வகை நுண்கணிதம் எல்லைகள் மற்றும் தொடர்ச்சித் தன்மை DIFFERENTIAL CALCULUS LIMITS AND CONTINUITY | கணக்கு - பயிற்சி 9.6: சரியான விடையினை தேர்ந்தெடுக்கவும் | 11th Mathematics : UNIT 9 : Differential Calculus Limits and Continuity
பயிற்சி 9.6
சரியான அல்லது மிகவும் ஏற்புடைய விடையினைக் கொடுக்கப்பட்ட நான்கு மாற்று விடைகளிலிருந்து தேர்ந்தெடுக்கவும்.
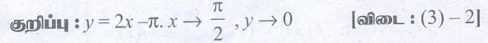
(1) 
(1) 1
(2) 0
(3) ∞
(4) −∞

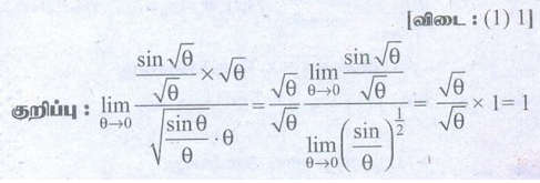
(2) 
(1) 2
(2) 1
(3) −2
(4) 0

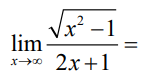
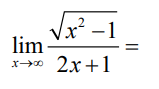
(3) 
(1) 0
(2) 1
(3) √2
(4) இவற்றில் ஏதுமில்லை

(4) 
(1) 1
(2) −1
(3) 0
(4) 2

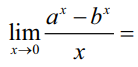
(5) 
(1) e4
(2) e2
(3) e3
(4) 1

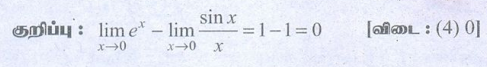
(6) 
(1) 1
(2) 0
(3) −1
(4) 1/2

(7) 
(1) log ab
(2) log (a/b)
(3) log (a/a)
(4) log (a/b)

(8) 
(1) 2 log 2
(2) 2(log2)2
(3) log 2
(4) 3 log 2

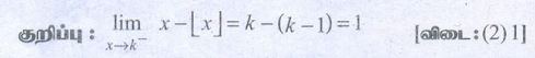
(9)
இங்கு x என்பது x−க்குச் சமமான அல்லது குறைவான மீப்பெரு முழு எண், எனில்,
−ன் மதிப்பு
(1) − 1
(2) 0
(3) 2
(4) 4

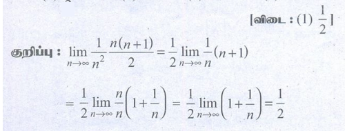
(10) 
(1) 2
(2) 3
(3) மதிப்பு இல்லை
(4) 0



(12) ƒ : ℝ → ℝ என்பது f(x) =
, x ∈ ℝ , என வரையறுக்கப்பட்டால் 
மதிப்பு −ன் மதிப்பு
(1) − 2
(2) – 1
(3) 0
(4) 1

(13)
−ன் மதிப்பு
(1) 1
(2) 2
(3) 3
(4) 0

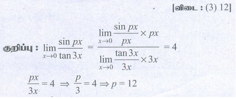
(14)
எனில் p−ன் மதிப்பு
(1) 6
(2) 9
(3) 12
(4) 4

(15)
−ன் மதிப்பு
(1) √2
(2)1/√2
(3) 1
(4) 2

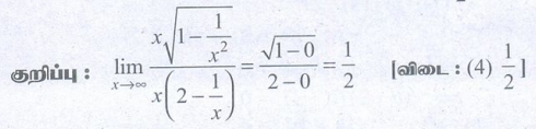
(16)
is
(1)1/2
(2)0
(3) 1
(4) ∞

(17) 
(1) 1
(2) e
(3)1/e
(4) 0

(18) 
(1) 1
(2) e
(3)1/2
(4) 0

(19)
−ன் மதிப்பு
(1) 1
(2) − 1
(3) 0
(4) எல்லை மதிப்பு இல்லை

(20)
ன் மதிப்பு இங்கு k
(1) − 1
(2) 1
(3) 0
(4) 2

(21)
என்பது
(1) தொடர்ச்சியானது
(2) தொடர்ச்சியற்றது
(3) வகையிடத்தக்கது
(4) பூஜ்ஜியமற்றது

(22) f : ℝ → ℝ என்பது
எனில் f என்பது
(1) x = 1/2 −ல் தொடர்ச்சியற்றது
(2) x = 1/2 −ல் தொடர்ச்சியானது
(3) எல்லா இடங்களிலும் தொடர்ச்சியானது
(4) எல்லா இடங்களிலும் தொடர்ச்சியற்றது

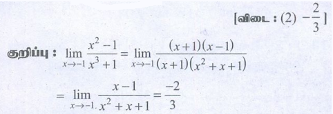
(23) சார்பு
, x = −1ஆல் வரையறுக்கப்படவில்லை. f(−1)−ன் எம்மதிப்பிற்கு இந்த சார்பு தொடர்ச்சியானதாக இருக்கும்.
(1) 2/ 3
(2) −2/ 3
(3) 1
(4) 0

(24) f என்ற சார்பு [2, 5]−இல் தொடர்ச்சியானது என்க. x−ன் எல்லா மதிப்புகளுக்கும் f விகிதமுறு மதிப்புகளை மட்டுமே பெறும். மேலும் f(3) = 12 எனில் f(4.5)−ன் மதிப்பு
(1) 
(2) 12
(3) 17.5
(4) 

(25) f என்ற சார்பு
என வரையறுக்கப்பட்டு f(0) = 2 எனில் f என்பது
(1) எங்கும் தொடர்ச்சியானது அல்ல
(2) எல்லா இடங்களிலும் தொடர்ச்சியானது
(3) x = 1 −ஐ தவிர எல்லா x மதிப்புகளுக்கும் தொடர்ச்சியானது
(4) x = 0 −ஐ தவிர எல்லா x மதிப்புகளுக்கும் தொடர்ச்சியானது
