பல்வேறு வினாக்களுக்கான கேள்வி பதில்கள் - சரியான விடையை தேர்வு செய்க | 11th Chemistry : UNIT 13 : Hydrocarbons
மதிப்பிடுக
சரியான விடையை தேர்வு செய்க.
1. ஈத்தேனின் மறைத்தல் மற்றும் எதிரெதிர் வச அமைப்புகளை ஒப்பிடும் போது பின்வருவனவற்றுள் சரியானக் கூற்று எது? (NEET)
அ) ஈத்தேனின் மறைத்தல் வச அமைப்பில் முறுக்க திரிபு காணப்படினும் எதிர் எதிர் வச அமைக்பைக் காட்டிலும் மறைத்தல் வச அமைப்பு அதிக நிலைப்புத் தன்மை உடையது.
ஆ) ஈத்தேனின் எதிரெதிர் வச அமைப்பானது மறைத்தல் வச அமைப்பைக்காட்டிலும் அதிக நிலைப்புத்தன்மை உடையது ஏனெனில் எதிரெதிர் அமைப்பில் முறுக்கத் திரிபு ஏதுமில்லை.
இ) ஈத்தேனின் எதிரெதிர் வச அமைப்பானது மறைத்தல் வச அமைப்பினைக் காட்டிலும் குறைவான நிலைப்புத் தன்மை உடையது ஏனெனில் எதிரெதிர் அமைப்பில் முறுக்கத் திரிபு காணப்படுகிறது.
ஈ) ஈத்தேனின் எதிரெதிர் வச அமைப்பானது மறைத்தல் வச அமைப்பினைக் காட்டிலும் குறைவான நிலைப்புத் தன்மை உடையது ஏனெனில் அமைப்பில் முறுக்கத் திரிபு காணப்படுவதில்லை.
[விடை : ஆ) ஈத்தேனின் எதிரெதிர் வச அமைப்பானது மறைத்தல் வச அமைப்பைக்காட்டிலும் அதிக நிலைப்புத்தன்மை உடையது ஏனெனில் எதிரெதிர் அமைப்பில் முறுக்கத் திரிபு ஏதுமில்லை.]
2. C2H5 Br + 2Na
C4H10 + 2NaBr மேற்கண்டுள்ள வினை பின்வரும் எவ்வினைக்கான எடுத்துக்காட்டாகும்?
அ) ரீமர் - டீமன் வினை
ஆ) உர்ட்ஸ் வினை
இ) ஆல்டால் குறுக்க வினை
(ஈ) ஹாஃப்மென் வினை
[விடை : ஆ) உர்ட்ஸ் வினை]
3. (A) என்ற ஆல்கைல் புரோமைடு ஈதரில் உள்ள சோடியத்துடன் வினைபுரிந்து 4,5 -டை எத்தில் ஆக்டேனைத் தருகின்றது (A) என்ற சேர்மமானது.
அ) CH3 (CH2)3 Br
ஆ) CH3 (CH2)5 Br
இ CH3 (CH2)3 CH(Br)CH3

[விடை :
]
4. ஈத்தேனில் C-H பிணைப்பு மற்றும் C-C ஆகிய பிணைப்புகள் முறையே பின்வரும் மேற் பொருந்துதலால் உருவாகின்றது.
அ) sp3 - s மற்றும் sp3 - sp3
ஆ) sp2 – s மற்றும் sp2 – Sp2
இ) sp - sp மற்றும் sp - sp
ஈ) p – s மற்றும் p – p
[விடை : அ) sp3 - s மற்றும் sp3 - sp3]
5. பின் வரும் வினையில்,

அதிக அளவில் பெறப்படும் முதன்மை வினைப்பொருள்

[விடை : இ)]
6. பின்வருவனவற்றுள் ஒளி சுழற்றும் தன்மையுடையது எது?
அ) 2 - மெத்தில் பென்டேன்
ஆ) சிட்ரிக் அமிலம்
இ) கிளிசரால்
ஈ) மேற்கண்டுள்ள எதுவுமில்லை
[விடை : அ) 2 - மெத்தில் பென்டேன்]
7. பொட்டாசியம் அசிட்டேட்டின் நீர்க்கரைசலை மின்னாற்பகுக்கும் போது நேர் மின்வாயில் உருவாகும் சேர்மம்
அ) CH4 மற்றும் H2
ஆ) CH4 மற்றும் CO2
இ) C2H6 மற்றும் CO2
ஈ) C2H4 மற்றும் Cl2
[விடை : இ) C2H6 மற்றும் CO2]
8. சைக்ளோ ஆல்கேன்களின் பொது வாய்பாடு
அ) CnHn
ஆ) CnH2n
இ) CnH2n-2
ஈ) Cn H2n+2
[விடை : ஆ) CnH2n]
9. பின்வருவனவற்றுள் வாயு நிலையில் உள்ள புரோமினுடன் உடனடியாக வினைபுரியும் சேர்மத்தின் வாய்பாடு (NEET)
அ) C3H6
ஆ) C2H2
இ) C4H10
ஈ) C2H4
[விடை : அ) C3H6]
10. பின்வருவனவற்றுள் எந்தச் சேர்மம், HBr உடன் வினைபட்டு அதனை தொடர்ந்து நடைபெறும் நீக்கவினை அல்லது நேரடியான நீக்க வினையின் மூலம் புரப்பீனைத் தராது? (NEET)

ஆ) CH3 – CH2 – CH2 - OH
இ) H2C = C = 0
ஈ) CH3 – CH2 – CH2Br
[விடை : இ) H2C = C = 0]
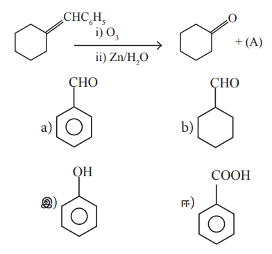
11. பின்வரும் ஆல்கீன்களுள் ஓடுக்க ஓசோனேற்ற வினையின் மூலம் புரப்பனோனை மட்டும் தருவது எது?
அ) 2 - மெத்தில் புரப்பீன்
ஆ) 2- மெத்தில் பியூட் -1- ஈன்
இ) 2,3 - டை மெத்தில் பியூட்-1- ஈன்
ஈ) 2,3 - டைமெத்தில் பியூட் -2- ஈன்
[விடை : ஈ) 2,3 - டைமெத்தில் பியூட் -2- ஈன்]
12. 2- புரோமோ -2- மெத்தில் பியூட்டேனை ஆல்கஹால் கலந்த KOH உடன் வினைப்படுத்தும் போது அதிகஅளவு உருவாகும் முதன்மை விளை பொருள்
அ) 2 - மெத்தில் பியூட் -2 - ஈன்
ஆ) 2 - மெத்தில் பியூட்டன்-1- ஆல்
இ) 2 - மெத்தில் பியூட் - 1 - ஈன்
ஈ) 2 - மெத்தில் பியூட்டன்-2 - ஆல்
[விடை : அ) 2 - மெத்தில் பியூட் -2 – ஈன்]
13. பின்வரும் வினையின் அதிக அளவு உருவாகும் முதன்மை விளைபொருள்

அ) 2- குளோரோ - 1 - அயடோ -2 - மெத்தில் புரப்பேன்
ஆ) 1- குளோரோ -2- அயடோ -2- மெத்தில் புரப்பேன்
இ) 1,2- டை குளோரோ -2- மெத்தில் புரப்பேன்
ஈ) 1,2- டை அயடோ -2 - மெத்தில் புரப்பேன்
[விடை : அ) 2- குளோரோ - 1 - அயடோ -2 - மெத்தில் புரப்பேன்]
14. பின்வரும் சேர்மத்தின் IUPAC பெயர்

அ) டிரான்ஸ் -2- குளோரோ -3- அயடோ -2- பென்டீன்
ஆ) சிஸ் -3- அயடோ -4- குளோரோ -3- பென்டேன்
இ) டிரான்ஸ் -3- அயடோ -4- குளோரோ -3- பென்டீன்
ஈ) சிஸ் -2- குளோரோ 3- அயடோ -2- பென்டீன்
[விடை : அ) டிரான்ஸ் -2- குளோரோ -3- அயடோ -2- பென்டீன்]
15. சிஸ் - 2 - பியூட்டீன் மற்றும் டிரான்ஸ் -2- பியூட்டீன் ஆகியன
அ) வச அமைப்பு மாற்றிங்கள்
ஆ) கட்டமைப்பு மாற்றியங்கள்
இ) புறவெளி மாற்றிங்கள்
ஈ) ஒளி சுழறச்சி மாற்றிங்கள்
[விடை : இ) புறவெளி மாற்றிங்கள்]
16. பின்வரும் வினையில் சேர்மம் (A) ஐக் கண்டறிக

[விடை : அ)]
17.
அ) Zn
ஆ) அடர் H2SO4
இ) ஆல்கஹால் கலந்த. KOH
ஈ) நீர்த்த H2SO4
[விடை : இ) ஆல்கஹால் கலந்த. KOH]
18. அடர் H2 SO4 மற்றும் HNO3 ஆகிய நைட்ரோ ஏற்ற கலவையால் பென்சீன் நைட்ரோ ஏற்றம் அடையும் வினையைக் கருதுக. வினைக்கலவையில் அதிக அளவு KHSO4 சேர்க்கப்படின், நைட்ரோ ஏற்ற வினையின் வேகம்
அ) மாற்றமடையாது
ஆ) இரு மடங்காகும்
இ) அதிகமாகும்
ஈ) குறையும்
[விடை : ஈ) குறையும்]
19. பின்வரும் எம்மூலக்கூறுகளில் அனைத்து அணுக்களும் சமதளத்தில் உள்ளன.

ஈ) அ) மற்றும் ஆ)
[விடை : ஈ)]
20. புரப்பைனை செஞ்சூட்டு நிலையில் உள்ள இரும்புக் குழாயின் வழியே செலுத்தும் போது பெறப்படும்

ஈ) இவை எதுவுமில்லை
[விடை : அ)]
21.

[விடை : ஈ)]
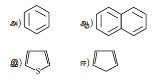
22. பின் வருவனவற்றுள் அரோமேட்டிக் தன்மையை பெற்றிருக்காதது எது?

[விடை : ஈ)]
23. பின்வருவனவற்றுள் எளிதாக ஃபிரீடல் - கிராப்ட் வினையில் ஈடுபடாத சேர்மம் எது? (NEET)
அ) நைட்ரோ பென்சீன்
ஆ) டொலுவீன்
இ) கியூமீன்
ஈ) சைலீன்
[விடை : அ) நைட்ரோ பென்சீன்]
24. மெட்டா ஆற்றுப்படுத்தும் சில தொகுதிகள் கிழே கொடுக்கப்பட்டுள்ளன. அவற்றில் அதிக கிளர்வு நீக்கும் தொகுதி எது?
அ) -COOH
ஆ) – NO2
இ) - C ≡ N
ஈ) – SO3H
[விடை : ஆ) – NO2]
25. பின்வருவனவற்றுள் ஃப்ரீடல் - கிராப்ட் வினையில் ஹேலைடு பகுதிப் பொருளாக பயன்படுவது எது?
அ) குளோரோ பென்சீன்
ஆ) புரோமோ பென்சீன்
இ) குளோரோ ஈத்தேன்
ஈ) ஐசோ புரப்பைல் குளோரைடு
[விடை : ஈ) ஐசோ புரப்பைல் குளோரைடு]
26. சோடியம் புரபியோனேட்டை கார்பாக்சில் நீக்க வினைக்கு உட்படுத்தி ஒரு ஆல்கேன் தயாரிக்கப்படுகிறது. அதே ஆல்கேனை பின்வரும் எம்முறையினைப் பயன்படுத்தி தயாரிக்கலாம்?
அ) வினையூக்கி முன்னிலையில் புரப்பீனின் ஹைட்ரஜனேற்றம்
ஆ) அயடோமீத்தேனுடன் உலோக சோடியத்தின் வினை
இ) 1- குளோரோ புரப்பேன் ஒடுக்கம்
ஈ) புரோமோ மீத்தேனின் ஒடுக்கம்
[விடை : ஆ) அயடோமீத்தேனுடன் உலோக சோடியத்தின் வினை]
27. பின்வருவனவற்றுள் எது அலிபாட்டிக் நிறைவுற்ற ஹைட்ரோகார்பனாகும்.
அ) C8 H18
ஆ) C9 H18
இ) C8 H14
ஈ) இவையனைத்தும்
[விடை : அ) C8 H18]
28. பின்வரும் வினையில் சேர்மம் 'Z' ஐக் கண்டறிக

அ) பார்மால்டிஹைடு
ஆ) அசிட்டால்ஹைடு
இ) பார்மிக் அமிலம்
ஈ) எதுவுமில்லை
[விடை : அ) பார்மால்டிஹைடு]
29. பெராக்ஸைடு விளைவு பின் வருபனவற்றுள் எச்சேர்மத்தில் உணர முடியும்
அ) ஆக்ட் - 4 - ஈன்
ஆ) ஹெக்ஸ் - 3 - ஈன்
இ) பென்ட்- 1 – ஈன்
ஈ) பியூட் - 2 - ஈன்
[விடை : இ) பென்ட்- 1 – ஈன்]
30. 2 - பியூட்டைனின் குளோரினேற்றத்தால் பெறப்படுவது
அ) 1- குளோரோ பியூட்டேன்
ஆ) 1,2 - டைகுளோரோ பியூட்டேன்
இ) 1,1,2,2 - டெட்ரா குளோரோ பியூட்டேன்
ஈ) 2,2,3,3 - டெட்ரா குளோரோ பியூட்டேன்
[விடை : ஈ) 2,2,3,3 - டெட்ரா குளோரோ பியூட்டேன்]