விவரக்குறிப்பு மற்றும் அருவமாக்கம் | கணினி அறிவியல் - பின்வரும் கேள்விகளுக்கு பதில் அளிக்கவும் | 11th Computer Science : Chapter 6 : Specification and Abstraction
நெறிமுறைசார் சிக்கல் தீர்வு
விவரக்குறிப்பு மற்றும் அருவமாக்கம்
பகுதி – ஆ
குறு வினாக்கள்
1. ஒரு நெறிமுறை வரையறுக்கவும்
விடை: நெறிமுறை என்பது ஒரு
பணியை நிறைவேற்றுவதற்கான அல்லது ஒரு சிக்கலை தீர்க்கப் படிப்படியான வழிமுறைகளின் வரிசை
ஆகும்.
2. ஒரு நெறிமுறை மற்றும் ஒரு செயல்முறையை
வேறுபடுத்துக.
விடை:
ஒரு நெறிமுறை: நெறிமுறை என்பது ஒரு பணியை நிறைவேற்றுவதற்கான
அல்லது ஒரு சிக்கலை தீர்க்கப் படிப்படியான வழிமுறைகளின் வரிசை ஆகும்.
ஒரு செயல்முறை : ஒரு வழிமுறை ஒரு செயலை விவரிக்கிறது. கட்டளைகளை செயல்படுத்தப்படும்போது, ஒரு செயல்முறை உருவாகிறது. இது குறிப்பிட்ட பணியை நிறைவேற்றுகிறது
அல்லது கொடுக்கப்பட்ட சிக்கலை தீர்க்கிறது.
3. தொடக்கத்தில்,
விவசாயி, ஆடு,
புல் கட்டு, ஓநாய்
= L, L, L, L விவசாயி ஆட்டுடன் ஆற்றைக் கடக்கிறார்.
மதிப்பிற்கு கூற்றை பயன்படுத்தி செயல்திட்டம் ஒன்றை
உருவாக்குக.
விடை:
1. -- விவசாயி, ஆடு, புல்கட்டு, ஓநாய் = L, L, L, L
2. விவசாயி, ஆடு: = R, R
3. -- விவசாயி, ஆடு, புல்கட்டு, ஓநாய் = R, R, L, L
4. விவசாயி: = L.
5. விவசாயி, ஆடு, புல்கட்டு, ஓநாய் = L, R, L, L
6. விவசாயி, புல்கட்டு : = R, R
7. -- விவசாயி, ஆடு, புல்கட்டு, ஓநாய் = R, R, R, L
8. விவசாயி, ஆடு := L, L
9. -- விவசாயி, ஆடு, புல்கட்டு, ஓநாய் = L, L, R, L
10. விவசாயி, ஓநாய் : = R, R
11. -- விவசாயி, ஆடு, புல்கட்டு, ஓநாய் = R, L, R, R
12. விவசாயி : = L
13. -- விவசாயி, ஆடு, புல்கட்டு, ஓநாய் = L, L, R, R
14. விவசாயி, ஆடு := R, R -
15. -- விவசாயி, ஆடு, புல்கட்டு, ஓநாய் = R, R, R, R
4. மூன்று எண்களில்,
மிக சிறிய எண்ணை கண்டுபிடிக்க ஒரு செயல்பாட்டை குறிப்பிடவும்.
விடை:
1. மிகச்சிறியது (A, B)
2. -- உள்ளீடு: A மற்றும் B இரண்டும் முழு எண்கள்
3. -- வெளியீடு: A மிகச் சிறியது, A < B
B மிகச் சிறியது, B < A
5. √2
= 1.414 என இருந்தால்,
square_root() செயல்பாட்டின் வெளியிடு
-1.414-ஐ பெறுவதற்கு பின்வருவனவற்றின் பின்விளைவுகளை மீறுவது
எது?
-- square_root (x)
-- inputs: x is a real number, x ≥ 0
-- outputs: y is a real number such that y2=x
விடை: ஆம். அது பின்விளைவுகளை மீறியது.
பகுதி - இ
சிறு வினாக்கள்
1. ஒரு பிரச்சனை சரியான நெறிமுறை என்று
எப்பொழுது கூறுவீர்கள்?
விடை: நாம் பொதுவாக ஒரு
சிக்கலை இயற்கையான நெறிமுறை என்கிறோம். ஏனெனில் அதன் தீர்வு ஒரு படிமுறை கட்டமைப்பாகும். சில வகையான சிக்கல்கள் உடனடியாக
நெறிமுறை என அங்கீகரிக்க முடியும்.
2. ஒரு நெறிமுறை பற்றிய விவரக்குறிப்பின்
வடிவமைப்பு என்ன?
விடை: உள்ளீடுகளின் தேவையான
பண்புகள் P எனவும் மற்றும் விரும்பிய வெளியீடுகளின் பண்புகள் Q எனவும் பின்னர் S-- என நெறிமுறை குறிப்பிடப்பட்டுள்ளது.
1. நெறிமுறை பெயர்(உள்ளீடுகள்)
2. - உள்ளீடுகள் : P
3. -- வெளியீடுகள் : Q
3. அருவமாக்கம் என்றால் என்ன?
விடை:
அருவமாக்கம் :
(i) ஒரு சிக்கல்
நிறைய விவரங்களை உள்ளடக்கியது. ஆனால் ஒரு சிக்கலை தீர்க்க எல்லா விவரங்களும் தேவையில்லை. ஒரு சில விவரங்கள் மட்டுமே போதுமானது.
(ii) தேவையற்ற விவரங்களைப் புறக்கணித்து அல்லது மறைத்து வைத்திருப்பது அதன் முக்கிய பண்புகளை மட்டுமே பயன்படுத்துவது
என்பது அருவமாக்கம் என்று அழைக்கப்படுகிறது.
4. நெறிமுறையின் நிலை எவ்வாறு குறிப்பிடப்படுகின்றது?
விடை:
(i) நிலை என்பது ஒரு முக்கியமான, அடிப்படை அருவமாக்கம் ஆகும்.
(ii) கணக்கீட்டு செயல்முறைகள் நிலைகளை கொண்டது.
(iii) ஒரு கணக்கீட்டு செயல்முறை தொடக்க நிலையில் தொடங்கும்.
(iv) கணக்கீடு நிகழும்போது, அதன் நிலை மாறும். இறுதி நிலையில் ஒரு கணக்கீடு நிறைவு பெறுகிறது.
(v) ஒரு நெறிமுறையில், செயல்முறையின் நிலை, மாறித்தொகுதியால் அருவமாக்கப்படும்.
(vi) ஒரு நெறிமுறையில் ஒரு செயல்முறையின் நிலை என்பது அந்த குறிப்பிட்ட நேரத்தில் மாறிகளின் மதிப்பாகும்.
5. மதிப்பிருத்தல் கூற்றின் வடிவம்
மற்றும் பொருள் யாது?
விடை:
மாறிகளை சேமிக்கும் பெட்டிகளுக்கு பெயரிடப்பட்டுள்ளன. மதிப்பிருந்து கூற்று ஒரு மாறிக்குள்
ஒரு மதிப்பை சேமிக்க பயன்படுத்தப்படுகிறது. செயற்குறியின் இடது பக்கத்தில்
மாறியும் வலது பக்கத்தில் அதன் மதிப்பு எழுதப்பட்டுள்ளது.
Variable : = value
இந்த மதிப்பிலிருந்து செயல்படுத்தப்படும்போது, வலது பக்கத்தின் மதிப்பு இடது
பக்கத்தில் மாறித்தன்மையில் சேமிக்கப்படுகிறது.
m: = 2 மாறி m- ல் மதிப்பு 2 ஐச் சேமிக்கும்.
6. மதிப்பிருத்தல் செயற்குறி மற்றும்
சமநிலை செயற்குறி இடையே
உள்ள வேறுபாடு என்ன?
விடை:

மதிப்பிருத்தல் செயற்குறி
(i) இது ஒரு மாறிக்கு மதிப்பை ஒதுக்க பயன்படுகிறது.
(ii) நிலையான சொல்ல இடதுபுறத்தில் வைக்க முடியாது.
(iii) எ.கா. 1 = x தவறானது
சமநிலை செயற்குறி
(i) இது இரண்டு மதிப்புகளை ஒப்பிடுவதற்கு பயன்படுத்தப்படுகிறது. இரண்டு இருந்தால் அது 1 ஐ வழங்குகிறது.
(ii) நிலையான சொல்லை இடதுபுறத்தில் வைக்கலாம்.
(iii) எ.கா. 1 ===1 செல்லுபடியாகும் மற்றும் 1ஐ வழங்குகிறது.
பகுதி - ஈ
நெடு வினாக்கள்
1. ஒரு நெறிமுறையில் கர்ணம்
(hypotenuse) பற்றிய விவரக் குறிப்புகளை எழுதுங்கள்,
வலது கோண முக்கோணத்தின் இரண்டு குறைந்த பக்கத்தையும்,
மற்றும் வெளியீடு நீளம் மூன்றாம் பக்கத்தையும் காண்க.
விடை:
கர்ணம் (S1, S2)
--- உள்ளீடு: S1 மற்றும் S2 இரண்டும் முழு எண்கள் அல்லது ரியல் என்க.
--- வெளியீடு: l < ரியல் எண்கள் l2 =
S12 + S22
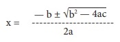
2. ax2 + bx
+ c = 0 எனும் இருபடி சமன்பாடு ஒன்றை நீங்கள் தீர்க்க
வழிமுறை இருபடி சமன்பாடு quadratic_ solve (a, b, c)
-- inputs: ?
-- outputs: ?
இதற்கு தேவையான விவரகுறிப்பை கீழே கொடுக்கப்பட்டுள்ள
வாய்ப்பாட்டின் மூலம் எழுதுக.
x = (- b ± √[b2 - 4ac ] ) / 2a

என்ற சூத்திரத்தை எண் மூலம் பயன்படுத்து பொருத்தமான
குறிப்பை எழுதுங்கள்.
விடை:
Quadratic_solve (a, b, c)
-- உள்ளீடு : a, b, c அனைத்தும் ரியல் எண்கள், a#0
-- வெளியீடு : x என்பது ரியல் எண் இருபடி சமன்பாடு ax2 + bx + c = 0 இது இரண்டு மதிப்புகளை
x1 = ( −b + √[b2−4ac] ) / 2a மற்றும் x2 = ( −b − √[b2−4ac] ) / 2a
3. உள்ளடக்கத்தை இடமாற்றம் செய்யவும்:
A மற்றும் B என்ற மாறிகளை இரண்டு குவளைகளாக
கருதவும். குவளை A-யில் ஆப்பிள் பழச்சாறு முழுவதுமாக உள்ளது மற்றும் குவளை B-யில் திராட்சை பழச்சாறு முழுவதுமாக
உள்ளது. குவளை A மற்றும் B -யில் உள்ள பழச்சாற்றின் நிலையை
இடமாற்றம் செய்ய, தேவையான மாறிகளின் இருத்தி, அதன் நெறிமுறையின் விவரக்குறிப்பை எழுதுக.
விடை:
Exchange (a, b)
-- உள்ளீடு : a, b முழு எண்கள் a ≠ 0, b ≠ 0
-- வெளியீடு : a, b இரண்டும் முழு எண்கள்
t : = a
a : = b
b : = t