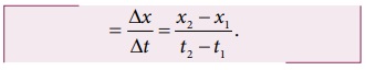
சராசரித் திசைவேகம்
துக்களொன்று ஒரு பரிமாணத்தில் இயங்குகிறது என்க. எடுத்துக்காட்டாக x திசையில் இயங்குகிறது என்று எடுத்துக்கொண்டால் அத்துகளின் சராசரித் திசைவேகம்

சராசரித் திசைவேகம் ஒரு வெக்டர் அளவாகும். ஆனால் ஒரு பரிமாணத்தில், நமக்கு இரண்டு திசைகள் மட்டுமே சாத்தியம் (நேர்க்குறி மற்றும் எதிர்க்குறி x திசை) எனவே திசையினைக் குறிக்க நேர்க்குறி மற்றும் எதிர்க்குறி இரண்டினையும் பயன்படுத்தலாம்.
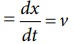
உடனடித் திசைவேகம் அல்லது திசைவேகத்தினைப் பின்வருமாறு வரையறுக்கலாம்.

வரைபடமுறையில், துகளின் இடப்பெயர்ச்சி நேரம் வரைபடத்தின் சாய்வு, துகளின் திசைவேகத்தினைக் கொடுக்கும். அதே நேரத்தில் துகளின் திசைவேகம்- நேரம் வரைப்படத்தின் வளைகோட்டிற்கு கீழே உள்ள பரப்பு இடப்பெயர்ச்சி மற்றும் கடந்த தொலைவினைக் கொடுக்கும். அதனைப் பின்வருமாறு விளக்கலாம்.
நாமறிந்தபடி, திசைவேகம் 
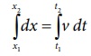
எனவே, dx = vdt என எழுதலாம்.
இரண்டு பக்கமும் தொகைப்படுத்த
எனக்கிடைக்கும்.
முற்பகுதியில் கூறப்பட்டபடி தொகையிடல் என்பது வளைகோட்டிற்கு கீழே உள்ள பரப்பினைக் காண்பதற்குச் சமம். எனவே,
என்ற பதம் திசைவேகம், காலத்தின் சார்பாக உள்ளபோது ஏற்படும் வளைகோட்டிற்கு கீழே உள்ள பரப்பினைக் குறிக்கிறது.
இடதுகைப் பக்கமுள்ள தொகையிடல் t1 நேரத்திலிருந்து t2 நேரத்தில் துகள் அடைந்த இடப்பெயர்ச்சியைக் குறிக்கிறது. திசைவேகம் - நேரம் வளை கோட்டிற்கு கீழே உள்ள பரப்பு துகளின் இடப்பெயர்ச்சியைக் குறிக்கிறது. பரப்பு எதிர்க்குறியாக இருப்பின், இடப்பெயர்ச்சி எதிர்க்குறி ஆகும். எனவே, துகள் எதிர்த்திசையில் செல்கிறது. இது படம் 2.35 இல் காட்டப்பட்டுள்ளது.

தீர்க்கப்பட்ட எடுத்துக்காட்டு கணக்குகள் சராசரித் திசைவேகம்
எடுத்துக்காட்டு 2.25
துகள் ஒன்று x-அச்சுத் திசையில் நகர்கிறது என்க. அவ்வாறு அது நகரும் போது அதன் x - ஆய அச்சு நேரத்தைப் பொருத்து x = 2 - 5t + 6t2 என்ற சமன்பாட்டின்படி மாறுகிறது எனில் துகளின் ஆரம்பத் திசைவேகம் என்ன?
தீர்வு

ஆரம்பத் திசைவேகத்தில் உள்ள எதிர்க்குறி என்பது, பொருளானது ஆரம்பத்தில் எதிர் x - அச்சு திசையில் திசைவேகத்தைக் கொண்டிருந்தது என்று குறிக்கிறது.
துகள் கடந்த மொத்த பாதையின் நீளத்திற்கும், எடுத்துக் கொண்ட நேரத்திற்கும் உள்ள தகவு சராசரி வேகம் எனப்படும்.
