ஒளியியல் | இயற்பியல் - கோளக ஆடிகள் | 12th Physics : UNIT 6 : Ray Optics
கோளக ஆடிகள் (Spherical Mirrors)

நாம் தற்போது கோளக எதிரொளிப்புப் பரப்புகளில்
ஏற்படும் எதிரொளிப்பைப் பற்றி படிக்க உள்ளோம். ஓர் உள்ளீடற்ற கோளத்திலிருந்து வெட்டப்பட்ட
ஒரு பகுதியே கோளகப் பரப்பாகும். கோளக ஆடிகள், பொதுவாகக் கண்ணாடியினால் செய்யப்பட்டவையாகும்.
கண்ணாடியின் ஒரு பரப்பில் வெள்ளி பூசப்பட்டிருக்கும் (silvered), மற்றொரு பரப்பில்
ஒளி எதிரொளிப்பு ஏற்படும். கோளக ஆடியின் குவி பரப்பில் ஒளி எதிரொளிப்பு ஏற்பட்டால்,
அதனைக் குவி ஆடி (convex mirror) என்றும், குழி பரப்பில் ஒளி எதிரொளிப்பு ஏற்பட்டால்,
அதனைக் குழி ஆடி (concave mirror) என்றும் அழைக்கலாம். இவை படம் 6.6இல் காட்டப்பட்டுள்ளன.
கோளக ஆடிகள் சார்ந்த சில துறை சொற்களைப்பற்றி
நாம் தற்போது அறிந்து கொள்ளலாம்.
வளைவு
மையம் (Centre of curvature): கோளக
ஆடி செய்யப்பட்ட கோளத்தின் மையமே, கோளக ஆடியின் வளைவுமையமாகும் (C).
வளைவு
ஆரம் (Radius of Curvature): கோளக ஆடி செய்யப்பட்ட கோளத்தின் ஆரமே, கோளக
ஆடியின் வளைவு ஆரமாகும் (R).
ஆடிமுனை
(Pole): கோளக ஆடிப்பரப்பின் மையப்புள்ளி (அல்லது) கோளக ஆடியின் வடிவியல்
மையம், ஆடிமுனை (P) எனப்படும்.
முதன்மை
அச்சு (Principal axis): ஆடிமுனை மற்றும் வளைவுமையம் ஆகியவற்றை இணைக்கும்
கோட்டிற்கு முதன்மை அச்சு என்று பெயர். முதன்மை அச்சு வழியாகச் சென்று ஆடியில் பட்டு
எதிரொளிக்கும் ஒளிக்கதிர், அதே முதன்மை அச்சு வழியாகவே திரும்பிவரும்.
குவியம்
(அல்லது) குவியப்புள்ளி (Focus (or) Focal Point): முதன்மை
அச்சுக்கு இணையாகச் செல்லும் ஒளிக்கதிர்கள் கோளக ஆடிப்பரப்பில் பட்டு எதிரொளித்த பின்னர்,
குழி ஆடியாக இருப்பின் முதன்மை அச்சின் ஒரு புள்ளியில் குவியும். குவி ஆடியாக இருப்பின்
முதன்மை அச்சின் ஒரு புள்ளியிலிருந்து விரிவடைவது போன்று தோன்றும். இப்புள்ளியே கோளக
ஆடியின் முதன்மைக் குவியம் அல்லது குவியப்புள்ளி (F) ஆகும்.
குவியத்தூரம்
(Focal length): ஆடிமுனைக்கும் முதன்மைக் குவியத்திற்கும் உள்ள
தொலைவிற்குக் குவியத்தூரம் (f) என்று பெயர்
குவியத்தளம்
(Focal plane): குவியம் வழியாக, முதன்மை அச்சுக்குச் செங்குத்தாக
உள்ள தளத்திற்கு ஆடியின் குவியத்தளம் என்று பெயர்.
குவி ஆடி மற்றும் குழி ஆடி இரண்டிற்குமான மேலே
கூறப்பட்ட துறை சொற்கள் படம் 6.7இல் காட்டப்பட்டுள்ளன.

முதன்மை அச்சுக்கு மிக நெருக்கமாகவும், முதன்மை
அச்சோடு மிகச் சிறு கோணத்தில் செல்லும் கதிர்களுக்கு அண்மை அச்சுக்கதிர்கள் என்று பெயர்.
இவை ஆடிமுனைக்கு மிக அருகில் ஆடியில் விழும். இதற்கு மாறாக, முதன்மை அச்சிலிருந்து
வெகு தூரத்தில், செல்லும் கதிர்களுக்கு ஓரக்கதிர்கள் என்று பெயர். இவை இரண்டும் வெவ்வேறு
விதமாகச் செயல்படும் (வெவ்வேறு புள்ளிகளில் குவியமடையும்) இது படம் 6.8இல் காட்டப்பட்டுள்ளது.
இந்த அலகில் நாம் அண்மை அச்சுக்கதிர்களை மட்டும் முக்கியப்படுத்திப் படிக்க உள்ளோம்.
ஏனெனில் இவை முக்கிய அச்சுக்கு மிக அருகிலும், மிகச்சிறிய கோணங்களையே ஏற்படுத்துவதால்,
இவை கதிர் ஒளியியலில் கோணங்களின் தோராயமாக்கலுக்குத் துணைபுரியும்.

கோளக ஆடி ஒன்றின் வளைவு மையம் C என்க. முதன்மை
அச்சுக்கு இணையாகச் செல்லும் ஒளிக்கதிர் ஆடியில் M என்ற புள்ளியில் பட்டு எதிரொளித்து
முதன்மைக் குவியம் (F) வழியாகச் செல்லும். இதற்கான வடிவியல் விளக்கம் படம் 6.9இல் காட்டப்பட்டுள்ளது.
M புள்ளியில் ஆடிக்குச் செங்குத்துக்கோடு CM ஆகும். படுகோணம் (i) என்பது எதிரொளிப்பு
கோணத்திற்குச் சமம்.
M புள்ளியிலிருந்து முதன்மை அச்சுக்குச் செங்குத்தாக
வரையப்பட்ட கோடு MP எனில், வடிவியல்படி,
கோணம் ∠MCP = i மற்றும் ∠MFP = 2i
முக்கோணங்கள் ΔMCP மற்றும்
ΔMFP இலிருந்து


PF என்பது குவியத்தூரம் (f) மற்றும் PC என்பது
வளைவு ஆரம் (R). எனவே

சமன்பாடு 6.4, f மற்றும் Rக்கு இடையேயான தொடர்பினைத் தருகின்றது. குவி ஆடிக்கான விளக்கப்படம் 6.9 (ஆ) வில் காட்டப்பட்டுள்ளது.
கோளக ஆடிகளில் தோன்றும் பிம்பங்களை, வரைபடங்களை
அமைத்துக் கண்டறிய முடியும். பிம்பம் ஏற்படும் புள்ளியைக் கண்டறிய, குறைந்தது இரண்டு
கதிர்கள் ஒன்றை ஒன்று சந்திக்க வேண்டும். பிம்பப்புள்ளியைக் கண்டறிய படம் 6.10இல் காட்டியுள்ளவாறு
பின்வரும் கதிர்களில் எவையேனும் இரண்டினைப் பயன்படுத்தலாம்.

(i) முதன்மை அச்சுக்கு இணையாக வரும் கதிர்,
எதிரொளிப்புக்குப்பின்பு முதன்மை குவியத்தின் வழியே வெளியேறும் அல்லது வெளியேறுவது
போன்று தோன்றும் (படம் 6.10(அ)).
(ii) முதன்மைக் குவியம் வழியே செல்லும் அல்லது
செல்வது போன்று தோன்றும் கதிர், எதிரொளிப்புக்குப் பின்பு, முதன்மை அச்சுக்கு இணையாக
வெளியேறும். (படம் 6.10(ஆ)).
(iii) வளைவு மையம் வழியாகச் செல்லும் கதிர்,
எதிரொளிப்புக்குப் பின்பு வளைவு மையம் வழியாகவே செங்குத்துப்படுகதிர் நிலையைப் போன்றே
, வெளியேறும் (படம் 6.10(இ))
(iv) ஆடி முனையில் விழும் கதிர், முதன்மை அச்சை, செங்குத்துக் கோடாகக் கொண்டு, எதிரொளிப்பு விதியின் அடிப்படையில் வெளியேறும் (படம் 6.10(ஈ)).
பிம்பங்களை வரையும் போது, பொருளின் தூரம்
(u), பிம்பத்தின் தூரம் (v), பொருளின் உயரம் (h), பிம்பத்தின் உயரம் (h') குவியத்தூரம்
(f) மற்றும் வளைவு ஆரம் (R) போன்றவற்றை நாம் குறிக்க அல்லது அளக்க நேரிடும். மேற்கண்ட
அளவுகளுக்கிடையேயான தொடர்புகள் அனைத்துச் சூழ்நிலைகளுக்கும் பொருத்தமாக இருக்க வேண்டுமெனில்
அவை ஒரு குறியீட்டு மரபைப் பின்பற்ற வேண்டும். இங்கு நாம் கார்ட்டீசியன் குறியீட்டு
மரபைப் பின்பற்றப் போகிறோம். இம்முறை உலகளாவப் பின்பற்றப்படும் ஒரு குறியீட்டு மரபு
முறையாகும். கார்ட்டீசியன் குறியீட்டு மரபு படம் 6.11இல் காட்டப்பட்டுள்ளது. இக்குறியீட்டு
மரபு பின்வருமாறு.
(i) படும் ஒளியினை, இடப்பக்கத்திலிருந்து வலப்பக்கம்
வருவது போன்று எடுக்க வேண்டும் (அதாவது பொருள் ஆடிக்கு இடப்பக்கமாக இருக்க வேண்டும்)
(ii) அனைத்துத் தொலைவுகளும் ஆடிமுனையிலிருந்துதான்
அளக்கப்பட வேண்டும். (ஆடிமுனையினைத் தொடக்கப் புள்ளியாகக் கருதவேண்டும்)
(iii) ஆடிமுனைக்கு வலப்புறமாக, முதன்மை அச்சுக்கு
இணையாக அளக்கப்படும் தூரத்தை நேர்குறி தூரமாகக் கருதவேண்டும்.
(iv) ஆடிமுனைக்கு இடப்புறமாக , முதன்மை அச்சுக்கு
இணையாக அளக்கப்படும் தூரத்தை, எதிர்குறி தூரமாகக் கருதவேண்டும்.
(v) முதன்மை அச்சுக்குச் செங்குத்தாக, மேல்நோக்கிய
உயரங்களை, நேர்குறி உயரங்களாகக் கருதவேண்டும்.
(vi) முதன்மை அச்சுக்குச் செங்குத்தாக , கீழ்நோக்கிய
உயரங்களை எதிர்குறி உயரங்களாகக் கருத வேண்டும்.

பொருளின் தூரம் (u), பிம்பத்தின் தூரம்
(v) மற்றும் குவியத்தூரம் (f) அல்லது கோளக ஆடியின் வளைவு ஆரம் (R) போன்றவற்றுக்கு இடையேயான
தொடர்பினைக் கொடுக்கும் சமன்பாடே, ஆடிச்சமன்பாடு ஆகும்.
AB என்ற பொருளைக் கருதுக. இப்பொருள், குழி
ஆடி ஒன்றின் முதன்மை அச்சில், வளைவு மையம் Cக்கு அப்பால் வைக்கப்பட்டுள்ளது என்க. இப்பொருளினால்
ஏற்படும் பிம்பம் படம் 6.12இல் காட்டப்பட்டுள்ளது. பொருளின் B புள்ளியிலிருந்து புறப்படும்
மூன்று அண்மை அச்சுக் கதிர்களைக் கருதுக . முதல் அண்மை அச்சுக்கதிர் BD முதன்மை அச்சுக்கு
இணையாகச் சென்று ஆடிமுனை Pக்கு அருகே உள்ள D என்ற புள்ளியில் விழுகிறது. எதிரொளிப்புக்குப்
பின்பு இக்கதிர் முதன்மைக் குவியம் F வழியாகச் செல்கிறது. இரண்டாவது அண்மை அச்சுக்கதிர்
BP, ஆடிமுனை யில் பட்டு PB' வழியே எதிரொளிக்கிறது. மூன்றாவது அண்மை அச்சுக்கதிர்
BC, வளைவு மையம் C வழியே சென்று ஆடியின் E புள்ளியில் எதிரொளித்து வளைவுமையம் C வழியாகவே
வெளியேறும். இம்மூன்று எதிரொளிப்புக் கதிர்களும் B' என்ற புள்ளியில் ஒன்றை ஒன்று வெட்டும்.
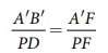
முதன்மை அச்சுக்குச் செங்குத்தாகக் வரையப்படும் A'B' என்பது பொருள் ABன் மெய் மற்றும்
தலைகீழான பிம்பமாகும்.

எதிரொளிப்பு விதியின்படி, படுகோணம் ∠BPA, எதிரொளிப்புக் கோணம் ∠B’PA' க்குச் சமம். முக்கோணங்கள்
ΔBPA மற்றும் ΔBPA'
இரண்டும் ஒத்த முக்கோணங்களாகும். எனவே,

மற்ற ஒத்த முக்கோண இணை ΔDPF மற்றும்
ΔB'A'F
ஆகும். (இங்கு PD கிட்டத்தட்ட நேரான செங்குத்துக் கோடாகும்).

தூரங்கள், PD = AB. எனவே, மேற்கண்ட சமன்பாடு
பின்வருமாறு மாற்றமடையும்,

சமன்பாடுகள் (6.5) மற்றும் (6.6) லிருந்து,

A'F= PA'- PF. எனவே, மேற்கண்ட சமன்பாடு பின்வருமாறு
மாற்றமடையும்.

மேற்கண்ட சமன்பாட்டின் வெவ்வேறு தூரங்களுக்குக்
கார்டீசியன் குறியீட்டு மரபைப் பின்பற்றும்போது
PA =-u,
PA'=-v,
PF = - f
கார்ட்டீசியன் குறியீட்டு மரபின் அடிப்படையில்
மூன்று தூரங்களும் எதிர்குறி மதிப்பைப் பெற்றுள்ளன. ஏனெனில், இவை அனைத்தும் ஆடிமுனைக்கு
இடப்புறமாக அளக்கப்பட்டவைகளாகும். எனவே, சமன்பாடு (6.7) பின்வருமாறு மாற்றமடையும்.

மேற்கண்ட சமன்பாடே ஆடிச்சமன்பாடாகும். இருந்தபோதிலும் சமன்பாடு (6.8), படம் 6.12 விற்கு மட்டுமே உகந்ததாக தோன்றினாலும், இச்சமன்பாடு அனைத்துச் சூழ்நிலைகளுக்கும், எவ்விதமான கோளக ஆடிகளுக்கும் பொருத்தமானதாகும். ஏனெனில், சமன்பாடு (6.7)இல் u,v மற்றும் f க்கு முறையான குறியீட்டு மரபை நாம் பயன்படுத்தி உள்ளோம்.
பிம்பத்தின் உயரத்திற்கும், பொருளின் உயரத்திற்கும்
உள்ள விகிதம், பக்கவாட்டு அல்லது குறுக்கு உருப்பெருக்கம் என வரையறுக்கப்படுகிறது.
பொருளின் உயரம் மற்றும் பிம்பத்தின் உயரம் இரண்டும் முதன்மை அச்சுக்குச் செங்குத்தாக,
முதன்மை அச்சிலிருந்து அளக்கப்பட வேண்டும்.



படம் 6.12இல் இருந்து, நாம் வருவித்த சமன்பாடு
(6.5)ஐ இங்கு பயன்படுத்துக.
A’B' / AB = PA'
/ PA
பொருத்தமான குறியீடுகளைப் பயன்படுத்தும்போது,
A'B' =-h, AB = h, PA' = -v,PA =-u
-h'/h = -v /-u
மேலும் இதனைச் சுருக்கும்போது,

ஆடிச் சமன்பாட்டினைப் பயன்படுத்தி, உருப்பெருக்கச்
சமன்பாட்டினைப் பின்வருமாறும் எழுதலாம்.

மாணவர்கள் 9-ஆம் வகுப்பில் பயின்ற, குழி மற்றும் குவி ஆடிகளைக் கொண்டு பிம்பங்களை
வரையும் முறையை மீள்பார்வை செய்துகொள்ள வேண்டும். அதாவது, பொருளை வெவ்வேறு நிலைகளில்
வைத்து, பிம்பத்தின் நிலை, பிம்பத்தின் தன்மை எவ்வாறு உள்ளது என்பனவற்றைப் புரிந்து
கொள்ளவேண்டும் (9-ஆம் வகுப்பு அறிவியல், அலகு 6 ஒளியியல்).
எடுத்துக்காட்டு
6.3
15.0 cm குவியத்தூரம் கொண்ட குழி ஆடியின் முன்னே
20.0 cm தொலைவில் பொருளொன்று வைக்கப்பட்டுள்ளது.
அ) தெளிவான பிம்பத்தினைப் பெற, குழி ஆடியிலிருந்து
திரையை எவ்வளவு தொலைவில் வைக்க வேண்டும்?
ஆ) பிம்பத்தின் தன்மை என்ன ?
தீர்வு

குழி ஆடியின் இடப்புறத்தில் 60.0 cm தொலைவில்
பிம்பம் தோன்றும். எனவே, திரையினை குழி ஆடிக்கு இடப்புறமாக 60.0 cm தொலைவில் வைக்க
வேண்டும்.

உருப்பெருக்கம் எதிர்குறியில் உள்ளதால், தலைகீழான
பிம்பம் கிடைக்கும்.
உருப்பெருக்கத்தின் எண்மதிப்பு 3. எனவே, பிம்பம்
மூன்று மடங்கு பெரியதாகக் காணப்படும்.
குழி ஆடியின் இடப்புறமாக பிம்பம் தோன்றுவதால்
பிம்பம் மெய்பிம்பமாகும்.
எடுத்துக்காட்டு
6.4
f/3 நீளம் கொண்ட மெல்லிய தண்டு ஒன்று, f குவியத்தூரம்
கொண்ட குழி ஆடியின் முதன்மை அச்சின் மீது அத்தண்டின் நீட்டப்பட்ட மெய்பிம்பத்தைத் தொடும்படி
வைக்கப்பட்டுள்ளது எனில், குழி ஆடியின் நெடுக்கு உருப்பெருக்கத்தைக் காண்க.
தீர்வு

பிம்பத்தின் ஒரு முனை பொருளோடு பொருந்தி உள்ளது. எனவே, பொருந்தியுள்ள முனை கண்டிப்பாக வளைவு மையமாக இருக்க வேண்டும்.

