தொகை நுண்கணிதம் (Integral Calculus)
தொகையிடல் என்பது பரப்பினைக் கண்டறியும் ஒரு செயலாகும். சில ஒழுங்கான வடிவங்களுக்கு எளிதாக பரப்பினைக் கண்டறியலாம். ஆனால் ஒழுங்கற்ற வடிவங்களின் பரப்பினை அவ்வாறு காணமுடியாது. இத்தகைய நேர்வுகளில் தொகை நுண்கணிதத்தைப் பயன்படுத்தி எளிமையாக பரப்பினைக் காணலாம். எடுத்துக்காட்டாக படம் 2.29 யில் காட்டப்பட்டுள்ள செவ்வகம் மற்றும் ஒழுங்கற்ற வளைகோடு ஆகியவற்றைக் கருதுக. செவ்வகத்தின் பரப்பு A = நீளம் × அகலம் = (b-a) c என எளிதாகக் கண்டறியலாம். ஆனால் ஒழுங்கற்ற வளைகோட்டின் கீழே அமையும் பரப்பை அவ்வாறு காண முடியாது.

f(x) என்ற சார்பாகக் கருதப்படும் ஒழுங்கற்ற வளைகோட்டிற்கு கீழே உள்ள பரப்பினைப் படம் 2.30 யில் காட்டப்பட்டுள்ளவாறு செவ்வகப் பட்டைகளாகக் பிரித்து, அவற்றின் கூடுதலை ஒழுங்கற்ற வளைகோட்டிற்குக் கீழே உள்ள பரப்பின் தோராயமாகக் கொள்ளலாம்.

இங்கு f(a) என்பது x = a என்ற நிலையில் f(x) இன் மதிப்பாகும், மேலும் f(x1) என்பது x = x1 என்ற நிலையில் f(x) இன் மதிப்பாகும். இவ்வாறே மற்ற மதிப்புகளையும் காண வேண்டும். செவ்வகப்பட்டைகளின் எண்ணிக்கை அதிகரிக்கும் போது, பரப்பை அளவிடுதலின் துல்லியத்தன்மை மென்மேலும் அதிகரிக்கும்.

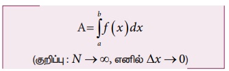
வளைகோட்டிற்குக் கீழே உள்ள பரப்பினை N பட்டைகளாகப் பகுக்கும் போது, வளைகோட்டிற்குக் கீழே உள்ள பரப்பை

செவ்வகப் பட்டைகளின் எண்ணிக்கை ஈறிலா மதிப்பினை நெருங்கும்போது
அவற்றின் கூடுதல், தொகையிடலாக மாறுகிறது.

இந்தத் தொகையிடல், வளைகோடு f(x) க்கு கீழே உள்ள மொத்தப் பரப்பினைக் கொடுக்கிறது. இது படம் 2.31 இல் காட்டப்பட்டுள்ளது.

எடுத்துக்காட்டுகள்
பொருளொன்று a புள்ளியிலிருந்து b புள்ளிக்கு ஒரு பரிமாண இயக்கத்தில் நகரும்போது விசை F(x) ஆல் செய்யப்பட்ட வேலையை கீழ்க்கண்டவாறு குறிப்பிடலாம்.

(இங்கு ஸ்கேலர் பெருக்கல் அவசியமில்லை. ஏனெனில் பொருள் ஒரு பரிமாண இயக்கத்தை மேற்கொள்கிறது.)
(1) விசையினால் செய்யப்பட்ட வேலை, விசை - இடப்பெயர்ச்சி வளைகோட்டிற்கு கீழே உள்ள பரப்பிற்குச் சமம் என்பதை படம் 2.32 காட்டுகிறது.

(2) t = 0 மற்றும் t = t1 என்ற சிறிய கால இடைவெளியில் விசையினால் ஏற்பட்ட கணத்தாக்கை தொகையிடல் மூலம் கணக்கிடலாம்.

விசைச் சார்பு F(t) மற்றும் நேரம் (t) வரைப்படத்தின் பரப்பு, கணத்தாக்கிற்குச் சமம். இது படம் 2.33 யில் காட்டப்பட்டுள்ளது

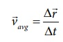
சராசரித் திசைவேகம்
தொடக்கத்தில் P என்ற புள்ளியில் உள்ள துகள் ஒன்றைக் கருதுக. அதன் நிலைவெக்டர்
ஆகும். Δt என்ற சிறிய கால இடைவெளியில் அத்துகள் Q என்ற புள்ளியை அடைகிறது அதன் நிலைவெக்டர்
ஆகும். துகளின் இடப்பெயர்ச்சிவெக்டர்

இடப்பெயர்ச்சி வெக்டர் மற்றும் அதற்கான கால இடைவெளி ஆகியவற்றின் விகிதம், சராசரி திசைவேகத்தினைக் கொடுக்கும்.

இது ஒரு வெக்டர் அளவாகும். சராசரித் திசைவேகத்தின் திசை, இடப்பெயர்ச்சி வெக்டரின் திசையில் (Δ
) அமையும்.
இது படம் 234 இல் காட்டப்பட்டுள்ளது

சராசரி வேகம்
துகள் கடந்து சென்ற பாதையின் மொத்த நீளத்திற்கும், எடுத்துக் கொண்ட கால இடைவெளிக்கும் உள்ள தகவு, சராசரி வேகமாகும்.
சராசரி வேகம் = பாதையின் மொத்த நீளம் / மொத்த நேரம்
உடனடித் திசைவேகம் (அல்லது) திசைவேகம்
t நேரத்தில் இருக்கும் உடனடித் திசைவேகம் அல்லது எளிமையாக t நேரத்தில் திசைவேகம் என்பது, Δt→0, என்ற நிபந்தனையில் கிடைக்கப்பெறும் சராசரித் திசைவேகம் ஆகும்.
மேலும், திசைவேகம் என்பது, நேரத்தைப் பொருத்து நிலைவெக்டர் மாறும் வீதமாகும். இது ஒரு வெக்டர் அளவாகும்.

வெக்டர் கூறுமுறையில் துகள் ஒன்றின் திசைவேகம்

திசைவேகத்தின் எண்மதிப்பு வேகம் எனப்படும். அதனை v என குறிப்பிடலாம்.

வேகம் எப்போதும் ஒரு நேர்க்குறி ஸ்கேலர் ஆகும். வேகத்தின் அலகு ms-1 ஆகும்.
உந்தம்
துகள் ஒன்றின் நேர்க்கோட்டு உந்தம் அல்லது உந்தம் என்பது அத்துகளின் நிறைக்கும், அதன் திசைவேகத்திற்கும் உள்ள பெருக்கற்பலன் ஆகும். இதனை
எனக் குறிப்பிடலாம். இது ஒரு வெக்டர் அளவு ஆகும்.

திசைவேகத்தின் திசையிலேயே உந்தத்தின் திசையும் இருக்கும். உந்தத்தின் எண்மதிப்பு துகளின் நிறை மற்றும் வேகத்தின் பெருக்கல் பலனுக்குச் சமம்.

கூறுமுறையில் உந்தத்தினை பின் வருமாறு குறிப்பிடலாம்.

இங்கு

நியூட்டன் விதிகளில் உந்தத்தின் பங்கு மிக முக்கியமானதாகும். பின்வரும் எடுத்துக்காட்டிலிருந்து உந்தத்தின் இயற்பியல் முக்கியத்துவத்தினை அறியலாம்.
ஒரு வண்ணத்துப்பூச்சி, சிறிய கல் ஆகிய இரண்டும் 5 ms-1 என்ற திசைவேகத்தில் உங்கள் மீது மோதுகிறது என்க. மோதலின் விளைவுகள் இரண்டும் சமமாக இருப்பதில்லை. ஏனெனில் விளைவு திசை வேகத்தினை மட்டும் பொருத்ததில்லை, நிறையையும் பொருத்தது.
சிறிய கல்லின் நிறை, வண்ணத்துப்பூச்சியின் நிறையைவிட அதிகம். எனவே, சிறிய கல்லின் உந்தம் வண்ணத்துப் பூச்சியின் உந்தத்தைவிட அதிகம். ஆகவே இயக்கத்தில் உள்ள பொருளின் நிலையை விளக்குவதில் உந்தத்தின் பங்கு மிக அதிகமாகும்.
உந்தத்தின் அலகு kg ms-1 ஆகும்.
சராசரி வேகம் தீர்க்கப்பட்ட எடுத்துக்காட்டு கணக்குகள்
எடுத்துக்காட்டு 2.20
படத்தில் உள்ளவாறு பொருளொன்று 0 புள்ளியிலிருந்து P புள்ளிக்கு 5 வினாடியில் கடந்து செல்கிறது. அப்பொருளின் சராசரித் திசைவேகம் மற்றும் சராசரி வேகம் ஆகியவற்றைக் காண்க.


இங்கு சராசரி வேகம், சராசரித் திசை வேகத்தை விட அதிகம் என்பதைப் புரிந்து கொள்ள வேண்டும்.
உடனடித் திசைவேகம் (அல்லது)
திசைவேகம் தீர்க்கப்பட்ட எடுத்துக்காட்டு கணக்குகள்
எடுத்துக்காட்டு 2.21
துக்களொன்றின் நிலை வெக்டர்

அ) t என்ற எந்தவொரு நேரத்திலும் உள்ள திசைவேகம் மற்றும் வேகத்தினைக் கணக்கிடுக.
ஆ) t = 2 வினாடி என்ற நேரத்தில் உள்ள திசைவேகம் மற்றும் வேகத்தினைக் கணக்கிடுக.
தீர்வு:
திசைவேகம் 
வேகம் 
t = 2 வினாடியில் துகளின் திசைவேகம்

t = 2 வினாடியில் துகளின் வேகம்

துகளானது x, y திசைகளில் திசைவேகத்தின் கூறுகளைப் பெற்றுள்ளது z திசையில் நிலை வெக்டர் (-5) என்ற மாறாத மதிப்பினைப் பெற்றுள்ளது. இது நேரத்தைச் சார்ந்ததல்ல. எனவே z- திசையில் திசைவேகத்தின் கூறு சுழியாகும்.
எடுத்துக்காட்டு 2.22
A, B மற்றும் C என்ற மூன்று துகள்களின் திசைவேகங்கள் கீழே கொடுக்கப்பட்டுள்ளன. இவற்றுள் எந்தத் துகள் அதிக வேகத்தில் செல்லும்.

தீர்வு
நாம் அறிந்தபடி வேகம் என்பது, திசைவேகத்தின் எண்மதிப்பு ஆகும். எனவே,

எடுத்துக்காட்டு 2.23
இரண்டு கார்களில் ஒன்று
=10ms-1 என்ற திசை வேகத்தில் கிழக்காகவும் மற்றொன்று
= 10ms-1 என்ற திசைவேகத்தில் மேற்காகவும் செல்கின்றன. அவற்றின் வேகங்களைக் கணக்கிடுக.
தீர்வு
இரண்டு கார்களும் வெவ்வேறான திசையில் ஒரே எண்மதிப்புடைய திசைவேகத்தில் செல்கின்றன.
எனவே இரண்டு கார்களும் வெவ்வேறு திசைவேகத்தில் செல்கின்றன எனக் கருதலாம். ஆனால், திசை வேகத்தின் எண்மதிப்பு வேகம் ஆகும். இதற்குத் திசை இல்லை. எனவே இரண்டு கார்களும் வெவ்வேறு திசைகளில் சென்றாலும் சம் வேகத்தில் செல்கின்றன என்பதை அறியலாம்.

உந்தம் தீர்க்கப்பட்ட எடுத்துக்காட்டு கணக்குகள்
எடுத்துக்காட்டு 2.24
10 g மற்றும் 1 kg நிறை கொண்ட இரண்டு பொருட்கள் 10 ms-1 என்ற ஒரே வேகத்தில் செல்கின்றன. அவற்றின் உந்தங்களின் எண்மதிப்பைக் காண்க.
தீர்வு
p = mv என்க
10 g நிறையுடைய பொருளின் உந்தம்
p = 0.01 × 10 = 0.1 kg ms-1

இரண்டும் ஒரே வேகத்தில் சென்றாலும் கனமான பொருளின் உந்தம், லேசான பொருளின் உந்தத்தை விட 100 மடங்கு அதிகம் என்பதை இந்த எடுத்துக்காட்டிலிருந்து அறியலாம்.