தொகை நுண்கணிதம் Integral Calculus | கணக்கு - பயிற்சி 11.13: சரியான விடையினை தேர்ந்தெடுக்கவும் | 11th Mathematics : UNIT 11 : Integral Calculus
Posted On : 19.02.2024 02:03 am
11 வது கணக்கு : அலகு 11 : தொகை நுண்கணிதம் Integral Calculus
பயிற்சி 11.13: சரியான விடையினை தேர்ந்தெடுக்கவும்
11 வது கணக்கு : அலகு 11 : தொகை நுண்கணிதம் Integral Calculus : பயிற்சி 11.13: சரியான விடையினை தேர்ந்தெடுக்கவும் : பல்வேறு வினாக்களுக்கான பதில்கள் மற்றும் தீர்வுகள்
பயிற்சி 11.13
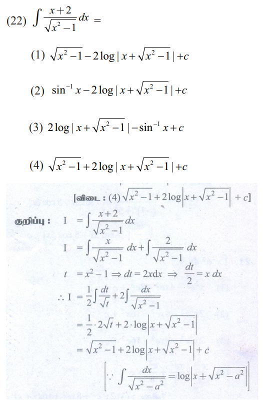
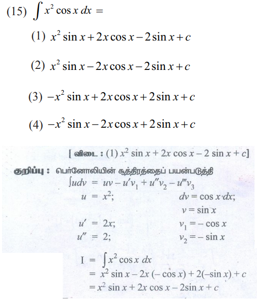
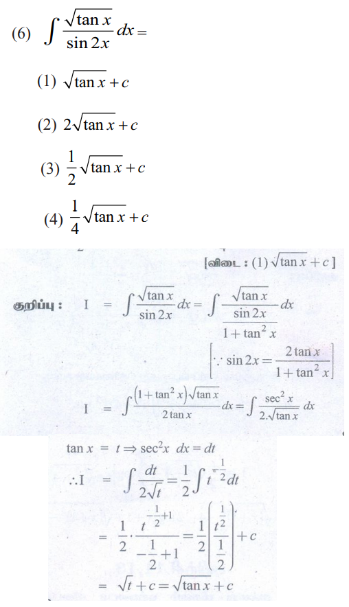
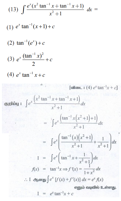
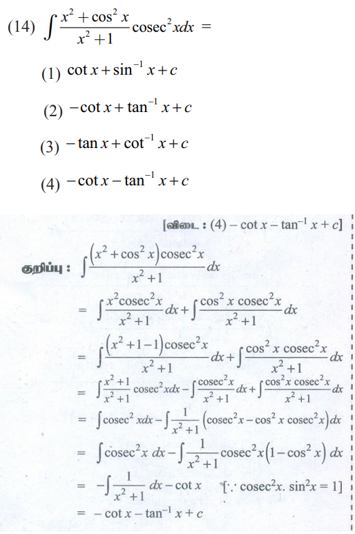
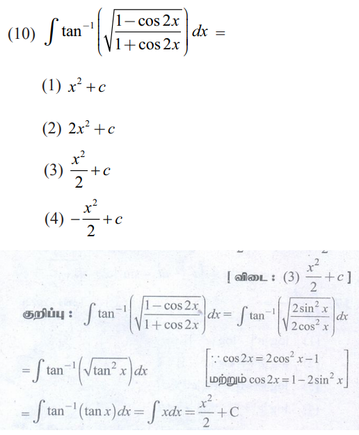
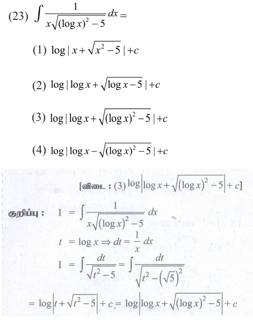
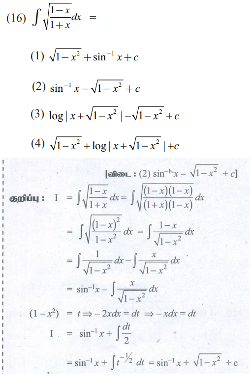
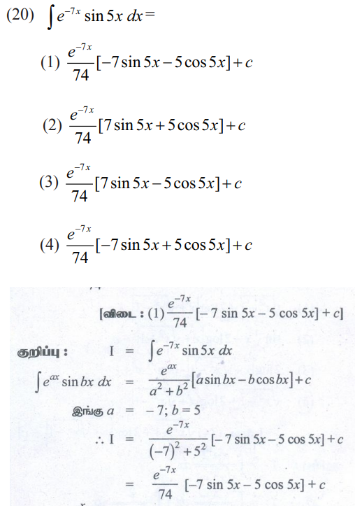
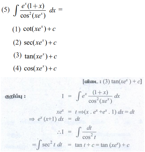
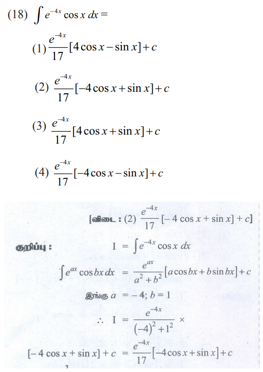
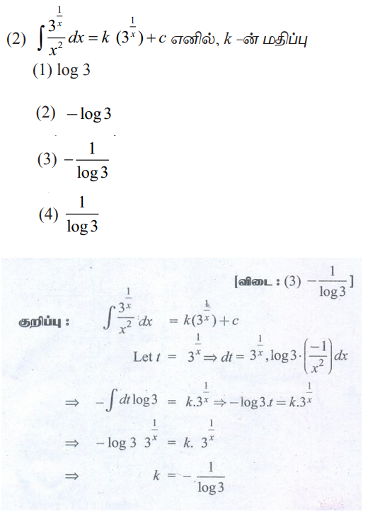
சரியான அல்லது மிகவும் ஏற்புடைய விடையினைக் கொடுக்கப்பட்ட நான்கு மாற்று விடைகளில் இருந்து தேர்ந்தெடுக்கவும்.

Tags : Integral Calculus | Mathematics தொகை நுண்கணிதம் Integral Calculus | கணக்கு.
11th Mathematics : UNIT 11 : Integral Calculus : Exercise 11.13: Choose the correct answer Integral Calculus | Mathematics in Tamil : 11th Standard
Tamil Medium School Samacheer Book Back Questions and answers, Important Question with Answer.
11 வது கணக்கு : அலகு 11 : தொகை நுண்கணிதம் Integral Calculus : பயிற்சி 11.13: சரியான விடையினை தேர்ந்தெடுக்கவும் - தொகை நுண்கணிதம் Integral Calculus | கணக்கு : 11 ஆம் வகுப்பு
புத்தகம் கேள்விகள் மற்றும் பதில்கள்.