கேள்வி பதில் மற்றும் தீர்வுகள் | பின்னங்கள் | பருவம் 3 அலகு 1 | 6 ஆம் வகுப்பு கணக்கு - பயிற்சி 1.2 | 6th Maths : Term 3 Unit 1 : Fractions
பயிற்சி 1.2
பல்வகைத் திறனறிப் பயிற்சி வினாக்கள்
1. சங்கரி 2½ மீ துணியை முழுப் பாவாடை தைக்கவும் மற்றும் 1¾ மீ துணியை மேல் சட்டை தைக்கவும் வாங்கினார். ஒரு மீட்டர் துணியின் விலை ₹120 எனில் அவர் வாங்கிய துணியின் விலை என்ன?

2. ஒருவர் தன் அலுவலகத்திலிருந்து 5¾ கி.மீ தொலைவிலுள்ள தன் வீட்டிற்கு நடந்து செல்ல விரும்பினார். அவர் 2½ கி.மீ கடந்த பின்னர் அவரது வீட்டை அடைய எவ்வளவு தொலைவு நடந்து செல்ல வேண்டும்?

3. இவற்றில் எது சிறியது :
இக்கும்
இக்கும் இடையே உள்ள வேறுபாடு அல்லது 1½ மற்றும் 2¼ இன் கூடுதல்.

4. மங்கை 6 ¾ கி.கி எடையுள்ள ஆப்பிள்கள் வாங்கினார். கலை, மங்கை வாங்கியது போல் 1½ மடங்கு ஆப்பிள்களை வாங்கினார் எனில், கலை எவ்வளவு கிலோ கிராம் ஆப்பிள்களை வாங்கினார்?

5. மாடிப்படிகளின் மொத்த நீளம் 5½ மீ. அவற்றில் ஒவ்வொரு படியும் ¼ மீ நீளத்தில் அமைக்கப்பட்டால் அந்தப் படிக்கட்டில் எத்தனை படிகள் இருக்கும்?


மேற்சிந்தனைக் கணக்குகள்
6. பின்வரும் குறிப்புகளைப் பயன்படுத்தி நான் யார் எனக் காண்க.
i) என்னுடைய ஒவ்வொரு தொகுதியும் பகுதியும் ஓரிலக்க எண்ணாகும்.
ii) என்னுடைய தொகுதி மற்றும் பகுதியின் கூடுதல் 3 இன் மடங்காகும்.
iii) தொகுதி மற்றும் பகுதிகளின் பெருக்கற்பலன் 4 இன் மடங்காகும்.
தீர்வு :
(i) ஓரிலக்க எண்: (1,1), (1,2), (1,3) ........ (9,8), (9,9);
(ii) தொகுதி மற்றும் பகுதியின் கூடுதல் 3 இன் மடங்கு: (1,2), (1,5), (1,8), (2,1), (2,4), (2,7), (3,3), ...... (9,6);
(x+y) ÷ 3= 0
iii) தொகுதி மற்றும் பகுதிகளின் பெருக்கற்பலன் 4 இன் மடங்கு: (1,8), (4,8), ....
xy ÷ 4 = 0
• எனவே நான் 4/8 & மேலும் பல விடைகள்.
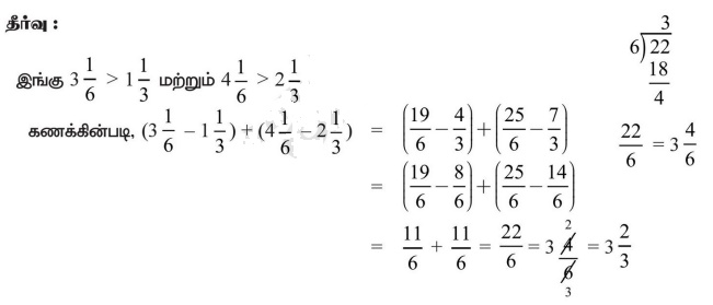
7. 1
இக்கும் 3
இக்கும் இடையே உள்ள வேறுபாட்டையும், 4
இக்கும் 2
இக்கும் இடையே உள்ள வேறுபாட்டையும் கூட்டுக.

8.
என்ற பின்னத்தைப் பெற
என்ற பின்னத்திலிருந்து எந்தப் பின்னத்தைக் கழிக்க வேண்டும்?

9. இரண்டு பின்னங்களின் கூடுதல்
அவற்றில் ஒரு பின்னம்
எனில், மற்றொரு பின்னம் காண்க

10.
என்ற பின்னத்தைப் பெற
என்ற பின்னத்தோடு எந்தப் பின்னத்தைப் பெருக்க வேண்டும்?

11. கழித்தலை அடிப்படையாகக் கொண்ட கீழ்க்கண்ட லீப்னெஸ் (LEIBNITZ) முக்கோணத்தின் ஐந்தாவது வரிசையை நிரப்புக. (குறிப்பு:
)

தீர்வு :
லீப்னெஸ் (LEIBNITZ) முக்கோணத்தின் ஐந்தாவது வரிசை

12. வண்ணம் பூசுபவர் சுவற்றின்
பகுதியை வண்ணம் பூசினார். அதில் மூன்றில் ஒரு பங்கு மஞ்சள் நிற வண்ணம் பூசினார் எனில், மொத்தச் சுவற்றில் மஞ்சள் நிறம் பூசப்பட்ட பகுதியின் பின்னம் என்ன?


13. முயல் தனது உணவை எடுக்க 26
மீ தூரத்தைக் கடக்க வேண்டும். ஒரு தாவலுக்கு 1
மீ தூரத்தைக் கடக்குமானால் தனது உணவை எடுக்க எத்தனை முறை தாவ வேண்டும்?


14. பின்வரும் படத்தைப் பார்த்துக் கேள்விகளுக்குப் பதிலளிக்க.

i) பேருந்து நிறுத்தம் வழியாக, பள்ளியிலிருந்து நூலகத்திற்கு உள்ள தொலைவு என்ன?
ii) மருத்துவமனை வழியாக, பள்ளிக்கும் நூலகத்திற்கும் இடையே உள்ள தொலைவு என்ன?
iii) கேள்வி எண் (i) மற்றும் (ii) இல் மிகக் குறைந்த தொலைவு எது?
iv) பள்ளி மற்றும் மருத்துவமனை இவற்றிற்கு இடையே உள்ள தொலைவு ______________ முறை பள்ளி மற்றும் பேருந்து நிறுத்தம் இவற்றிற்கு இடையே உள்ள தொலைவு ஆகும்.
