FD களின் நடுப்புள்ளிகள் முறையே A( −3,6) , B(0,7) மற்றும் C(1,9) எனில், நாற்கரம் ABCD ஓர் இணைகரம் என நிறுவுக.

8. A(−3,2), B(3,2) மற்றும் C( −3, −2) என்பன A இல் செங்கோணத்தைக் கொண்டுள்ள செங்கோண முக்கோணத்தின் உச்சிகள் எனில் கர்ணத்தின் நடுப்புள்ளியானது உச்சிகளிலிருந்து சமத் தொலைவில் உள்ளது என்பதை நிறுவுக.
