எண்ணியல் கணக்குகள் பதில்கள் மற்றும் தீர்வுகள் | முக்கோணவியல் | கணக்கு - பயிற்சி 6.2: சில சிறப்புக் கோணங்களின் முக்கோணவியல் விகிதங்கள் (Trigonometric Ratios of Some Special Angles) | 9th Maths : UNIT 6 : Trigonometry
Posted On : 22.09.2023 11:44 pm
9 ஆம் வகுப்பு கணக்கு : அலகு 6 : முக்கோணவியல்
பயிற்சி 6.2: சில சிறப்புக் கோணங்களின் முக்கோணவியல் விகிதங்கள் (Trigonometric Ratios of Some Special Angles)
9 ஆம் வகுப்பு கணக்கு : அலகு 6 : முக்கோணவியல் : புத்தக வினாக்கள், பயிற்சிகள், எடுத்துகாட்டு எண்ணியல் கணக்குகளுடன் பதில்கள் மற்றும் தீர்வுகள் : பயிற்சி 6.2: சில சிறப்புக் கோணங்களின் முக்கோணவியல் விகிதங்கள் (Trigonometric Ratios of Some Special Angles)
பயிற்சி
6.2
1. பின்வரும்
சமன்பாடுகளைச் சரிபார்க்க.
(i) sin2 60° + cos2 60° =1
(ii) 1+tan2 30° = sec2 30°
(iii) cos 90° = 1 − 2sin2 45° = 2cos2 45° − 1
(iv) sin 30° cos 60° + cos 30° sin 60° = sin 90°


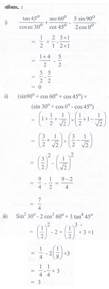
2. கீழ்க்கண்டவற்றின்
மதிப்புகளைக் காண்க.
(i) 
(ii) (sin 90° + cos 60° + cos 45°) × (sin 30° + cos 0° − cos 45°)
(iii) sin2 30° − 2cos3 60° + 3tan 445°

3. A = 30° எனில், cos 3A = 4 cos3A – 3 cos A என்பதைச் சரிப்பார்க்க

4. x=15° எனில், 8sin 2x . cos 4x
. sin 6x இன்
மதிப்பைக் காண்க.

Tags : Numerical Problems with Answers, Solution | Trigonometry | Maths எண்ணியல் கணக்குகள் பதில்கள் மற்றும் தீர்வுகள் | முக்கோணவியல் | கணக்கு.
9th Maths : UNIT 6 : Trigonometry : Exercise 6.2: Trigonometric Ratios of Some Special Angles Numerical Problems with Answers, Solution | Trigonometry | Maths in Tamil : 9th Standard
Tamil Medium School Samacheer Book Back Questions and answers, Important Question with Answer.
9 ஆம் வகுப்பு கணக்கு : அலகு 6 : முக்கோணவியல் : பயிற்சி 6.2: சில சிறப்புக் கோணங்களின் முக்கோணவியல் விகிதங்கள் (Trigonometric Ratios of Some Special Angles) - எண்ணியல் கணக்குகள் பதில்கள் மற்றும் தீர்வுகள் | முக்கோணவியல் | கணக்கு : 9 ஆம் வகுப்பு
புத்தகம் கேள்விகள் மற்றும் பதில்கள்.