புத்தக கணக்குகளுக்கான பதில்கள், தீர்வுகள் | கணக்கு - பயிற்சி 9.3: எல்லைகளின் பயன்பாடு (Applications of limits) | 11th Mathematics : UNIT 9 : Differential Calculus Limits and Continuity
பயிற்சி 9.3
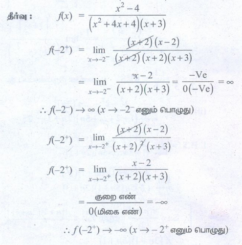
(1) பின்வரும் சார்புகளுக்கு இடப்புற, வலப்புற எல்லைகளின் மதிப்பைக் காண்க.




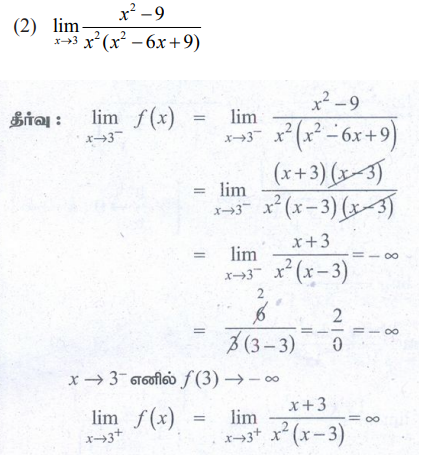
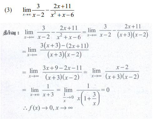
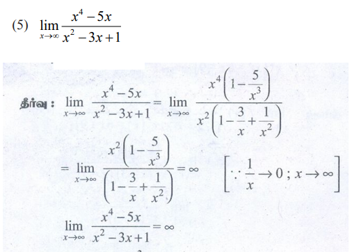
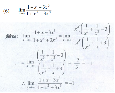
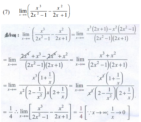
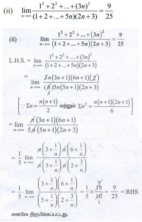
பின்வரும் எல்லைகளின் மதிப்பைக் காண்க :






(8) நிறுவுக



(9) மீன் வள அறிவியலின் முக்கிய பிரச்சனை நீரோடைகளில் உள்ள முட்டையிடத் தகுதியான மீன்களின் எண்ணிக்கையைக் கணக்கிட்டு இந்தத் தகவலைப் பயன்படுத்தி இனப்பெருக்கக் காலத்தில் ஆற்றுக்குள் நுழையும் மீன் பிடிப்புக்குத் தகுந்த மீன்களின் எண்ணிக்கையைக் கணக்கிடுவதாகும். S என்பது முட்டையிடும் நிலையில் உள்ள மீன்களின் எண்ணிக்கை மற்றும் R என்பது மீன் பிடிப்புக்குத் தகுந்த மீன்களின் எண்ணிக்கையாகும். “பிவர்ட்டன் ஹோல்ட்” −ன் இனப்பெருக்கச் சார்பு
இங்கு α, β என்பன மிகை மாறிலிகள். இந்தச் சார்பு இனப்பெருக்க நிலையில் இருக்கும் மீன்களின் எண்ணிக்கை தேவையான அளவு அதிகரிக்கும் போது அறுவடைக்குத் தகுந்த மீன்களின் எண்ணிக்கை தோராயமாக மாறிலியாக அமையும் என நிறுவுக.

(10) ஒரு தொட்டியில் 5000 லிட்டர் நல்ல நீர் உள்ளது என்க. ஒரு லிட்டருக்கு 30 கி அளவு உப்பு கொண்ட உவர் நீர் 25 லி/நிமிடம் என்ற அளவில் தொட்டியில் செலுத்தப்படுகின்றது. t நிமிடங்களில் இந்த உவர் நீரின் அடர்த்தி (கிராம்/லிட்டர்) C(t) = 30t /(200 + t) என தரப்பட்டுள்ளது. t → ∞ எனில் அடர்த்தி எவ்வாறு மாறும்?