இயற்பியல் ஆய்வக நடைமுறை பரிசோதனை - சுருள்வில்லின் சுருள் மாறிலியைக் காணல் | 11th Physics : Practical Experiment
சுருள்வில்லின் சுருள் மாறிலியைக் காணல்
நோக்கம்
ஒரு சுருள்வில்லின் சுருள் மாறிலியை செங்குத்து அலைவுகள் மூலம் கணக்கிடல்
தேவையான கருவிகள்
சுருள்வில், தாங்கி, கொக்கி, 50 கிராம் நிறைத்தாங்கி, 50 கிராம் கொண்ட நிறைக்கற்கள், நிறுத்துக் கடிகாரம், மீட்டர் அளவுகோல், குறிமுள்.
வாயப்பாடு
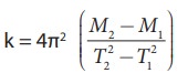
சுருள்வில்லின் சுருள் மாறிலி

இங்கு
M1, M2 → தெரிவு செய்யப்பட்ட நிறைகள் (kg)
T1, T2 → M1, M2 நிறைகளுக்கான அலைவு காலங்கள் (s)
விளக்கப்படம்

செய்முறை
• மரத்தாங்கியில் உள்ள விறைப்பான பற்றுக்கருவியில் இருந்து ஒரு சுருள்வில்லின் மேல்முனை இறுக்கமாக பிணைக்கப்பட்டு செங்குத்தாக தொங்கவிடப்பட்டு அதன் மறுமுனையில் ஒரு நிறைத்தாங்கி இணைக்கப்படுகிறது. ஒரு குறிமுள் சுருள்வில்லின் கீழ்முனையில் இணைக்கப்பட்டு செங்குத்தாக பொருத்தப்பட்டு அளவுகோலில் நகரும் வண்ணம் அமைக்கப்படுகிறது.
• ஒரு குறிப்பிட்ட பளு M (எ.கா: 100g) நிறைத்தாங்கியில் ஏற்றப்படுகிறது. மற்றும் குறிமுள்ளானது ஓய்வுநிலைக்கு வரும்போது அளவுகோலில் உள்ள அளவு குறித்துக்கொள்ளப்படுகிறது. இந்நிலை சமநிலை ஆகும்.
• நிறைத்தாங்கியில் உள்ள நிறை கீழ்நோக்கி இழுக்கப்பட்டு பின் விடப்படுகிறது. எனவே சுருள்வில்லானது சமநிலைப்புள்ளிக்கு இரு புறமும் செங்குத்தாக அலைவுறுகிறது.
• குறிமுள்ளானது சமநிலைப்புள்ளியை கடக்கும்போது ஒரு நிறுத்துக் கடிகாரம் இயக்கப்படுகிறது. மேலும் 10 அலைவுகளுக்கான நேரம் குறிக்கப்படுகிறது. பிறகு அலைவுக்காலம் T ஆனது கணக்கிடப்படுகிறது.
• நிறைத்தாங்கியில் படிப்படியாக 50 கிராம் நிறையை ஏற்றி இச்சோதனையானது மீண்டும் செய்யப்படுகிறது. ஒவ்வொரு நிகழ்விற்கும் அலைவுக்காலம் கணக்கிடப்படுகிறது.
• M1, மற்றும் M2 நிறைகளுக்கு (வேறுபாடு 50 கிராம் உள்ளபோது) T1 , மற்றும் T2 என்பன முறையே அளவுக்காலங்கள் எனில் M2 – M1 / T22 – T12 - இன் மதிப்பு கணக்கிடப்பட்டு அதன் சராசரி மதிப்பு கண்டறியப்படுகிறது.
• கொடுக்கப்பட்ட வாய்ப்பாட்டைப் பயன்படுத்தி சுருள்வில்லின் சுருள் மாறிலி கணக்கிடப்படுகிறது.
காட்சிப்பதிவுகள்

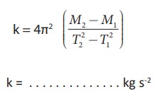
கணக்கீடு
சுருள்வில்லின் சுருள் மாறிலி

முடிவு
கொடுக்கப்பட்ட சுருள்வில்லின் சுருள்மாறிலி k = . . . . . . . . . . . . kg s-2