பின்னங்கள் | பருவம் 3 அலகு 1 | 6 ஆம் வகுப்பு கணக்கு - தகா பின்னங்கள் மற்றும் கலப்பு பின்னங்கள் | 6th Maths : Term 3 Unit 1 : Fractions
தகா பின்னங்கள் மற்றும் கலப்பு பின்னங்கள்
இந்தச் சூழல் குறித்துச் சிந்திக்க
இனியன், தன்னுடைய காலை உணவிற்காக 5 இட்லிகள் வைத்திருந்தார். அவர் சாப்பிடும் வேளையில் அவருடைய நண்பர் அப்துல் வந்தார். எனவே, அவர் தான் வைத்திருந்த இட்லிகளை அப்துலோடு சரிசமமாகப் பங்கிட்டுக்கொள்ள விரும்பினார். இரண்டு பேரும் 2 முழு இட்லிகளையும், மீதம் இருந்த 1 இட்லியில் ½ ஐயும் எடுத்துக் கொண்டனர்.

அப்படியென்றால், ஒவ்வொருவரும் 2 முழு இட்லிகளையும் ஒரு
இட்லியையும் சாப்பிட்டார்கள். இதை 2 +
= 2 ½ எனக் குறிப்பிடலாம். இவ்வாறு குறிப்பிடுவதைக் கலப்பு பின்னம் என்கிறோம். எனவே கலப்பு பின்னம் என்பது முழு எண் மற்றும் தகுபின்னத்தின் கூடுதல் ஆகும்.
இந்த இட்லிகளை மற்றொரு முறையில் பங்கிட்டுக் கொள்ளும் வழி பின்வருமாறு:
இப்போது, படத்தில் 5 இட்லிகளில் எத்தனை அரை இட்லிகள் உள்ளன? 10 அரை இட்லிகள் உள்ளன.
ஒவ்வொரு முறையும் அவர்கள்
இட்லிகளைப் பகிர்ந்து கொண்டால், இனியன் மற்றும் அப்துல் ஒவ்வொருவரும் 5 அரை இட்லிகளைச் சாப்பிடுவார்கள். அதாவது
+
+
+
+
=
இவ்வாறு குறிப்பிடுவதை தகா பின்னம் என்கிறோம். தகாபின்னத்தில் பகுதியை விடத் தொகுதி பெரியதாக இருக்கும். மேலும் தகா பின்னத்தின் தொகுதியைப் பகுதியால் வகுக்கக் கிடைக்கும் ஈவு மற்றும் மீதியைக் கொண்டு தகா பின்னத்தைக் கலப்பு பின்னமாக எழுதலாம்
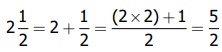
கலப்பு பின்னம் = ஈவு + (மீதி / வகுக்கும் எண்) = ஈவு (மீதி / வகுக்கும் எண்)

இது
இக்குச் சமம். எனவே, எந்த ஒரு கலப்பு பின்னத்தையும் தகா பின்னமாகப் பின்வருமாறு எழுதலாம்.

இவற்றை முயல்க
1. பின்வரும் அட்டவணையை நிறைவு செய்க. உங்களுக்காக முதல் வரிசை நிரப்பப்பட்டுள்ளது.

எடுத்துக்காட்டு 10

சிந்திக்க
i) 5 (2/3)மற்றும் 5 (4/6) ஆகியவை சமமா?
ii) 3/2 ≠ 3 (1/2) ஏன்?
தீர்வு :

எடுத்துக்காட்டு 11

இவற்றை முயல்க
i) 3(1/3) – ஐத் தகா பின்னமாக மாற்றுக.
ii) 45/7 ஐக் கலப்பு பின்னமாக மாற்றுக.
விடை :
