இயக்கவியல் - ஒரு பரிமாண இயக்கம் | 11th Physics : UNIT 2 : Kinematics
ஒரு பரிமாண இயக்கம்
சராசரித் திசைவேகம்
துக்களொன்று ஒரு பரிமாணத்தில் இயங்குகிறது என்க. எடுத்துக்காட்டாக x திசையில் இயங்குகிறது என்று எடுத்துக்கொண்டால் அத்துகளின் சராசரித் திசைவேகம்

சராசரித் திசைவேகம் ஒரு வெக்டர் அளவாகும். ஆனால் ஒரு பரிமாணத்தில், நமக்கு இரண்டு திசைகள் மட்டுமே சாத்தியம் (நேர்க்குறி மற்றும் எதிர்க்குறி x திசை) எனவே திசையினைக் குறிக்க நேர்க்குறி மற்றும் எதிர்க்குறி இரண்டினையும் பயன்படுத்தலாம்.
உடனடித் திசைவேகம் அல்லது திசைவேகத்தினைப் பின்வருமாறு வரையறுக்கலாம்.

வரைபடமுறையில், துகளின் இடப்பெயர்ச்சி நேரம் வரைபடத்தின் சாய்வு, துகளின் திசைவேகத்தினைக் கொடுக்கும். அதே நேரத்தில் துகளின் திசைவேகம்- நேரம் வரைப்படத்தின் வளைகோட்டிற்கு கீழே உள்ள பரப்பு இடப்பெயர்ச்சி மற்றும் கடந்த தொலைவினைக் கொடுக்கும். அதனைப் பின்வருமாறு விளக்கலாம்.
நாமறிந்தபடி, திசைவேகம் 
எனவே, dx = vdt என எழுதலாம்.
இரண்டு பக்கமும் தொகைப்படுத்த
எனக்கிடைக்கும்.
முற்பகுதியில் கூறப்பட்டபடி தொகையிடல் என்பது வளைகோட்டிற்கு கீழே உள்ள பரப்பினைக் காண்பதற்குச் சமம். எனவே,
என்ற பதம் திசைவேகம், காலத்தின் சார்பாக உள்ளபோது ஏற்படும் வளைகோட்டிற்கு கீழே உள்ள பரப்பினைக் குறிக்கிறது.
இடதுகைப் பக்கமுள்ள தொகையிடல் t1 நேரத்திலிருந்து t2 நேரத்தில் துகள் அடைந்த இடப்பெயர்ச்சியைக் குறிக்கிறது. திசைவேகம் - நேரம் வளை கோட்டிற்கு கீழே உள்ள பரப்பு துகளின் இடப்பெயர்ச்சியைக் குறிக்கிறது. பரப்பு எதிர்க்குறியாக இருப்பின், இடப்பெயர்ச்சி எதிர்க்குறி ஆகும். எனவே, துகள் எதிர்த்திசையில் செல்கிறது. இது படம் 2.35 இல் காட்டப்பட்டுள்ளது.

ஒரு பரிமாண மற்றும் இருபரிமாண இயக்கத்தில் சார்புத் திசைவேகம்
A மற்றும் B என்ற இரண்டு பொருட்கள் வெவ்வேறு திசை வேகங்களில் செல்கின்றன என்க, B பொருளைப் பொருத்து A பொருளின் திசைவேகம் என்பது, B பொருளைப் பொருத்து A பொருளின் சார்புத் திசைவேகம் எனப்படும்.
நேர்வு -1
A, B என்ற இரண்டு பொருள்கள் படத்தில் உள்ளவாறு VA மற்றும் VB. என்ற சீரான திசைவேகங்களில் நேர்க்கோட்டுப்பாதையில் தரையைப் பொருத்து ஒரே திசையில் செல்கின்றன.

B பொருளைப் பொருத்து A பொருளின் சார்புத்திசைவேகம்

A பொருளைப் பொருத்து B பொருளின் சார்புத்திசைவேகம்

எனவே, இரண்டு பொருட்கள் ஒரே திசையில் இயங்கும் போது, ஒரு பொருளைப் பொருத்து மற்றொன்றின் சார்புத்திசை வேகத்தின் எண்மதிப்பு, இவ்விரண்டு பொருள்களின் திசைவேகங்களின் எண் மதிப்புகளின் வேறுபாட்டிற்குச் சமமாகும்.
நேர்வு -2
A, B என்ற இரண்டு பொருட்கள் VA மற்றும் VB என்ற சீரான திசைவேகங்களில் ஒன்றுக்கொன்று எதிர் திசையில் நேரான பாதையில் செல்கின்றன.

B பொருளைப் பொருத்து A பொருளின் சார்புத் திசைவேகம்

A பொருளைப் பொருத்து B பொருளின் சார்புத் திசைவேகம்

எனவே, இரண்டு பொருட்கள் ஒன்றுக்கொன்று எதிர் திசையில் இயங்கும் போது, ஒரு பொருளைப் பொருத்து மற்றொரு பொருளின் சார்புத் திசைவேகமானது, இரண்டு பொருட்களின் திசைவேகங்களின் எண் மதிப்புகளின் கூடுதலுக்குச் சமமாகும்.
நேர்வு - 3
திசைவேகத்தில் இரண்டு பொருட்கள் θ கோணத்தில் இயங்கும் போது, B பொருளைப் பொருத்து A பொருளின் சார்புத் திசைவேகம்

சார்புத் திசைவேகத்தின் எண்மதிப்பு மற்றும் திசை கீழ்கண்டவாறு வழங்கப்படுகிறது.

(அ) இரு பொருட்களும், நேரான இணை பாதையில் ஒரே திசையில் இயங்கும் போது θ = 0° எனவே,

மேலும் VAB இன் திசை
இன் திசையில் இருக்கும். இதே போன்று,
(ஆ) இரு பொருட்களும் நேரான இணைப் பாதையில் ஒன்றுக் கொன்று எதிர்திசையில் இயங்கும் போது θ = 180°. எனவே,

மேலும் இதன் திசை
இன் திசையில் இருக்கும்.
இதேபோன்று

(இ) இரு பொருட்களும் ஒன்றுக்கொன்று செங்குத்தாக செல்லும் போது θ = 90°
B பொருளைப் பொருத்து A பொருளின் சார்புத் திசைவேகத்தின் எண்மதிப்பு

(ஈ) குடை பிடித்தபடி கிடைத்தளப் பாதையில் நடந்து செல்லும் மனிதரின் திசைவேகம்
என்க. அவரின் மீது செங்குத்தாக
திசைவேகத்தில் மழை பொழிகிறது எனில், மனிதரைப் பொருத்து, மழையின் சார்புத் திசைவேகம் (படம் 2.36)

இது படம் (2.36) இல் காட்டப்பட்டுள்ளது.

மழையிலிருந்து தன்னைப் பாதுகாத்துக் கொள்ள மனிதர் செங்குத்து அச்சைப் பொறுத்து θ கோணத்தில் குடையினை சாய்த்துப் பிடிக்க வேண்டும்.
முடுக்கிவிடப்பட்ட இயக்கம்:
சீரற்ற இயக்கத்தில் உள்ள பொருளின் திசைவேகம் ஒவ்வொரு நேரத்திலும் மாற்றமடைந்து கொண்டே இருக்கும். அதாவது திசைவேகம் நேரத்தைப் பொருத்து மாற்றமடைந்து கொண்டே இருக்கும்.
இவ்வகையான இயக்கத்திற்கு முடுக்கிவிடப்பட்ட இயக்கம் என்று பெயர்.
i) முடுக்கிவிடப்பட்ட இயக்கத்தில், ஓரலகு நேரத்தில் மாற்றமடைந்த பொருளின் திசைவேகம் சமமாக (மாறிலியாக) இருப்பின், அப்பொருள் சீராக முடுக்கிவிடப்பட்ட இயக்கத்தில் உள்ளது எனக் கருதலாம்.
ii) ஓரலகு நேரத்தில் மாற்றமடைந்த பொருளின் திசைவேகம் வெவ்வேறு நேரத்தில் வெவ்வேறாக இருப்பின் அப்பொருள் சீரற்ற முடுக்கிவிடப்பட்ட இயக்கத்தில் உள்ளது எனக் கருதலாம்.
சராசரி முடுக்கம்:
Δt = (t2 - t1) கால இடைவெளியில், திசைவேகம்
க்கு மாற்றமடைந்த பொருளின் சராசரி முடுக்கத்தை, திசைவேக மாறுபாடு மற்றும் எடுத்துக்கொண்ட கால இடைவெளி Δt = (t2 - t1) இவற்றின் தகவு என வரையறை செய்யலாம்.

சராசரி முடுக்கம் ஒரு வெக்டர் அளவாகும் அதன் திசை
இன் திசையில் இருக்கும்.
உடனடி முடுக்கம்:
பொதுவாக சராசரி முடுக்கம், முழு கால இடைவெளியில் பொருளின் திசைவேகத்தில் ஏற்படும் மாறுபாட்டைக் கொடுக்கும். ஆனால் இது ஒரு குறிப்பிட்ட கணநேரத்தில் (t) திசைவேகத்தில் ஏற்பட்ட மாற்றத்தைக் கொடுக்காது.
Δt சுழியை நெருங்கும்போது, நேரத்தைப் பொருத்துதிசைவேகத்தில் ஏற்பட்ட மாறுபாடு உடனடி முடுக்கம் அல்லது முடுக்கம் என அழைக்கப்படுகிறது.

வேறுவகையில் கூறின், t நேரத்தில் பொருளின் முடுக்கமானது அந்நேரத்தில் ஏற்பட்ட திசைவேக் மாறுபாட்டிற்குச் சமமாகும்.
(i) முடுக்கம் ஒரு வெக்டர் அளவு ஆகும். இதன் SI அலகு ms-2 பரிமாண வாய்ப்பாடு M°L1T-2
ii) திசைவேகம் அதிகரிக்கும் போது ஏற்படும் முடுக்கத்தை நேர்க்குறி முடுக்கம் எனவும் திசைவேகம் குறையும் போது ஏற்படும் முடுக்கத்தை எதிர்க்குறி முடுக்கம் எனவும் அழைக்கிறோம். இதனை எதிர்முடுக்கம் என்றும் அழைக்கலாம். கூறுமுறையில் முடுக்கத்தினை கீழ்க்கண்டவாறு எழுதலாம். இதிலிருந்து,

இவைகள் உடனடி முடுக்கத்தின் கூறுகள் ஆகும்.
திசைவேகத்தின் அனைத்து கூறுகளும், அதற்குத் தொடர்புடைய ஆய அச்சுக் கூறுகளின் வகைக்கெழுக்களாகும். இதே போன்று முடுக்க வெக்டர் ax, ay, மற்றும் az, ஆகியவற்றை கீழ்க்கண்டவாறு எழுதலாம்.

எனவே, முடுக்க வெக்டர்
ஐ கீழ்க்கண்டவாறும் எழுதலாம்.

மேற்கண்ட தொடர்பிலிருந்து முடுக்கம், நிலைவெக்டரின் நேரத்தைப் பொருத்த இரண்டாம் வகைக்கெழு என்று அறியலாம்.
வரைபட முறையில் முடுக்கம் என்பது திசைவேகம் - நேரம் வரைபடத்தின் சாய்வு ஆகும்.
மேலும், வரைபட முறையில் முடுக்கம் - நேரம் வரைப்படம் கொடுக்கப்பட்டிருப்பின் வளைகோட்டிற்கு கீழே உள்ள பரப்பு திசைவேகத்தைக் கொடுக்கும்.
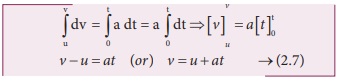
dv/dt = a இதிலிருந்து dv = adt என எழுதலாம்,

இங்கு t1 மற்றும் t2, தொடக்க மற்றும் இறுதி நேரத்தைக் குறிக்கிறது.
நுண்கணித முறையில் சீரான முடுக்கமடைந்த பொருளின் இயக்கச் சமன்பாடுகள்
நேர்கோட்டில் இயங்கும் பொருள் ஒன்றினைக் கருதுக. அதன் சீரான முடுக்கம் ‘a’ என்க. இங்கு சீரான முடுக்கம் என்பது முடுக்கம் ஒரு மாறிலி; அது நேரத்தைச் சாராதது என்று பொருள்.
நேரம் t = 0 வினாடியில் பொருளின் திசைவேகம் u என்க; நேரம் t வினாடியில் பொருளின் திசைவேகம் v என்க.
திசைவேகம் - நேரம் தொடர்பு
(i) எந்த ஒரு நேரத்திலும் பொருளின் முடுக்கம் என்பது நேரத்தைப் பொருத்து, திசைவேகத்தின் முதல் வகைக்கெழுவாகும்.

இயக்க நிபந்தனையின்படி (அதாவது நேரம் 0 விலிருந்து t வரை மாறும்போது, திசைவேகம் u விலிருந்து v க்கு மாறும்) இரண்டு பக்கமும் தொகைப்படுத்துக.

இங்கு a நேரத்தை சார்ந்து இருப்பின் இதனை தொகையீட்டிலிருந்து வெளியே எடுக்க முடியாது.
இடப்பெயர்ச்சி - நேரம் தொடர்பு
(ii) பொருளின் திசைவேகம் என்பது, நேரத்தைப் பொருத்து பொருளின் இடப்பெயர்ச்சியின் முதல் வகைக் கெழுவாகும்.

நேரம் t = 0 வினாடியில் பொருள் தொடக்கப்புள்ளியில் உள்ளது எனவும், ‘t’ கால இடைவெளியில் பொருளின் இடப்பெயர்ச்சி ‘s’ எனவும் கருதுக. மேலும் பொருளின் முடுக்கம் நேரத்தைச் சார்ந்ததல்ல எனக் கருதுக.

திசைவேகம் - இடப்பெயர்ச்சி தொடர்பு
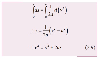
(iii) பொருளின் முடுக்கமென்பது, நேரத்தைப் பொருத்து திசைவேகத்தின் முதல் வகைக்கெழுவாகும்.

மேலே உள்ள சமன்பாட்டை தொகைப்படுத்த, அதாவது திசைவேகம் u விலிருந்து v க்கு மாறும்போது துகள் 0 விலிருந்து s வரை இடப்பெயர்ச்சி அடையும்.

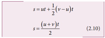
ஆரம்ப திசைவேகம் 'u' மற்றும் இறுதித் திசைவேகம் ‘v’ இவற்றைப் பொருத்தும் துகளின் இடப்பெயர்ச்சியை வருவிக்கலாம். சமன்பாடு (27) லிருந்து
at = v - u
இதனைச் சமன்பாடு (2.8) இல் பிரதியிடும் போது,

எனக் கிடைக்கும்.
சமன்பாடுகள் (2.7), (2.8), (2.9) மற்றும் (2.10) ஆகியவை இயக்கச் சமன்பாடுகள் எனப்படும். இவை நடைமுறையில் பல்வேறு இடங்களில் நமக்குப் பயன்படுகின்றன.

இயக்கச் சமன்பாடுகள் அனைத்தும், நேர்க்கோட்டில் இயங்கும் சீரான முடுக்கம் பெற்ற பொருட்களுக்கு மட்டுமே பொருந்தும் இவை வட்ட இயக்கம் மற்றும் அலைவியக்கத்தில் உள்ள பொருட்களுக்குப் பொருந்தாது.
புவியீர்ப்பினால் இயங்கும் பொருளின் இயக்கச் சமன்பாடுகள்:
நடைமுறையில் புவிப்பரப்பிற்கு சற்றே மேலே இயங்கும் பொருளின் இயக்கத்தினை சீரான முடுக்கம் பெற்ற நேர்க்கோட்டில் இயங்கும் பொருளின் இயக்கமாகக் கருதலாம். நாம் அறிந்தபடி புவிப்பரப்பிற்கு அருகில் புவியீர்ப்பு முடுக்கம் ‘g’ ஒரு மாறிலி ஆகும். இந்த புவியீர்ப்பு முடுக்கத்தினால் நேர்க்கோட்டில் இயங்கும் பொருளின் இயக்கத்தினை, இயக்கச் சமன்பாடுகளின் துணையுடன் நன்கு புரிந்து கொள்ள இயலும்.
நிகழ்வு (1): h உயரத்திலிருந்து தானே விழும் பொருள்:

'm' நிறையுடைய பொருளொன்று 'h' உயரத்திலிருந்து விழுகின்றது எனக் கருதுக. இங்கு காற்றுத்தடையைப் புறக்கணிக்கவும். (neglect) படம் 2.37 யில் காட்டியுள்ளவாறு கீழ் நோக்கிய திசையை நேர்க்குறி y அச்சாகக் கருதுக. பொருள் புவிப்பரப்பிற்கு அருகே விழுவதால் அது சீரான புவியீர்ப்பு முடுக்கத்தைப் பெறும். நாம் இயக்கச் சமன்பாடுகளைக் கொண்டு இவ்வியக்கத்தினை விளக்கலாம்.
முடுக்கம் 
கூறுகளை ஒப்பிடும்போது

எளிமையாக ay = a = g எனக் கொள்க.
'u' ஆரம்ப திசைவேகத்துடன் நேர்க்குறி y அச்சு திசையில் பொருளை கீழ்நோக்கி எறிவதாகக் கருதுக.
t என்ற எந்தவொரு நேரத்திலும் பொருளின் இறுதித்திசைவேகம்

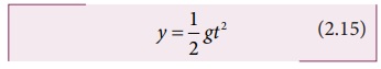
t என்ற எந்தவொரு நேரத்திலும் பொருளின் நிலை

பொருள் 'y' புள்ளியில் உள்ளபோது பொருளின் இருமடி வேகம்

(y என்பது மலையின் உச்சியிலிருந்து உள்ள தொலைவு)
பொருள் ஓய்வு நிலையிலிருந்து விழத்துவங்கினால் u = 0
எனவே, எந்தவொரு நேரத்திலும் பொருளின் திசைவேகம்

எந்தவொரு நேரத்திலும் பொருளின் நிலை

பொருள் 'y' புள்ளியில் உள்ளபோது அதன் இருமடி வேகம்

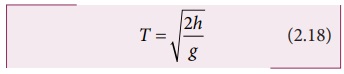
பொருள் தரையை அடைய எடுத்துக்கொள்ளும் நேரம் (t=T) எனில்
(2.15) லிருந்து

இங்கு y = h என்க.

சமன்பாடு (2.18) லிருந்து h இன் மதிப்பு அதிகரிக்கும்போது பொருள் தரையை அடைய அதிக நேரம் எடுத்துக்கொள்ளும் என்பதை அறியலாம். மேலும் h -இன் மதிப்பு குறைவு எனில் பொருள் தரையை அடைய குறைந்த நேரமாகும் என்பதை அறியலாம்.
சமன்பாடு (2.16) லிருந்து, தரையை அடையும் போது (y = h) பொருளின் வேகத்தினைக் கணக்கிடலாம்.

சமன்பாடு (2.19) லிருந்து h இன் மதிப்பு அதிகரிக்கும்போது பொருள் மிக அதிக வேகத்துடன் தரையை அடையும் மேலும் h இன் மதிப்பு குறையும் போது பொருள் குறைவான வேகத்துடன் தரையை அடையும் என்பதை அறியலாம்.
குறைந்த செங்குத்து உயரத்திலிருந்து (h << R) புவியீர்ப்பு விசையினால் மட்டுமே புவியினை நோக்கி விழும் பொருளின் இயக்கத்தினை, தடையின்றித் தானே விழும் பொருளின் இயக்கம் என அழைக்கலாம். (இங்கு R என்பது புவியின் ஆரமாகும்.)
நேர்வு (ii): பொருளொன்றை செங்குத்தாக மேல்நோக்கி எறிதல்
'm' நிறையுடைய பொருளொன்றை 'U' என்ற ஆரம்ப திசைவேகத்துடன் செங்குத்தாக மேல் நோக்கி எறிக. காற்றுத் தடையைப் புறக்கணிக்கவும். படம் 2.38 யின்படி மேல் நோக்கிய செங்குத்து திசை y அச்சின் திசை எனக் கருதுக.

இந்நிகழ்வில் முடுக்கம் a = -g, ஏனெனில் ‘g’ எதிர்க்குறி ‘y’ அச்சின் திசையில் செயல்படுகிறது. இவ்வகையான இயக்கத்திற்கான இயக்கச் சமன்பாடுகள் பின்வருமாறு.
எந்தவொரு நேரத்திலும் பொருளின் திசைவேகம்

எந்தவொரு நேரத்திலும் பொருளின் நிலை

எந்தவொரு நிலையிலும் y பொருளின் திசைவேகம்

தீர்க்கப்பட்ட எடுத்துக்காட்டு கணக்குகள் சராசரித் திசைவேகம்
எடுத்துக்காட்டு 2.25
துகள் ஒன்று x-அச்சுத் திசையில் நகர்கிறது என்க. அவ்வாறு அது நகரும் போது அதன் x - ஆய அச்சு நேரத்தைப் பொருத்து x = 2 - 5t + 6t2 என்ற சமன்பாட்டின்படி மாறுகிறது எனில் துகளின் ஆரம்பத் திசைவேகம் என்ன?
தீர்வு

ஆரம்பத் திசைவேகத்தில் உள்ள எதிர்க்குறி என்பது, பொருளானது ஆரம்பத்தில் எதிர் x - அச்சு திசையில் திசைவேகத்தைக் கொண்டிருந்தது என்று குறிக்கிறது.
துகள் கடந்த மொத்த பாதையின் நீளத்திற்கும், எடுத்துக் கொண்ட நேரத்திற்கும் உள்ள தகவு சராசரி வேகம் எனப்படும்.

தீர்க்கப்பட்ட எடுத்துக்காட்டு கணக்குகள் ஒரு பரிமாண மற்றும் இருபரிமாண இயக்கத்தில் சார்புத் திசைவேகம்
எடுத்துக்காட்டு 2.26
A மற்றும் B என்ற இரண்டு கார்கள் இணையான பாதையில் ஒரே திசையில் தரையைப் பொருத்து சீரான திசைவேகத்தில் செல்கின்றன. A மற்றும் B கார்களின் திசைவேகங்கள் முறையே 35 km h-1 மற்றும் 40 km h-1 கிழக்காக செல்கின்றன. A காரினைப் பொருத்து B காரின் சார்புத் திசைவேகம் என்ன?

தீர்வு
A காரினைப் பொருத்து B காரின் சார்புத் திசைவேகம்
கிழக்கு திசையில்
இதே போன்று B காரினைப் பொருத்து A காரின் சார்புத் திசைவேகம்
மேற்குத்திசையில் A காரில் உள்ள பயணிக்கு B காரானது கிழக்கு நோக்கி 5 km h-1 என்ற திசைவேகத்தில் செல்வது போன்று தோன்றும். B காரில் உள்ள பயணிக்கு A காரானது மேற்கு நோக்கி 5 km h-1 என்ற திசைவேகத்தில் செல்வது போன்று தோன்றும்.
எடுத்துக்காட்டு 2.27
A மற்றும் B என்ற இரண்டு ரயில் வண்டிகள் இணையான இரயில் பாதையில் ஒன்றுக் கொன்று எதிர் திசையில் செல்கின்றன. இரயில் வண்டி A இன் திசைவேகம் கிழக்கு நோக்கி 40 km h-1 மற்றும் இரயில் வண்டி B இன் திசைவேகம் மேற்கு நோக்கி 40 km h-1 இரயில் வண்டிகளின் சார்புத் திசைவேகங்களைக் காண்க.
தீர்வு
இரயில் வண்டி B ஐப் பொருத்து, இரயில் வண்டி A இன் சார்புத் திசைவேகம், VAB = 80 km h-1 கிழக்கு நோக்கி, அதாவது இரயில் வண்டி B இல் உள்ள பயணிக்கு, இரயில்வண்டி A கிழக்கு நோக்கி 80 km h-1 திசைவேகத்தில் செல்வது போன்று தோன்றும்.
இரயில் வண்டி A ஐப் பொருத்து, இரயில் வண்டி B இன் சார்புத் திசைவேகம், VBA = 80 km h-1 மேற்கு நோக்கி, அதாவது இரயில் வண்டி A இல் உள்ள பயணிக்கு, இரயில் வண்டி B மேற்கு நோக்கி 80 km h-1 திசைவேகத்தில் செல்வது போன்று தோன்றும்.
எடுத்துக்காட்டு 2.28
A மற்றும் B என்ற இரண்டு இரயில் வண்டிகள் இணையான இரயில் பாதையில் ஒரே திசையில் கிழக்கு நோக்கி 50 km h-1 என்ற திசைவேகத்தில் செல்கின்றன. இரயில் வண்டிகளின் சார்புத் திசைவேகங்களைக் காண்க.
தீர்வு

இவ்வாறே, இரயில் வண்டி B ஐப்பொருத்து, இரயில் வண்டி A இன் சார்புத் திசைவேகம் vAB சுழியாகும்.
எனவே இந்த இரு இரயில் வண்டியும் ஒன்று மற்றொன்றைப் பொருத்து ஓய்வு நிலையில் இருப்பது போன்று தோன்றும்.
எடுத்துக்காட்டு 2.29
36 km h-1 வேகத்தில் செல்லும் இரயில் வண்டியின் ஜன்னல் ஓரம் அமர்ந்திருக்கும் சிறுவன், எதிர் திசையில் 18 km h-1 வேகத்தில் செல்லும் 90 m நீளமுள்ள இரயிலை எவ்வளவு நேரத்திற்குப் பார்க்க முடியும்.
தீர்வு:
சிறுவனைப் பொருத்து எதிர்திசையில் செல்லும் இரயில் வண்டியின் சார்புத் திசைவேகம்
= (36 + 18) km h-1 = 54 km h-1
= 54 × 5/18 ms-1 = 15 ms-1
சிறுவன் எதிர் திசையில் செல்லும் இரயில் வண்டியை முழுவதும் பார்ப்பதற்கான நேரத்தினைக் கணக்கிட வேண்டும்.

எடுத்துக்காட்டு 2.30
ஆற்று நீரோட்டத்தின் திசையில் நீந்தும் நீச்சல் வீரரின் திசைவேகம் 12 km h-1 ஆற்று நீரோட்டத்தின் திசைக்கு எதிர்திசையில் அவரின் நீச்சல் திசைவேகம் 6km h-1 எனில், அமைதி நிலையில் இருக்கும் நீரினைப் பொருத்து நீச்சல் வீரரின் வேகத்தையும் மற்றும் ஆற்று நீரோட்டத்தின் திசைவேகத்தையும் காண்க.
தீர்வு
தரையைப் பொருத்து நீச்சல் வீரர் மற்றும் ஆற்று நீரோட்டத்தின் திசை வேகங்கள் முறையே VS மற்றும் Vr என்க

இரண்டு சமன்பாடுகளையும் கூட்டும் போது,
2vs = 12 + 6 = 18 km h-1 (அல்லது)
vs = 9 km h-1
சமன்பாடு (1) இல் இருந்து
9 + vr = 12 (அல்லது) vr = 3 km h-1 நீச்சல் வீரர் ஆற்று நீரோட்டம் பாய்ந்து கொண்டிருக்கும் அதே திசையில் நீந்தும் போது அவரின் தொகுபயன் திசைவேகம் 12 kmh-1
தீர்க்கப்பட்ட எடுத்துக்காட்டு கணக்குகள் முடுக்கிவிடப்பட்ட இயக்கம்
எடுத்துக்காட்டு 2.31
x- அச்சுத் திசையில் இயங்கும் துகளொன்றின் திசைவேகம் - நேரம் வரைபடம் கொடுக்கப்பட்டுள்ளது. அதிலிருந்து கீழ்க்கண்டவற்றைக் காண்க.

அ) 0 முதல் 55 வினாடி கால இடைவெளியில் துகளின் இயக்கத்தினை விளக்கவும்.
ஆ) 0 முதல் 40 வினாடி கால இடைவெளியில் துகள் கடந்த தொலைவு மற்றும் துகளின் இடப்பெயர்ச்சியைக் கணக்கிடவும்.
இ) t = 5 வினாடி மற்றும் t = 20 வினாடியில் துகளின் முடுக்கத்தினைக் கணக்கிடவும்.
தீர்வு:
அ) 0 முதல் A வரை: (0 வினாடி முதல் 10 வினாடி வரை)
t = 0 வினாடியில் துகளின் திசைவேகம் சுழி அதன் பின்பு துகள் நேர்க்குறி திசை வேகத்தைப் பெறும். எனவே துகள் நேர்க்குறி X திசையில் இயங்கும். 0 வினாடியிலிருந்து 10 வினாடி வரை வளைகோட்டின் சாய்வு
நேர்க்குறி ஆகும். இது துகளின் நேர்க்குறி முடுக்கத்தினைக் காட்டுகிறது. மேலும் 0 வினாடியிலிருந்து 10 வினாடி வரை துகளின் திசைவேகம் அதிகரிப்பதைக் காணலாம்.
A முதல் B வரை: (10 வினாடியிலிருந்து 15 வினாடி வரை)
10 வினாடி முதல் 15 வினாடி வரை 60 ms-1 என்ற மாறாத திசை வேகத்தில் துகள் உள்ளது. இது துகளின் சுழி முடுக்கத்தினைக் காட்டுகிறது. மேலும் துகள் தொடர்ந்து நேர்க்குறி திசையில் இயங்குவதை இது காட்டுகிறது.
B முதல் C வரை: (15 வினாடியிலிருந்து 30 வினாடி வரை)
15 வினாடியிலிருந்து 30 வினாடி வரை வளைகோட்டின் சாய்வு எதிர்க்குறி ஆகும். இது 15 வினாடியிலிருந்து 30 வினாடி வரை துகளின் திசைவேகம் குறைவதைக் காட்டுகிறது. இருப்பினும் துகள் நேர்க்குறி x அச்சு திசையிலேயே தொடர்ந்து இயங்குகின்றது. 30 வினாடியில் துகளின் திசைவேகம் சுழியாகிறது. துகள் நேர்க்குறி x திசையில் பெரும் தூரத்தைக் கடந்து பின்பு கண நேர ஓய்வினை அடைகிறது.
C யிலிருந்து D வரை : (30 வினாடியிலிருந்து 40 வினாடி வரை)
30 வினாடியிலிருந்து 40 வினாடி வரை துகள் எதிர்க்குறி திசைவேகத்தினை அடையும். இது துகள் எதிர்க்குறி x அச்சு திசையில் இயங்கத் தொடங்குவதைக் காட்டுகிறது. திசை வேகத்தின் எண்மதிப்பு 40 ms-1 என்ற பெரும் மதிப்பினை அடைகிறது.
D யிலிருந்து E வரை (40 வினாடியிலிருந்து 55 வினாடி வரை):
40 வினாடியிலிருந்து 55 வினாடி வரை திசைவேகம் எதிர்க்குறியில்தான் இருக்கிறது. அது மட்டுமின்றி குறையத் தொடங்குகிறது. t = 55 வினாடியில் துகளின் திசைவேகம் சுழியினை அடைந்து துகள் ஓய்வுநிலைக்கு வரும்.
ஆ) 0 முதல் 40 வினாடி வரை கொடுக்கப்பட்ட வளைகோட்டின் கீழே உள்ள பரப்பு துகளின் இடப்பெயர்ச்சியைக் கொடுக்கும். இங்கு 0 முதல் வரை உள்ள பரப்பு துகள் நேர்க்குறி X திசையில் அடைந்த இடப்பெயர்ச்சியையும், C முதல் D உள்ள பரப்பு துகள் எதிர்க்குறி x திசையில் அடைந்த இடப்பெயர்ச்சியையும் கொடுக்கும்.
0 வினாடி முதல் 10 வினாடி வரை துகள் அடைந்த இடப்பெயர்ச்சி
= 1/2 × 10 × 60 = 300 m
10 வினாடி முதல் 15 வினாடி வரை துகள் அடைந்த இடப்பெயர்ச்சி
= 60 × 5 = 300 m
15 வினாடி முதல் 30 வினாடி வரை துகள் அடைந்த இடப்பெயர்ச்சி
= 1/2 × 1560 = 450m
30 வினாடி முதல் 40 வினாடி வரை துகள் அடைந்த இடப்பெயர்ச்சி
= 1/2 × 10 × (-40) = -200m.
இங்கு எதிர்க்குறியானது, துகள் எதிர்க்குறி x அச்சு திசையில் 200 m சென்றதைக் காட்டுகிறது.

300 m + 300 m + 450 m - 200 m
= +850 m.
இங்கு நேர்க்குறியானது துகளின் தொகுபயன் இடப்பெயர்ச்சி நேர்க்குறி அச்சின் திசையில் உள்ளது என்பதைக் காட்டுகிறது.
O வினாடியிலிருந்து 40 வினாடி வரை துகள் கடந்த மொத்த தூரம் (பாதையின் நீளம்)
= 300 + 300 + 450 + 200 = 1250 m.
(இ) திசைவேகம் - நேரம் வரைபடத்தின் சாய்வு துகளின் முடுக்கத்தைக் கொடுக்கும். முதல் 10 வினாடிகளுக்கு திசை வேகம் மாறாத சாய்வினைக் கொண்டுள்ளது (மாறாத முடுக்கம்)

மேலும் துகள் 15 வினாடியிலிருந்து 30 வினாடி வரை மாறாத எதிர்க்குறி சாய்வினைக் கொண்டுள்ளது. இந்நிகழ்வில் v2 = 0 மற்றும் v1 = 60ms-1. எனவே t = 20 வினாடியில் முடுக்கமானது
எதிர்க்குறி சாய்வானது துகளின் எதிர் முடுக்கத்தைக் காட்டுகிறது.
எடுத்துக்காட்டு 2.32
துகளின் நிலை வெக்டர்
இதிலிருந்து கீழ்க்கண்டவற்றைக் காண்க
அ) t = 3 வினாடியில் துகளின் திசை வேகம்
ஆ) t = 3 வினாடியில் துகளின் வேகம்
இ) t = 3 வினாடியில் துகளின் முடுக்கம்
தீர்வு:
(அ) திசைவேகம் 
இங்கு 
திசைவேகம் இரண்டு கூறுகளை மட்டுமே பெற்றுள்ளது. அதாவது Vx = 6t (நேரத்தைச் சார்ந்துள்ளது) மற்றும் Vy = 5 (நேரத்தைச் சாராதது)
t = 3 வினாடியில் திசைவேகம்

(ஆ) t = 3 வினாடியில் துகளின்வேகம்

(இ) முடுக்கம் 
முடுக்கம் x- கூறினை மட்டுமே பெற்றுள்ளது. மேலும் இது நேரத்தைச் சாராதது. t = 3 வினாடியிலும் முடுக்கம் மாறாத மதிப்பான
ஐ பெற்றிருக்கும் என்பதை கவனிக்க வேண்டும். மேலும் இந்நிகழ்வில் துகள் சீரற்ற திசை வேகத்தையும் சீரான முடுக்கத்தையும் பெற்றுள்ளது.
எடுத்துக்காட்டு 2.33
பொருளொன்றை செங்குத்தாக கீழ் நோக்கி எறியும் போது அது எவ்வகையான முடுக்கத்தினைப் பெறும்?
தீர்வு:
நாம் அறிந்தபடி, தடையின்றித் தானே புவியை நோக்கி விழும் பொருள் புவியீர்ப்பு விசையினால் ஒரு முடுக்கத்தைப்பெறும் அது புவியீர்ப்பு முடுக்கமாகும். g = 9.8 ms-2. படத்தில் உள்ளபடி நாம் தகுந்த ஆய அச்சுத் தொகுப்பினை தேர்வு செய்ய வேண்டும்.

இதிலிருந்து முடுக்கமானது எதிர்க்குறி y திசையில் செயல்படும் என அறியலாம்.

சில நேரங்களில் கீழ்நோக்கிய திசையினை நேர்க்குறி y அச்சு என்றும் கருதுவதுண்டு தடையின்றி தானே செங்குத்தாக கீழ்நோக்கி விழும் பொருளின் முடுக்கம் 'g' ஐ, இந்நிகழ்வில் நேர்க்குறியாக கருத வேண்டும். (a = g)
தீர்க்கப்பட்ட எடுத்துக்காட்டு கணக்குகள் புவியீர்ப்பினால் இயங்கும் பொருளின் இயக்கச் சமன்பாடுகள்: நிகழ்வு (1): h உயரத்திலிருந்து தானே விழும் பொருள்:
எடுத்துக்காட்டு 2.34
10 m உயரத்திலிருந்து இரும்புப் பந்து மற்றும் இறகு இரண்டும் ஒரே நேரத்தில் விழுகின்றன. இரும்புப் பந்து மற்றும் இறகு இரண்டும் தரையை அடைய எடுத்துக்கொள்ளும் நேரம் எவ்வளவு?
அ) இரும்புப் பந்து மற்றும் இறகு இரண்டும் தரையை அடையும் போது அவற்றின் திசை வேகங்கள் எவ்வளவு?
(காற்றுத் தடையைப் புறக்கணிக்கவும் மேலும் g = 10 m s-2 என்க)
தீர்வு:
இயக்கச் சமன்பாடுகள் நிறையைச் சார்ந்ததல்ல. சமன்பாடு (2.18) இலிருந்து, இரும்புப் பந்து மற்றும் இறகு இரண்டும் ஒரே நேரத்தில் தரையை அடையும். இதனைப் பின்வருமாறு அறியலாம்.

எனவே, இரும்புப் பந்து மற்றும் இறகு இரண்டும் ஒரே நேரத்தில் தரையை அடையும் சமன்பாடு (2.19) இலிருந்து இரும்புப் பந்து மற்றும் இறகு தரையை அடையும்போது அவற்றின் திசைவேகங்கள் சமம். இதனைப் பின்வருமாறு அறியலாம்.

வெற்றிடத்தில் அனைத்துப் பொருட்களும் ‘g’ என்ற சம முடுக்கத்துடன்
கீழே விழும் என்பதைக் கலிலியோ கண்டறிந்தார்

எடுத்துக்காட்டு 2.35
இயக்கச் சமன்பாடுகளைப் பயன்படுத்தி கிணற்றின் ஆழத்தை அளக்கமுடியுமா?

தண்ணீர் இல்லாத கிணறு ஒன்றைக் கருதுக. அதன் ஆழம் d என்க. ஒரு சிறிய எலுமிச்சம்பழம் மற்றும் நிறுத்து கடிகாரத்தை எடுத்துக்கொள்க. எலுமிச்சம்பழத்தை கிணற்றின் விளிம்பிலிருந்து போடும் போது கடிகாரத்தை இயக்கவும். அது கிணற்றின் தரையை அடையும்போது கடிகாரத்தை நிறுத்தி தரையை அடைய எடுத்துக்கொண்ட நேரத்தைக் கண்டுபிடிக்கவும். அதனை ‘t’ என்க.
எலுமிச்சம்பழத்தின் ஆரம்ப திசைவேகம் u = 0 மேலும் கிணறு முழுவதும் புவியீர்ப்பு முடுக்கம் ‘g’ மாறிலி. எனவே சீரான முடுக்கம் பெற்ற பொருளின் இயக்கச் சமன்பாடுகளை இங்கு பயன்படுத்தலாம்.

u = 0, s = d, a = g (கீழ் நோக்கிய இடப்பெயர்ச்சியை நேர்க்குறி y அச்சு திசையில் கருதுக)

g = 9.8ms-2 எனப் பிரதியிட்டு கிணற்றின் ஆழத்தினைக் கணக்கிடலாம்.

கணக்கீட்டில் ஏற்பட்ட பிழையினைக் கண்டறிய நமக்குக் கிணற்றின் சரியான ஆழம் தெரிய வேண்டும். இதனை ஒரு கயிற்றினைப் பயன்படுத்தி அறியலாம். ஒரு கயிற்றினை எடுத்து அதைக் கிணற்றின் தரையைத் தொடும் அளவுக்கு தொங்கவிட வேண்டும். இப்போது கயிற்றின் நீளம் dcorrect குறிக்கப்படுகிறது.

பிழைக்கான காரணம் என்ன?
சோதனையை வெவ்வேறு நிறைகளுக்கு மீண்டும் நிகழ்த்தி அதன் முடிவினை dcorrect உடன் ஒவ்வொரு முறையும் ஒப்பிடவும்.
நீருள்ள கிணறு எனில் இம்முறையினைக் கொண்டு தண்ணீர் எவ்வளவு ஆழத்தில் உள்ளது என்பதனைக் கண்டறியலாம். அதாவது தண்ணீர் உள்ள மட்டம் வரை கிணற்றின் ஆழத்தைக் காணலாம்.
தீர்க்கப்பட்ட எடுத்துக்காட்டு கணக்குகள் புவியீர்ப்பினால் இயங்கும் பொருளின் இயக்கச் சமன்பாடுகள்: நேர்வு (ii): பொருளொன்றை செங்குத்தாக மேல்நோக்கி எறிதல்
எடுத்துக்காட்டு 2.36
இரயில் வண்டியொன்று 54 km h-1 என்ற சராசரி வேகத்தில் சென்று கொண்டிருக்கிறது. தடையை செலுத்திய பின்பு அவ்வண்டி 225 m சென்று நிற்கிறது எனில் இரயில் வண்டியின் எதிர் முடுக்கத்தைக் காண்க.
தீர்வு: இரயில் வண்டியின் இறுதித் திசைவேகம் v = 0 இரயில் வண்டியின் ஆரம்பத்திசைவேகம்

எதிர் முடுக்கம் எப்போதும் திசைவேகத்திற்கு எதிராக இருக்கும் எனவே,
