புத்தக கணக்குகளுக்கான பதில்கள், தீர்வுகள் | கணக்கு - பயிற்சி 8.4: வெக்டர் பெருக்கம் (Vector product) மற்றும் பண்புகள் | 11th Mathematics : UNIT 8 : Vector Algebra I
பயிற்சி 8.4
(1)
−ன் எண் மதிப்பைக் காண்க.

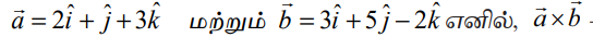
(2)
எனக் காட்டுக.

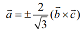
(3)
என்ற வெக்டர்கள் உள்ள தளத்திற்கு செங்குத்தாகவும் எண்ணளவு 10√3 உடைய அலகு வெக்டர்களைக் காண்க.

(4)
ஆகியவற்றிற்கு தனித்தனியாக செங்குத்தாக உள்ள வெக்டர்களைக் காண்க.

(5)
ஆகியவற்றை அடுத்தடுத்த பக்கங்களாக கொண்ட இணைகரத்தின் பரப்பளவைக் காண்க.

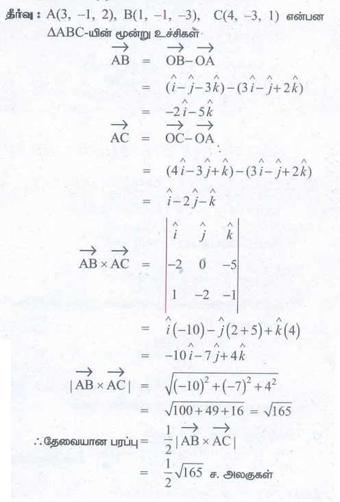
(6) A(3, – 1, 2), B(1, – 1, – 3) மற்றும் C(4, – 3, 1) ஆகியவற்றை உச்சிப்புள்ளிகளாகக் கொண்ட முக்கோணத்தின் பரப்பளவைக் காண்க.

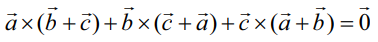
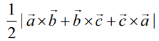
(7) முக்கோணம் ABC−ன் உச்சிப்புள்ளிகள் A, B, C−ன் நிலை வெக்டர்கள் முறையே
எனில், முக்கோணம் ABC−ன் பரப்பளவு
என நிரூபித்து, இதிலிருந்து A, B, C ஆகியவை ஒரே நேர்க்கோட்டிலமைய நிபந்தனையைக் காண்க.

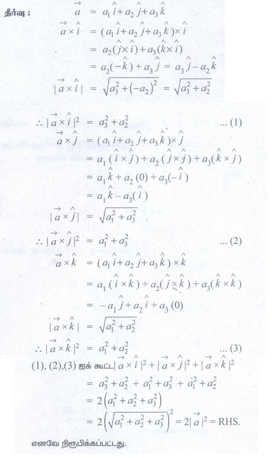
(8) எந்தவொரு வெக்டர்
என நிரூபிக்க.

(9)
என்ற அலகு வெக்டர்களுக்கு
−க்கும் இடைப்பட்ட கோணம் π/3 எனில்,
என நிரூபிக்க.

(10)
ஆகிய வெக்டர்களுக்கு இடைப்பட்ட கோணத்தை வெக்டர் பெருக்கத்தைப் பயன்படுத்திக் காண்க.
