வேதியியல் - திட நிலைமை : சரியான விடையைத் தேர்வு செய்க | 12th Chemistry : UNIT 6 : Solid State
வேதியியல் : திட நிலைமை
I. சரியான விடையைத் தேர்வு செய்க
1. கிராபைட் மற்றும் வைரம் ஆகியன முறையே
அ) சகப்பிணைப்பு மற்றும் மூலக்கூறு படிகங்கள்
ஆ) அயனி மற்றும் சகப்பிணைப்பு படிகங்கள்
இ) இரண்டும் சகப்பிணைப்பு படிகங்கள்
ஈ) இரண்டும் மூலக்கூறு படிகங்கள்
விடை : இ) இரண்டும் சகப்பிணைப்பு படிகங்கள்
2. AxByஅயனிப்படிகம் fcc அமைப்பில் படிக மாகிறது. B அயனிகள் ஒவ்வொரு முகப்பின் மையத்திலும் A அயனியானது கனசதுரத்தின் மையத்திலும் அமைந்துள்ளது. எனில் AxBy ன் சரியான வாய்ப்பாடு
அ) AB
ஆ) AB3
இ) A3B
ஈ) A8B6
விடை : ஆ) AB3
விளக்கம் :
A அயனியின் எண்ணிக்கை = (NC/8) = (8/8) = 1
B அயனியின் எண்ணிக்கை = (Nf/2) = (6/2) = 4
எளிய வாய்பாடு AB3
3. கனசதுர நெருங்கிப் பொதிந்த அமைப்பில், நெருங்கிப் பொதிந்த அணுக்களுக்கும், நான்முகி துளைகளுக்கும் இடையேயான விகிதம்
அ) 1:1
ஆ) 1:2
இ) 2:1
ஈ) 1:4
விடை : ஆ) 1:2
விளக்கம் :
நெருங்கிப் பொதிந்த அணுக்களின் எண்ணிக்கை = N எனில்
நான்முகி துளைகளின் எண்ணிக்கை = 2N
எண்முகி துளைகளின் எண்ணிக்கை = N
எனவே N: 2N=1:2
4. திண்ம CO2 பின்வருவனவற்றுள் எதற்கான ஒரு எடுத்துக்காட்டு
அ) சகப்பிணைப்பு திண்மம்
ஆ) உலோகத் திண்மம்
இ) மூலக்கூறு திண்மம்
ஈ) அயனி திண்மம்
விடை : இ) மூலக்கூறு திண்மம்
விளக்கம் : அணுக்கோவை புள்ளிகளில் CO2 மூலக்கூறுகள் இடம் பெற்றுள்ளன.
5. கூற்று : மோனோ கிளினிக் கந்தகம் என்பது மோனோ கிளினிக் படிக வகைக்கு ஒரு உதாரணம்.
காரணம் : மோனோ கிளினிக் படிக அமைப்பிற்கு a ≠b+≠ மேலும் ɑ = ɤ = 90°, B≠90°
அ) கூற்று மற்றும் காரணம் இரண்டும் சரி மேலும் காரணமானது கூற்றிற்கு சரியான விளக்கமாகும்.
ஆ)கூற்று மற்றும் காரணம் இரண்டும் சரி, ஆனால் காரணமானது கூற்றிற்கு சரியான விளக்கமல்ல
இ) கூற்று சரி ஆனால் காரணம் தவறு
ஈ) கூற்று மற்றும் காரணம் இரண்டும் தவறு
விடை : அ) கூற்று மற்றும் காரணம் இரண்டும் சரி மேலும் காரணமானது கூற்றிற்கு சரியான விளக்கமாகும்.
விளக்கம் : அணுக்கோவை புள்ளிகளில் CO2 மூலக்கூறுகள் இடம் பெற்றுள்ளன.
6. ஃபுளுரைட் வடிவமைப்பைப் பெற்றுள்ள கால்சியம் ஃபுளுரைடில் காணப்படும் Ca2+ மற்றும் Fஅயனிகளின் அணைவு எண்கள் முறையே
அ) 4 மற்றும் 2
ஆ) 6 மற்றும் 6
இ) 8 மற்றும் 4
ஈ) 4 மற்றும் 8
விடை : இ) 8 மற்றும் 4
விளக்கம் : CaF2 கனசதுர நெருங்கி பொதிந்த அமைப்பினைப் பெற்றுள்ளது. CaF2 அயனிகள் முகப்புடைய கனச் சதுர அமைப்பில் இடம் பெற்றுள்ள ஒவ்வொரு Ca2+ அயனிகள் 8 F- அயனிகளாலும் ஒவ்வொரு F- அயனியும் F- அயனிகளாலும் சூழப்பட்டு உள்ளன. எனவே F- அணைவு எண் 4Ca2+ன் அணைவு எண் 8.
7. அணு நிறை 40 உடைய 8g அளவுடைய X என்ற தனிமத்தின் அலகுக் கூடுகளின் எண்ணிக்கை யினைக் கண்டறிக. இத்தனிம் bcc வடிவமைப்பில் படிகமாகிறது.
அ) 6.023 × 1023
ஆ) 6.023 × 1022
இ) (6.023 × 1023
ஈ) (6.023 × 1023 ) / (8 × 40 )
விடை : ஆ) 6.023 × 1022
விளக்கம் :
Bcc அலகுகூட்டில் 2 அணுக்கள் = 1 அலகு கூடு
தனிமத்தில் உள்ள அணுக்களின் எண்ணிக்கை
8g மோல்களின் எண்ணிக்கை = (8g / 40g mol-1) = 0.2 mol
1 மோலில் 6.023 × 1023 அணுக்கள் உள்ளன.
0.2 மோலில் 0.2 × 6.023 × 1023 அணுக்கள்
(1 அலகு கூடு / 2 அணுக்கள்) × ௦.2 × 6.023 × 1023
6.023 × 1022 அணுக்கள் உள்ளன.
8. வைரத்தின் ஒரு அலகு கூட்டில் உள்ள கார்பன் அணுக்களின் எண்ணிக்கை
அ) 8
ஆ) 6
இ)1
ஈ) 4
விடை : அ) 8
விளக்கம் : வைரத்தில் கார்பன் fcc அமைப் பானது, கார்பன் மூலைகளிலும் முகப்பு மையத்திலும் பாதியளவிலான நான்முகி வெற்றிடங்களும் அமைகிறது.
( NC / 8) + (Nf / 2) + 4C நான்முகி துளைகளில் உள்ள அணுக்கள்
(8 / 8) + (6 / 2) +4 = 8
9. ஒரு திண்மத்தின் M என்ற அணுக்கள் ccp அணிக் கோவை புள்ளிகளில் இடம் பெறுகின்றன. மேலும் (1 / 3) பங்கு நான்முகி வெற்றிடங்கள் N என்ற அணு வால் நிரப்பப்பட்டுள்ளது: M மற்றும் N ஆகிய அணுக்களால் உருவாகும் திண்மம்
அ) MN
ஆ) M3N
இ) MN3
ஈ) M3N2
விடை : ஈ) M3N2
விளக்கம் : M அணுக்களின் மொத்த எண்ணிக்கை n எனில்,
நான்முகி வெற்றிடங்களின் எண்ணிக்கை = 2n நான்முகி வெற்றிடங்கள் நிரப்பப்பட்டுள்ளன என கொடுக்கப்பட்டுள்ளது, அதாவது, (1 / 3) ஆனது அணுக்கள் நிரப்பப்பட்டுள்ளது (1 / 3) × 2n
ஃ M : 2 ⇒ n : (2 / 3) n
1 : ( 2 / 3)
3 : 2 ⇒ M3N2
10. ஒரு உர் ஸைட்டின் மாதிரியின் அமைப்பு Fe0.9301.00 இதில் இடம் பெற்றுள்ள இரும்பில் எத்தனை சதவீதம் Fe3+ அயனிகளாக உள்ளது?
அ) 16.05%
ஆ) 15.05%)
இ) 18.05%
ஈ) 17.05%
விடை : ஆ) 15.05%
விளக்கம் : படிகத்தில் காணப்படும் Fe2+ அயனியின் எண்ணிக்கை X என்க. படிகத்தில் காணப்படும் Fe3+ அயனியின் எண்ணிக்கை y என்க.
Fe2+ மற்றும் Fe3+ அயனிகளின் மொத்த எண்ணிக்கை x + y என கொடுக்கப்பட்டு உள்ள து. x + y = 0.93
மொத்த மின்சுமை = 0
x (2+) + (0.93 - x) (+3) -2 = 0
2x + 2.97-3x – 2 = 0
x = 0.79
Fe3+ன் சதவீதம் =( (0.93 – 0.79) / (0.93) )100 = 15.05%
11. A+ மற்றும் B- ஆகியனவற்றின் அயனி ஆர மதிப்புகள் முறையே 0.98 X 10-10m மற்றும் 1.81x1010 ஆகும். AB ல் உள்ள ஒவ்வொரு அயனியின் அணைவு எண்
அ) 8
ஆ) 2
இ) 6
ஈ) 4
விடை : இ) 6
விளக்கம் :

0.414 - 0.732 என்ற இடைவெளி அமைந்துள்ளது. எனவே, ஒவ்வொரு அயனியின் அணைவு எண் 6.
12. CsCl ஆனது bcc வடிவமைப்பினை உடையது. அதன் அலகு கூட்டின் விளிம்பு நீளம் 400pm, அணுக்களுக்கு இடையேயான தொலைவு
அ) 400pm
ஆ) 800pm
இ) ) √3 × 100pm
ஈ) (√3 / 2) × 400pm
விடை : ஈ) (√3 / 2) × 400pm
விளக்கம் :
√3 a = rCs+ + 2rCl- + rCs+
(√3/2) a = ( rCl- + rCs+)
(√3/2) 400 = அயனிகளுக்கிடையேயானத் தொலைவு
13. XY என்ற திண்மம் NaCl வடிவமைப்பினை உடையது. நேர் அயனியின் ஆர மதிப்பு 100pm, எனில், எதிர் அயனியின் ஆர மதிப்பு
அ) (100/0.414)
ஆ) (0.732/100)
இ) 100x0.414
ஈ) (0.414 / 100)
விடை : அ) (100/0.414)
rx+ / ry− = 0.414 அமைப்பிற்கு
rx+ 100pm என கொடுக்கப்பட்டுள்ளது
ry− = 100pm / 0.414
14.bcc அலகு கூட்டில் காணப்படும் வெற்றிடத்தின் சதவீதம்
அ) 48%
ஆ) 23%
இ) 32%
ஈ) 26%
விடை : இ) 32%
விளக்கம் : பொதிவுத் திறன் = 68% எனவே, காலியாக உள்ள வெளியின் சதவீதம் = (100 - 68) = 32%
15. ஒரு அணுவின் ஆர மதிப்பு 300pm, அது முகப்பு மைய கனச்சதுர அமைப்பில் படிகமானால் அலகு கூட்டின் விளிம்பு நீளம்
அ) 488.5pm.
ஆ) 848.5pm
இ) 884.5pm
ஈ) 484.5pm
விடை : ஆ) 848.5pm
விளக்கம் : விளிம்பு நீளம் = a
√2a = 4r
a = 600 × 1.414
a = (√4 × 300 ) / √2
a = 848 .4 pm
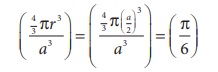
16. எளிய கனசதுர அமைப்பில் மொத்த கனஅளவில் அணுக்களால் அடைத்துக் கொள்ளப்படும் கன அளவின் விகிதம்
அ) (π / 4√2)
ஆ) (π / 6)
இ) (π / 4)
ஈ) (π / 3√2)
விடை : ஆ) (π / 6)
விளக்கம் :

17. NaCl படிகத்தின் மஞ்சள் நிறத்திற்கு காரணம்
அ) F மையத்தில் உள்ள எலக்ட்ரான்கள் கிளர்வுறுதல்
ஆ) புறப்பரப்பில் உள்ள C1- அயனிகளால் ஒளி எதிரொளிக்கப்படுதல்
இ) Na+ அயனிகளால் ஒளி விலகலடைதல்
ஈ) மேற்கண்டுள்ள அனைத்தும்.
விடை : அ) F மையத்தில் உள்ள எலக்ட்ரான்கள் கிளர்வுறுதல்
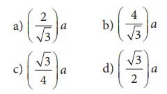
18. Sc, bcc, மற்றும் fcc ஆகிய கனச்சதுர அமைப்புகளின் விளிம்ப, நீளத் தினை 'a' 'எனக் குறிப்பிட்டால் அவ்வமைப்புகளில் காணப்படும் கோளங்களின் ஆரங்களின் விகிதங்கள் முறையே

விடை : இ) (1/2 a : √3/4 a : 1/2√2 a)
விளக்கம் :

19. ஒரு கனச்சதுரத்தின் விளிம்பு நீளம் 'a' எனில் பொருள் மைய கனச்சதுர அமைப்பின் மையத்தில் உள்ள அணுவிற்கும், கனச்சதுரத்தின் ஏதேனும் ஒரு மூலையில் உள்ள ஒரு அணுவிற்கும் இடையே யானத் தொலைவு

விடை : d) (√3/2)a
விளக்கம் :
விளிம்பு நீளம் a எனில் முதன்மை மூலை விட்டத்தின் மதிப்பு √3a
தேவையான தூரம் = (√3 / 2 ) a
20. பொட்டாசியம் (அணு எடை 39gmo1-1) bcc வடிவமைப்பை பெற்றுள்ளது. இதில் நெருங்கி அமைந்துள்ள இரு அடுத்தடுத்த அணுக்களுக்கிடை யேயானத் தொலைவு 4.52A° ஆக உள்ளது. அதன் அடர்த்தி
அ) 915kgm-3
ஆ) 2142kg m-3
இ) 452 kg m-3
ஈ) 390 kg m-3
விடை : அ) 915kgm-3
விளக்கம் :
ρ = n × M / a3NA
bcc
n = 2 M = 39
தொலைவு 2r = 4.52
a = 4r / √ 3 = (2 × 4.52 × 10 -10) / (√3) = 5.21 × 10 -10

21. ஒரு படிகத்தில் ஷாட்கி குறைபாடு பின்வரும் நிலையில் உணரப்படுகிறது
அ) எதிரயனிகளின் எண்ணிக்கை சமமற்று காணப் படுதல். மேலும் அணிக்கோவையில் எதிர் அயனிகள் இடம் பெறாதிருத்தல்.
ஆ) சமமான எண்ணிக்கையில் எதிர் அயனிகள்அணிக்கோவையில் இடம் பெறாதிருத்தல்.
இ) ஒரு அயனி அதன் வழக்கமான இடத்தில் இடம் பெறாமல் அணிக்கோவை இடைவெளியில் இடம் பெறுதல்
ஈ) படிக அணிக்கோவையில் எந்த ஒரு அயனியும் இடம் பெறாத நிலை இல்லாதிருத்தல்.
விடை : ஆ) சமமான எண்ணிக்கையில் எதிர் அயனிகள் அணிக்கோவையில் இடம் பெறாதிருத்தல்.
22. ஒரு படிகத்தின் நேர் அயனி அதன் வழக்கமான இடத்தில் இடம் பெறாமல் படிக அணிக்கோவை இடைவெளியில் இடம் பெற்றிருப்பின், அப்படிக குறைபாடு இவ்வாறு அழைக்கப்படுகிறது.
அ) ஷாட்கி குறைபாடு
ஆ) F - மையம்
இ) பிராங்கல் குறைபாடு
ஈ) வேதி வினைக்கூறு விகிதமற்ற குறைபாடு
விடை : இ) பிராங்கல் குறைபாடு
23. கூற்று : பிராங்கல் குறைபாட்டின் காரணமாக, படிகதிண்மத்தின் அடர்த்தி குறைகிறது.
காரணம் : பிராங்கல் குறைபாட்டில் நேர் மற்றும் எதிர் அயனிகள் படிகத்தை விட்டு வெளியேறு கின்றன.
அ) கூற்றும் மற்றும் காரணம் இரண்டும் சரி, மேலும் காரணமானது கூற்றிற்கு சரியான விளக்கமாகும்
ஆ) கூற்று மற்றும் காரணம் இரண்டும் சரி, ஆனால் காரணமானது கூற்றிற்கு சரியான விளக்கமல்ல
இ) கூற்று சரி ஆனால் காரணம் தவறு
ஈ). கூற்று மற்றும் காரணம் இரண்டும் தவறு
விடை : ஈ) கூற்று மற்றும் காரணம் இரண்டும் தவறு
24. உலோக குறையுள்ள குறைபாடு காணப்படும் படிகம்
அ) NaCl
ஆ) FeO
இ) ZnO
ஈ) kCl
விடை : ஆ) FeO
25. X மற்றும் Y ஆகிய இரு வேறு அணுக்களைக் கொண்ட ஒரு இரு பரிமாண படிகத்தின் அமைப்பு கீழே தரப்பட்டுள்ளது. கருப்பு நிற சதுரம் மற்றும் வெண்மை நிற சதுரம் ஆகியன முறையே X மற்றும் Y அணுக்களைக் குறித்தால், இந்த அலகு கூட்டு அமைப்பின் அடிப்படையில், அச்சேர்மத்தின் எளிய வாய்ப்பாடு.

அ) XY8
ஆ) X4Y9
இ) XY2
ஈ) XY4
விடை : அ) XY8