பல்வேறு வினாக்களுக்கான கேள்வி பதில்கள் - சரியான விடையினைத் தேர்வு செய்க | 11th Chemistry : UNIT 14 : Haloalkanes and Haloarenes
மதிப்பீடு
சரியான விடையினைத் தேர்வு செய்க
1.
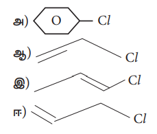
ன் IUPAC பெயர்
அ) 2-புரோமோ பென்ட் - 3 - ஈன்
ஆ) 4-புரோமோ பென்ட் - 2 - ஈன்
இ) 2-புரோமோ பென்ட்- 4 - ஈன்
ஈ) 4-புரோமோ பென்ட்- 1 – ஈன்
[விடை : ஆ) 4-புரோமோ பென்ட் - 2 – ஈன்]
2. பின்வரும் சேர்மங்களில், அதிக கொதிநிலை உடைய சேர்மம் எது?
அ) n-பியூட்டைல் குளோரைடு
ஆ) ஐசோ பியூட்டைல் குளோரைடு
இ) t-பியூட்டைல் குளோரைடு
ஈ) n-புரப்பைல் குளோரைடு.
[விடை : அ) n-பியூட்டைல் குளோரைடு]
3. பின்வரும் சேர்மங்களை அவற்றின் அடர்த்தியின் ஏறுவரிசையில் அமைக்க
A) CCl4
B) CHCl3
C) CH2Cl2
D) CH3Cl
அ) D < C < B < A
ஆ) C > B > A > D
இ) A < B < C < D
ஈ) C > A > B > D
[விடை : அ) D < C < B < A ]
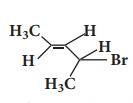
4. Cl அணுவின் இடஅமைவினைப் பொருத்து CH3-CH = CH-CH2 – Cl, சேர்மமானது பின்வருமாறு வகைப்படுத்தப்படுகிறது
அ) வினைல்
ஆ) அல்லைல்
இ) ஈரிணைய
ஈ) அர்அல்கைல்
[விடை : ஆ) அல்லைல்]
5. டை எத்தில் குளோரோ மீத்தேனின் சரியான IUPAC பெயர்
அ) 3 - குளோரோ பென்டேன்
ஆ) 1-குளோரோ பென்டேன்
இ) 1-குளோரோ-1, 1, டை எத்தில் மீத்தேன்
ஈ) 1 -குளோரோ-1-எத்தில் புரப்பேன்.
[விடை : அ) 3 - குளோரோ பென்டேன்]
6. C-X பிணைப்பானது இவற்றில் வலிமையாக உள்ளது
அ) குளோரோ மீத்தேன்
ஆ) அயடோ மீத்தேன்
இ) புரோமோ மீத்தேன்
ஈ) புளுரோ மீத்தேன்
[விடை : ஈ) புளுரோ மீத்தேன்]
7.

[விடை : ஆ)]
8. பின்வரும் சேர்மங்களுள் எச்சேர்மமானது OH- அயனியால் கருக்கவர்பொருள் பதிலீட்டு வினைக்கு உட்படும் போது சுழிமாய்க் கலவையைத் தரும்,

அ) (i)
ஆ) (ii) and (iii)
இ) (iii)
ஈ) (i) and (ii)
[விடை : இ) (iii)]
9. எத்தில் பார்மேட்டை அதிகளவு RMgX உடன் வினைப்படுத்தும் போது பெறப்படுவது

[விடை : இ)]
10. பென்சீன் FeCl3 முன்னிலையில் Cl2 உடன் சூரிய ஒளி இல்லாத நிலையில் வினைபட்டு தருவது
அ) குளோரோ பென்சீன்
ஆ) பென்சைல் குளோரைடு
இ) பென்சால் குளோரைடு
ஈ) பென்சீன் ஹெக்ஸா குளோரைடு
[விடை : அ) குளோரோ பென்சீன்]
11. C2F4Cl2 ன் பெயர் ----------
அ) ஃப்ரீயான் – 112
ஆ) ஃப்ரீயான் - 113
இ) ஃப்ரீயான் – 114
ஈ) ஃப்ரீயான் – 115
[விடை : இ) ஃப்ரீயான் – 114]
12. எத்திலீன் டை குளோரைடை எத்திலிடீன் டை குளோரைடிலிருந்து வேறுபடுத்தி அறிய உதவுவது எது?
அ) Zn / மெத்தனால்
ஆ) KOH / எத்தனால்
இ) நீர்த்த KOH
w) ZnCl2 / அடர் HCl
[விடை : இ) நீர்த்த KOH]
13. நிரல் Iல் தரப்பட்டுள்ள சேர்மங்களை நிரல் IIல் கொடுக்கப்பட்டுள்ள அதன் பயன்களுடன் பொருத்துக.

அ) A → 2 B → 4 C → 1 D → 3
ஆ) A → 3 B → 2 C → 4 D → 1
இ) A → 1 B → 2 C → 3 D → 4
ஈ) A→ 3 B → 1 C → 4 D → 2
[விடை : ஈ) A→ 3 B → 1 C → 4 D → 2]
14. கூற்று: மோனோ ஹேலோ அரீன்களில், எலக்ட்ரான் கவர்பொருள் பதிலீட்டு வினை o- மற்றும் p- இடங்களில் நிகழ்கிறது.
காரணம்: ஹாலஜன் அணுவானது வளைய கிளர்வு நீக்கி
அ) கூற்று மற்றும் காரணம் இரண்டும் சரி. மேலும் காரணமானது கூற்றிற்கு சரியான விளக்கமாகும்.
ஆ) கூற்று மற்றும் காரணம் இரண்டும் சரி. ஆனால் காரணமானது கூற்றிற்கு சரியான விளக்கம் அல்ல.
இ) கூற்று சரி, ஆனால் காரணம் தவறு.
ஈ) கூற்று மற்றும் காரணம் இரண்டும் தவறு.
[விடை : ஆ) கூற்று மற்றும் காரணம் இரண்டும் சரி. ஆனால் காரணமானது கூற்றிற்கு சரியான விளக்கம் அல்ல.]
15. பின்வரும் வினையைக் கருதுக.
CH3CH2 CH2Br + NaCN →
CH3 CH2 CH2 CN + NaBr
இவ்வினை பின்வரும் எவற்றுள் வேகமாக நிகழும்
அ) எத்தனால்
ஆ) மெத்தனால்
இ) DMF (N, N' – டைமெத்தில் பார்மமைடு)
ஈ) நீர்.
[விடை : இ) DMF (N, N' – டைமெத்தில் பார்மமைடு)]
16. டெட்ரா குளோரோ மீத்தேனிலிருந்து ஃப்ரீயான்-12 பெருமளவில் எவ்வினையின் மூலம் தயாரிக்கப்படுகிறது
அ) உர்ட்ஸ் வினை
ஆ) ஸ்வார்ட்ஸ் வினை
இ) ஹேலோபார்ம் வினை
ஈ) காட்டர்மான் வினை
[விடை : ஆ) ஸ்வார்ட்ஸ் வினை]
17. SN1 வினை வழி முறையில் மிகவும் எளிதாக நீராற்பகுப்படையும் மூலக்கூறு
அ) அல்லைல் குளோரைடு
ஆ) எத்தில் குளோரைடு
இ) ஐசோ புரப்பைல் குளோரைடு
ஈ) பென்சைல் குளோரைடு
[விடை : ஈ) பென்சைல் குளோரைடு]
18. SN1 வினையில் மெதுவாக நிகழும் படியில் உருவாகும் கார்பன் நேர் அயனியானது
அ) Sp3 இனக்கலப்படைந்தது
ஆ) Sp2 இனக்கலப்படைந்தது
இ) Sp இனக்கலப்படைந்தது
ஈ) இவை எதுவுமில்லை
[விடை : ஆ) Sp2 இனக்கலப்படைந்தது]
19. குளோரோ பென்சீனை HNO3 ஆல் நைட்ரோ ஏற்றம் அடையச் செய்யும் போது பெருமளவில் உருவாகும் முதன்மை விளைபொருள் H2SO4
அ) 1-குளோரோ-4-நைட்ரோ பென்சீன்
ஆ) 1-குளோரோ-2-நைட்ரோ பென்சீன்
இ) 1-குளோரோ-3-நைட்ரோ பென்சீன்
ஈ) 1-குளோரோ-1-நைட்ரோ பென்சீன்
[விடை : அ) 1-குளோரோ-4-நைட்ரோ பென்சீன்]
20. பின்வருவனவற்றுள் கருக்கவர் பொருள் பதிலீட்டு வினையில் அதிக வினைபுரிவது எது?

[விடை : ஈ)]
21. எத்திலிடீன் குளோரைடை நீர்த்த KOH உடன் வினைப்படுத்தும் போது பெறப்படுவது
அ) அசிட்டால்டிஹைடு
ஆ) எத்திலீன் கிளைக்கால்
இ) பார்மால்டிஹைடு
ஈ) கிளையாக்சால்
[விடை : அ) அசிட்டால்டிஹைடு]
22. ராஷ் முறைக்கான மூலப்பொருள்
அ) குளோரோ பென்சீன்
ஆ) பீனால்
இ) பென்சீன்
ஈ) அனிசோல்
[விடை : இ) பென்சீன்]
23. குளோரோஃபார்ம் நைட்ரிக் அமிலத்துடன் வினைபுரிந்து தருவது
அ) நைட்ரோ டொலுவின்
ஆ) நைட்ரோ கிளிசரின்
இ) குளோரோ பிக்ரின்
ஈ) குளோரோ பிக்ரிக் அமிலம்
[விடை : இ) குளோரோ பிக்ரின்]
24. அசிட்டோன்
X, இங்கு X என்பது
அ) 2-புரப்பனால்
ஆ) 2-மெத்தில்-2-புரப்பனால்
இ) 1-புரப்பனால்
ஈ) அசிட்டோனால்
[விடை : ஆ) 2-மெத்தில்-2-புரப்பனால்]
25. சில்வர் புரப்பியோனேட்டை கார்பன் டெட்ரா குளோரைடில் உள்ள புரோமினுடன் வினைப்படுத்த பெறப்படுவது
அ) புரப்பியோனிக் அமிலம்
ஆ) குளோரோ ஈத்தேன்
இ) புரோமோ ஈத்தேன்
ஈ) குளோரோ புரப்பேன்
[விடை : இ) புரோமோ ஈத்தேன்]