எண்ணியல் கணக்குகள் பதில்கள் மற்றும் தீர்வுகள் | முக்கோணவியல் | கணக்கு - பயிற்சி 6.3: நிரப்புக் கோணங்களுக்கான முக்கோணவியல் விகிதங்கள் (Trigonometric Ratios for Complementary Angles) | 9th Maths : UNIT 6 : Trigonometry
Posted On : 23.09.2023 12:13 am
9 ஆம் வகுப்பு கணக்கு : அலகு 6 : முக்கோணவியல்
பயிற்சி 6.3: நிரப்புக் கோணங்களுக்கான முக்கோணவியல் விகிதங்கள் (Trigonometric Ratios for Complementary Angles)
9 ஆம் வகுப்பு கணக்கு : அலகு 6 : முக்கோணவியல் : புத்தக வினாக்கள், பயிற்சிகள், எடுத்துகாட்டு எண்ணியல் கணக்குகளுடன் பதில்கள் மற்றும் தீர்வுகள் : பயிற்சி 6.3: நிரப்புக் கோணங்களுக்கான முக்கோணவியல் விகிதங்கள் (Trigonometric Ratios for Complementary Angles)
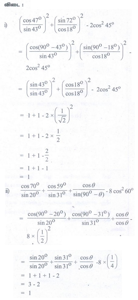
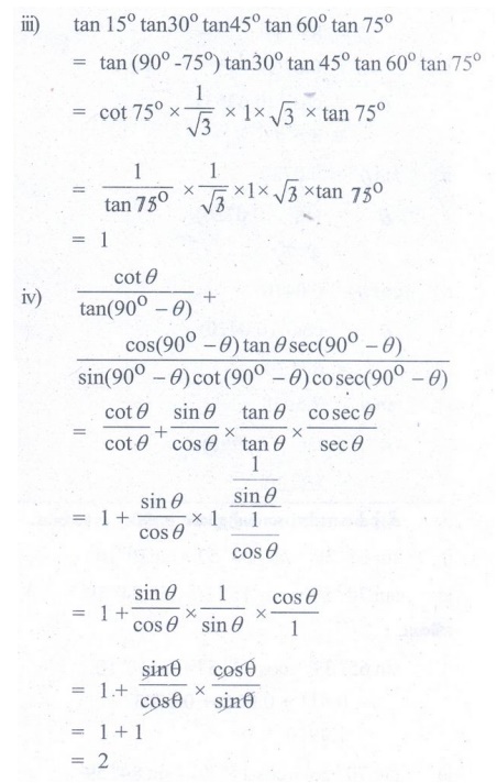
பயிற்சி 6.3
1. கீழ்க்காண்பவற்றின்
மதிப்புகளைக் காண்க.



சிந்தனைக் களம்
(i) sin θ இன் குறைந்தளவு மற்றும் அதிகளவு மதிப்பு எவ்வளவு?
(ii) cos θ இன் குறைந்தளவு மற்றும் அதிகளவு மதிப்பு எவ்வளவு?
Tags : Numerical Problems with Answers, Solution | Trigonometry | Maths எண்ணியல் கணக்குகள் பதில்கள் மற்றும் தீர்வுகள் | முக்கோணவியல் | கணக்கு.
9th Maths : UNIT 6 : Trigonometry : Exercise 6.3: Trigonometric Ratios for Complementary Angles Numerical Problems with Answers, Solution | Trigonometry | Maths in Tamil : 9th Standard
Tamil Medium School Samacheer Book Back Questions and answers, Important Question with Answer.
9 ஆம் வகுப்பு கணக்கு : அலகு 6 : முக்கோணவியல் : பயிற்சி 6.3: நிரப்புக் கோணங்களுக்கான முக்கோணவியல் விகிதங்கள் (Trigonometric Ratios for Complementary Angles) - எண்ணியல் கணக்குகள் பதில்கள் மற்றும் தீர்வுகள் | முக்கோணவியல் | கணக்கு : 9 ஆம் வகுப்பு
புத்தகம் கேள்விகள் மற்றும் பதில்கள்.