புத்தக கணக்குகளுக்கான பதில்கள், தீர்வுகள் | கணக்கு - பயிற்சி 11.11: விகிதமுறு இயற்கணித சார்பின் தொகையிடல் (வகை III) | 11th Mathematics : UNIT 11 : Integral Calculus
Posted On : 19.02.2024 12:12 am
11 வது கணக்கு : அலகு 11 : தொகை நுண்கணிதம் Integral Calculus
பயிற்சி 11.11: விகிதமுறு இயற்கணித சார்பின் தொகையிடல் (வகை III)
11 வது கணக்கு : அலகு 11 : தொகை நுண்கணிதம் Integral Calculus : பயிற்சி 11.11: விகிதமுறு இயற்கணித சார்பின் தொகையிடல் (வகை III) : பல்வேறு வினாக்களுக்கான பதில்கள் மற்றும் தீர்வுகள்
பயிற்சி 11.11
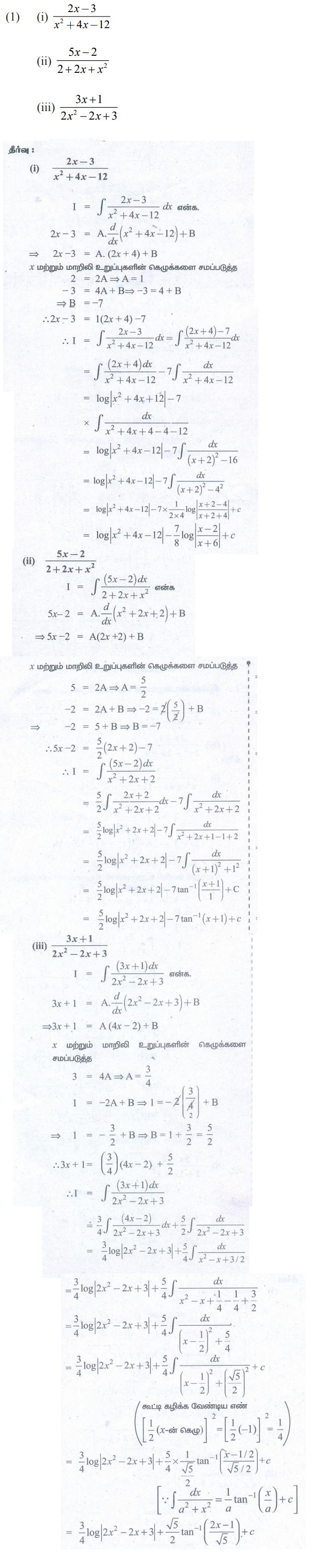
x-ஐப் பொறுத்து கீழ்க்காண்பனவற்றைத் தொகையிடுக.


Tags : Problem Questions with Answer, Solution | Mathematics புத்தக கணக்குகளுக்கான பதில்கள், தீர்வுகள் | கணக்கு.
11th Mathematics : UNIT 11 : Integral Calculus : Exercise 11.11: Integration of Rational Algebraic Functions (Type III) Problem Questions with Answer, Solution | Mathematics in Tamil : 11th Standard
Tamil Medium School Samacheer Book Back Questions and answers, Important Question with Answer.
11 வது கணக்கு : அலகு 11 : தொகை நுண்கணிதம் Integral Calculus : பயிற்சி 11.11: விகிதமுறு இயற்கணித சார்பின் தொகையிடல் (வகை III) - புத்தக கணக்குகளுக்கான பதில்கள், தீர்வுகள் | கணக்கு : 11 ஆம் வகுப்பு
புத்தகம் கேள்விகள் மற்றும் பதில்கள்.