புத்தக கணக்குகளுக்கான பதில்கள், தீர்வுகள் | கணக்கு - பயிற்சி 8.2: திசைக் கொசைன்கள் மற்றும் திசை விகிதங்கள் (Direction Cosines and Direction Ratios) | 11th Mathematics : UNIT 8 : Vector Algebra I
பயிற்சி 8.2
(1) கீழ்க்காணும் விகிதங்களை திசைக் கொசைன்களாக கொண்டு ஒரு வெக்டர் அமையுமா என சரிபார்க்க.
(i) 1/5, 3/5, 4/5
(ii)1/√2, 1/2, 1/2
(iii) 4/3, 0, 3/4

(2) கொடுக்கப்பட்ட திசை விகிதங்களைக் கொண்ட ஒரு வெக்டரின் திசைக் கொசைன்களைக் காண்க.
(i) 1, 2, 3,
(ii) 3, −1, 3
(iii) 0, 0, 7

(3) கீழ்க்காணும் வெக்டர்களுக்குத் திசைக் கொசைன்கள், மற்றும் திசை விகிதங்களைக் காண்க.


(4) புள்ளிகள் (1, 0, 0), (0, 1, 0) மற்றும் (0, 0, 1) ஆகியவற்றை முனைப்புள்ளிகளாகக் கொண்ட முக்கோணத்தின் நடுக்கோடுகளின் திசைக் கொசைன்களைக் காண்க.

(5) 1/2 ,1/√2 , a ஆகியவை ஒரு வெக்டரின் திசைக்கொசைன்களாயின் a −ன் மதிப்பைக் காண்க.

(6) (a, a + b, a + b+ c) என்பது (1, 0, 0) மற்றும் (0, 1, 0) ஆகியவற்றை இணைக்கும் கோட்டின் திசை விகிதங்கள் எனில், a, b, c −ஐக் காண்க.

(7)
ஆகிய வெக்டர்கள் ஒரு செங்கோண முக்கோணத்தை அமைக்கும் எனக்காட்டுக.

(8)
ஆகிய வெக்டர்கள் இணை எனில், λ−ன் மதிப்பைக் காண்க.

(9) கீழ்க்காணும் வெக்டர்கள் ஒரு தள வெக்டர்கள் எனக் காட்டுக.


(10)
ஆகியவற்றை நிலை வெக்டர்களாகக் கொண்ட புள்ளிகள் ஒரு தளஅமைவன எனக்காட்டுக.

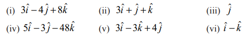
(11)
எனில் கீழ்க்காணும் வெக்டர்களின் எண்ணளவையும் திசைக் கொசைன்களையும் காண்க.


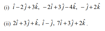
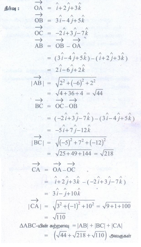
(12)
ஆகியவை ஒரு முக்கோணத்தின் முனைப்புள்ளிகளின் நிலை வெக்டர்கள் எனில், அந்த முக்கோணத்தின் சுற்றளவைக் காண்க.

(13)
என்ற வெக்டருக்கு இணையான அலகு வெக்டரைக் காண்க.

(14) மூன்று புள்ளிகளின் நிலை வெக்டர்கள்
என்ற நிபந்தனையை நிறைவு செய்தால் அப்புள்ளிகள் ஒரே கோட்டில் அமையுமா எனக் கூறுக.

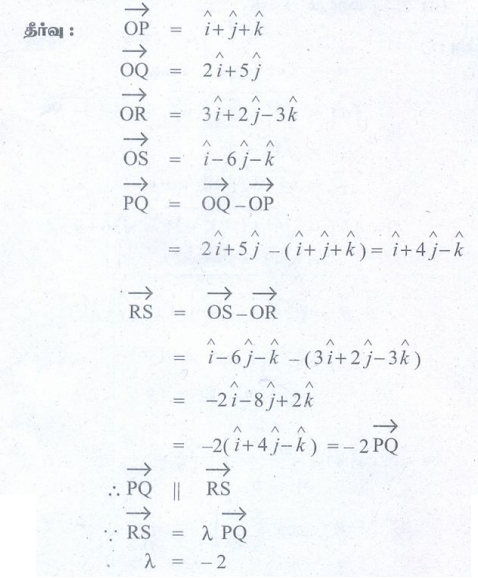
(15) P, Q, R, S என்ற புள்ளிகளின் நிலை வெக்டர்கள் முறையே
மற்றும்
எனில் PQ மற்றும் RS ஆகியவை இணை எனக்காட்டுக.

(16)
ஓர் அலகு வெக்டராயின் m −ன் மதிப்புகளைக் காண்க.

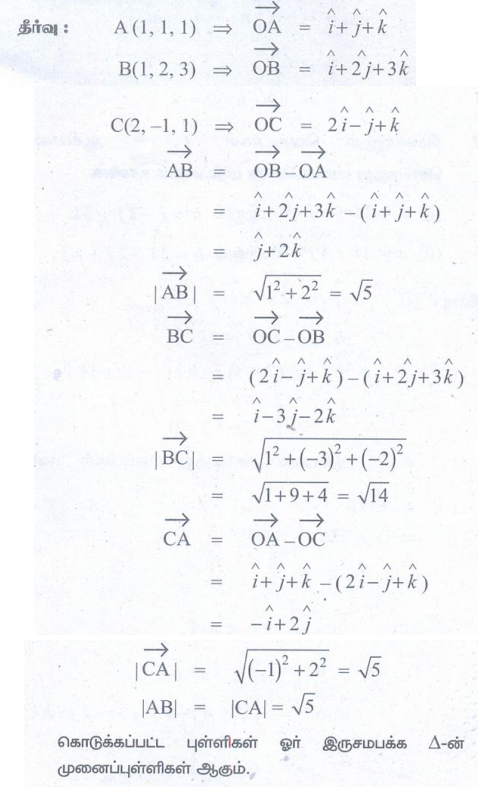
(17) A (1, 1, 1), B(1, 2, 3) மற்றும் C(2, −1, 1) ஆகிய புள்ளிகள் ஓர் இரு சமபக்க முக்கோணத்தின் முனைப்புள்ளிகள் என நிறுவுக.
