நிகழ்தகவு கோட்பாடு - ஓர் அறிமுகம் (Introduction to Probability Theory) | கணக்கு - பயிற்சி 12.5: சரியான விடையினை தேர்ந்தெடுக்கவும் | 11th Mathematics : UNIT 12 : Introduction to Probability Theory
பயிற்சி 12.5
சரியான அல்லது மிகவும் ஏற்புடைய விடையினை கொடுக்கப்பட்ட நான்கு மாற்று விடைகளிலிருந்து தேர்ந்தெடுக்கவும்.
(1) மூன்று ஆண்கள், இரு பெண்கள் மற்றும் நான்கு குழந்தைகள் உள்ள ஒரு குழுவிலிருந்து சமவாய்ப்பு முறையில் நான்கு நபர்கள் தேர்ந்தெடுக்கப்படுகின்றனர். அவர்களில் சரியாக இருவர் மட்டும் குழந்தைகளாக இருப்பதற்கான நிகழ்தகவு
(1) 3/4
(2) 10/23
(3) 1/2
(4) 10/21

(2) {1,2,3,...,20} என்ற கணத்திலிருந்து ஒரு எண் தேர்ந்தெடுக்கப்படுகிறது. அந்த எண் 3 அல்லது 4 ஆல் வகுபடுவதற்கான நிகழ்தகவு
(1) 2/5
(2) 1/8
(3) 1/2
(4) 2/3

(3) A, B, மற்றும் C தனித்தனியாக ஒரே சமயத்தில் ஒரு இலக்கை நோக்கிச் சுடுகின்றனர். அவர்கள் அந்த இலக்கைச் சுடுவதற்கான நிகழ்தகவுகள் முறையே 3/4, 1/2, 5/8 எனில் A அல்லது B அந்த இலக்கைச் சரியாகச் சுடவும் ஆனால் அந்த இலக்கை C சரியாகச் சுடாமல் இருப்பதற்கான நிகழ்தகவானது
(1) 21/64 (2) 7/32 (3) 9/64 (4) ⅞

(4) A மற்றும் B என்பன இரு நிகழ்ச்சிகள் எனில் சரியாக ஒரு நிகழ்ச்சி நிகழ்வதற்கான நிகழ்தகவானது

(3) P(A) + P(B) - P(A∩B)
(4) P(A) + P(B) + 2P(A∩B)

(5) A மற்றும் B என்பன இரு நிகழ்ச்சிகளுக்கு
எனில் நிகழ்ச்சிகள் A -யும் B -யும்
(1) சமவாய்ப்பு நிகழ்ச்சிகள் ஆனால் சார்பிலா நிகழ்ச்சிகள் அல்ல
(2) சார்பிலா நிகழ்ச்சிகள் ஆனால் சமவாய்ப்பு நிகழ்ச்சிகள் அல்ல
(3) சார்பிலா நிகழ்ச்சிகள் மற்றும் சமவாய்ப்பு நிகழ்ச்சிகள்
(4) ஒன்றையொன்று விலக்கா நிகழ்ச்சிகள் மற்றும் சார்புள்ள நிகழ்ச்சிகள்

(6) நான்கு குறைபாடுள்ள பொருள்களைக் கொண்ட மொத்தம் 12 பொருள்களிலிருந்து இரு பொருள்களைத் தேர்ந்தெடுக்கும்போது அதில் குறைந்தது ஒரு பொருள் குறைபாடு உடையதாக இருப்பதற்கான நிகழ்தகவானது
(1) 19/33
(2) 17/33
(3) 23/33
(4) 13/33

(7) ஒரு நபரின் கைப்பையில் 3 ஐம்பது ரூபாய் நோட்டுகளும், 4 நூறு ரூபாய் நோட்டுகளும் மற்றும் 6 ஐநூறு ரூபாய் நோட்டுகளும் உள்ளன. அவற்றிலிருந்து எடுக்கப்படும் இரு நோட்டுகளும் நூறு ரூபாய் நோட்டுகளாகக் கிடைப்பதற்கான நிகழ்தகவின் சாதக விகிதமானது.
(1) 1:12
(2) 12:1
(3) 13:1
(4) 1:13

(8) ‘ASSISTANT' என்ற சொல்லிலிருந்து சமவாய்ப்பு முறையில் ஒரு எழுத்தும் ‘STATISTICS’. என்ற சொல்லிலிருந்து சமவாய்ப்பில் ஒரு எழுத்தும் தேர்ந்தெடுக்கப்படும்பொழுது அவ்விரு எழுத்துக்களும் ஒரே எழுத்தாக இருப்பதற்கான நிகழ்தகவானது
(1) 7/45
(2) 17/90
(3) 29/90
(4) 19/90

(9) வரிசை 2 உடைய அணிகள் கணத்தில் அணியின் உறுப்புகள் 0 அல்லது 1 மட்டுமே உள்ளது எனில் தேர்ந்தெடுக்கப்படும் அணியின் அணிக்கோவை மதிப்பு பூச்சியமற்றதாகக் கிடைப்பதற்கான நிகழ்தகவு
(1) 3/16
(2) 3/8
(3) 1/4
(4) 5/8

(10) ஒருபையில் 5 வெள்ளை மற்றும் 3 கருப்பு நிறப் பந்துகள் உள்ளன. பையிலிருந்து தொடர்ச்சியாக 5 பந்துகளை மீண்டும் வைக்கப்படாமல் எடுக்கும்போது பந்துக்களின் நிறம் மாறி மாறிக் கிடைப்பதற்கான நிகழ்தகவானது
(1) 3/14
(2) 5/14
(3) 1/14
(4) 9/14

(11) A மற்றும் B ஆகிய இரு நிகழ்ச்சிகள் A ⊂ B மற்றும் P(B) ≠ 0, என இருப்பின் பின்வருவனவற்றுள் எது மெய்யானது?
(1) P(A/ B) = P(A) / P(B)
(2) P(A/B) < P(A)
(3) P(A / B) ≥ P(A)
(4) P(A/B) > P(B)

(12) ஒரு பையில் 6 பச்சை, 2 வெள்ளை மற்றும் 7கருப்பு நிற பந்துகள் உள்ளன. இரு பந்துகள் ஒரே சமயத்தில் எடுக்கும்போது அவை வெவ்வேறு நிறமாக இருப்பதற்கான நிகழ்தகவானது
(1) 68/105
(2) 71/105
(3) 64/105
(4) 73/105

(13) X மற்றும் Y என்ற இரு நிகழ்ச்சிகளுக்கு P(X/Y) = 1/2, P(Y/X) = 1/3, P(X∩Y) = 1/6 எனில் P(X∪Y) -ன் மதிப்பு
(1) 1/3
(2) 2/5
(3) 1/6
(4) 2/3

(14) ஒரு ஜாடியில் 5 சிவப்பு மற்றும் 5 கருப்பு நிற பந்துகள் உள்ளன. ஜாடியிலிருந்து சமவாய்ப்பு முறையில் ஒரு பந்து எடுக்கப்படுகிறது. அதனையும் அதன் நிறமுள்ள மேலும் இரு பந்துகளும் ஜாடியில் மீண்டும் வைக்கப்படுகின்றன. பின்னர் ஜாடியிலிருந்து ஒரு பந்து எடுக்கப்படும்போது அது சிவப்பு நிறப் பந்தாக இருப்பதற்கான நிகழ்தகவானது
(1) 5/12
(2) 1/2
(3) 7/12
(4) 1/4

(15) ஒன்று முதல் நூறு வரையுள்ள இயல் எண்களிலிருந்து சமவாய்ப்பு முறையில் ஒரு எண் x தேர்ந்தெடுக்கப்படுகிறது. ((x-10) (x-50)) / x-30 ≥ 0 என்பதனைப் பூர்த்தி செய்யும் எண்ணைத் தேர்வு செய்யும் நிகழ்ச்சி A எனில், P(A) ஆனது
(1) 0.20
(2) 0.51
(3) 0.71
(4) 0.70

(16) A மற்றும் B என்ற சார்பிலா நிகழ்ச்சிகளுக்கு P(A) = 0.35 மற்றும் P(A∪B) = 0.6, எனில் P(B) ஆனது
(1) 5/13
(2) 1/13
(3) 4/13
(4) 7/13

(17) A மற்றும் B என்ற இரு நிகழ்ச்சிகளுக்கு P(Ā) = 3/10 மற்றும்
, எனில் P(A∩B)-ன் மதிப்பு
(1) 1/2
(2) 1/3
(3) 1/4
(4) 1/5

(18) A மற்றும் B என்ற இரு நிகழ்ச்சிகளுக்கு P(A) = 0.4, P(B) = 0.8 மற்றும் P(B/ A) = 0.6, எனில் P(Ā∩B) -ன் மதிப்பு
(1) 0.96
(2) 0.24
(3) 0.56
(4) 0.66

(19) A, B மற்றும் C என்ற மூன்று நிகழ்ச்சிகளில் ஒன்று மட்டுமே நிகழக்கூடும். A-க்கு சாதகமற்ற விகிதம் 7 -க்கு 4 மற்றும் B -க்கு சாதகமற்ற விகிதம் 5 -க்கு 3 எனில் C -க்குச் சாதகமற்ற விகிதம்
(1) 23: 65
(2) 65: 23
(3) 23: 88
(4) 88:23

(20) a மற்றும் b-ன் மதிப்புகள் {1,2,3,4} என்ற கணத்தில் திரும்பத் திரும்ப வரும் என்ற வகையில் சமவாய்ப்பு முறையில் தேர்ந்தெடுக்கப்பட்டால் x2 + ax + b= 0 என்ற சமன்பாட்டின் மூலங்கள் மெய்யெண்களாக இருப்பதற்கான நிகழ்தகவு
(1) 3/16
(2) 5/16
(3) 7/16
(4) 11/16

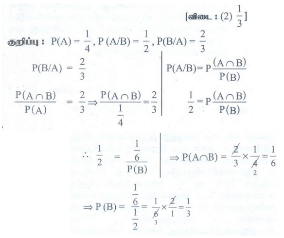
(21) A மற்றும் Bஎன்ற இரு நிகழ்ச்சிகளுக்கு P(A) = ¼, P(A|B) = 1/2 மற்றும் P(B/A) = 2/3 எனில் P(B)-ன் மதிப்பு
(1) 1/6
(2) 1/3
(3) 2/3
(4) 1/2

(22) ஒரு குறிப்பிட்ட கல்லூரியில் 4% மாணவர்கள் மற்றும் 1% மாணவியர்கள் 1.8 மீட்டர் உயரத்திற்கு மேல் உள்ளனர். மேலும் கல்லூரியில் மொத்த எண்ணிக்கையில் 60% மாணவியர்கள் உள்ளனர். சமவாய்ப்பு முறையில் 1.8 மீ உயரத்திற்கு மேல் ஒருவரைத் தேர்ந்தெடுக்கும்போது அவர் மாணவியாக இருப்பதற்கான நிகழ்தகவு
(1) 2/11
(2) 3/11
(3) 5/11
(4) 7/11

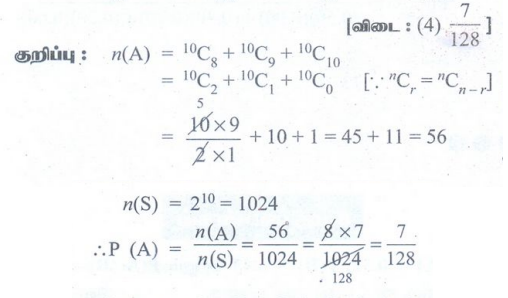
(23) பத்து நாணயங்களைச் சுண்டும்போது குறைந்தது 8 தலைகள் கிடைப்பதற்கான நிகழ்வு
(1) 7/64
(2) 7/32
(3) 7/16
(4) 7/128

(24) A மற்றும் Bஎன்ற இரு நிகழ்ச்சிகள் நிகழ்வதற்கான நிகழ்தகவு முறையே 0.3 மற்றும் 0.6 ஆகும். A மற்றும் Bஒரே சமயத்தில் நிகழ்வதற்கான நிகழ்தகவு 0.18 எனில் A அல்லது Bநிகழாமல் இருப்பதற்கான நிகழ்தகவு
(1) 0.1
(2) 0.72
(3) 0.42
(4) 0.28

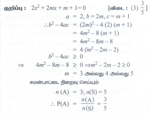
(25) ஒரு எண் m ஆனது m ≤ 5, எனில் இருபடிச் சமன்பாடு 2x2 + 2mx + m + 1 = 0 -ன் மூலங்கள் மெய்யெண்களாக இருப்பதற்கான நிகழ்தகவு
(1) 1/5
(2) 2/5
(3) 3/5
(4) 4/5
