ஒரு பரிமாண மற்றும் இருபரிமாண இயக்கத்தில் சார்புத் திசைவேகம்
A மற்றும் B என்ற இரண்டு பொருட்கள் வெவ்வேறு திசை வேகங்களில் செல்கின்றன என்க. B பொருளைப் பொருத்து A பொருளின் திசைவேகம் என்பது, B பொருளைப் பொருத்து A பொருளின் சார்புத் திசைவேகம் எனப்படும்.
நேர்வு -1
A, B என்ற இரண்டு பொருள்கள் படத்தில் உள்ளவாறு VA மற்றும் VB. என்ற சீரான திசைவேகங்களில் நேர்க்கோட்டுப்பாதையில் தரையைப் பொருத்து ஒரே திசையில் செல்கின்றன.

B பொருளைப் பொருத்து A பொருளின் சார்புத்திசைவேகம்

A பொருளைப் பொருத்து B பொருளின் சார்புத்திசைவேகம்

எனவே, இரண்டு பொருட்கள் ஒரே திசையில் இயங்கும் போது, ஒரு பொருளைப் பொருத்து மற்றொன்றின் சார்புத்திசை வேகத்தின் எண்மதிப்பு, இவ்விரண்டு பொருள்களின் திசைவேகங்களின் எண் மதிப்புகளின் வேறுபாட்டிற்குச் சமமாகும்.
நேர்வு -2
A, B என்ற இரண்டு பொருட்கள் VA மற்றும் VB என்ற சீரான திசைவேகங்களில் ஒன்றுக்கொன்று எதிர் திசையில் நேரான பாதையில் செல்கின்றன.

B பொருளைப் பொருத்து A பொருளின் சார்புத் திசைவேகம்

A பொருளைப் பொருத்து B பொருளின் சார்புத் திசைவேகம்

எனவே, இரண்டு பொருட்கள் ஒன்றுக்கொன்று எதிர் திசையில் இயங்கும் போது, ஒரு பொருளைப் பொருத்து மற்றொரு பொருளின் சார்புத் திசைவேகமானது, இரண்டு பொருட்களின் திசைவேகங்களின் எண் மதிப்புகளின் கூடுதலுக்குச் சமமாகும்.
நேர்வு - 3
திசைவேகத்தில் இரண்டு பொருட்கள் θ கோணத்தில் இயங்கும் போது, B பொருளைப் பொருத்து A பொருளின் சார்புத் திசைவேகம்

சார்புத் திசைவேகத்தின் எண்மதிப்பு மற்றும் திசை கீழ்கண்டவாறு வழங்கப்படுகிறது.

(அ) இரு பொருட்களும், நேரான இணை பாதையில் ஒரே திசையில் இயங்கும் போது θ = 0° எனவே,

மேலும் VAB இன் திசை
இன் திசையில் இருக்கும். இதே போன்று,
(ஆ) இரு பொருட்களும் நேரான இணைப் பாதையில் ஒன்றுக் கொன்று எதிர்திசையில் இயங்கும் போது θ = 180°. எனவே,

மேலும் இதன் திசை
இன் திசையில் இருக்கும்.
இதேபோன்று

(இ) இரு பொருட்களும் ஒன்றுக்கொன்று செங்குத்தாக செல்லும் போது θ = 90°
B பொருளைப் பொருத்து A பொருளின் சார்புத் திசைவேகத்தின் எண்மதிப்பு

(ஈ) குடை பிடித்தபடி கிடைத்தளப் பாதையில் நடந்து செல்லும் மனிதரின் திசைவேகம்
என்க. அவரின் மீது செங்குத்தாக
திசைவேகத்தில் மழை பொழிகிறது எனில், மனிதரைப் பொருத்து, மழையின் சார்புத் திசைவேகம் (படம் 2.36)

இது படம் (2.36) இல் காட்டப்பட்டுள்ளது.

மழையிலிருந்து தன்னைப் பாதுகாத்துக் கொள்ள மனிதர் செங்குத்து அச்சைப் பொறுத்து θ கோணத்தில் குடையினை சாய்த்துப் பிடிக்க வேண்டும்.
முடுக்கிவிடப்பட்ட இயக்கம்:
சீரற்ற இயக்கத்தில் உள்ள பொருளின் திசைவேகம் ஒவ்வொரு நேரத்திலும் மாற்றமடைந்து கொண்டே இருக்கும். அதாவது திசைவேகம் நேரத்தைப் பொருத்து மாற்றமடைந்து கொண்டே இருக்கும்.
இவ்வகையான இயக்கத்திற்கு முடுக்கிவிடப்பட்ட இயக்கம் என்று பெயர்.
i) முடுக்கிவிடப்பட்ட இயக்கத்தில், ஓரலகு நேரத்தில் மாற்றமடைந்த பொருளின் திசைவேகம் சமமாக (மாறிலியாக) இருப்பின், அப்பொருள் சீராக முடுக்கிவிடப்பட்ட இயக்கத்தில் உள்ளது எனக் கருதலாம்.
ii) ஓரலகு நேரத்தில் மாற்றமடைந்த பொருளின் திசைவேகம் வெவ்வேறு நேரத்தில் வெவ்வேறாக இருப்பின் அப்பொருள் சீரற்ற முடுக்கிவிடப்பட்ட இயக்கத்தில் உள்ளது எனக் கருதலாம்.
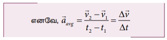
சராசரி முடுக்கம்:
Δt = (t2 - t1) கால இடைவெளியில், திசைவேகம்
க்கு மாற்றமடைந்த பொருளின் சராசரி முடுக்கத்தை, திசைவேக மாறுபாடு மற்றும் எடுத்துக்கொண்ட கால இடைவெளி Δt = (t2 - t1) இவற்றின் தகவு என வரையறை செய்யலாம்.

சராசரி முடுக்கம் ஒரு வெக்டர் அளவாகும் அதன் திசை
இன் திசையில் இருக்கும்.
உடனடி முடுக்கம்:
பொதுவாக சராசரி முடுக்கம், முழு கால இடைவெளியில் பொருளின் திசைவேகத்தில் ஏற்படும் மாறுபாட்டைக் கொடுக்கும். ஆனால் இது ஒரு குறிப்பிட்ட கணநேரத்தில் (t) திசைவேகத்தில் ஏற்பட்ட மாற்றத்தைக் கொடுக்காது.
Δt சுழியை நெருங்கும்போது, நேரத்தைப் பொருத்துதிசைவேகத்தில் ஏற்பட்ட மாறுபாடு உடனடி முடுக்கம் அல்லது முடுக்கம் என அழைக்கப்படுகிறது.

வேறுவகையில் கூறின், t நேரத்தில் பொருளின் முடுக்கமானது அந்நேரத்தில் ஏற்பட்ட திசைவேக் மாறுபாட்டிற்குச் சமமாகும்.
(i) முடுக்கம் ஒரு வெக்டர் அளவு ஆகும். இதன் SI அலகு ms-2 பரிமாண வாய்ப்பாடு M°L1T-2
ii) திசைவேகம் அதிகரிக்கும் போது ஏற்படும் முடுக்கத்தை நேர்க்குறி முடுக்கம் எனவும் திசைவேகம் குறையும் போது ஏற்படும் முடுக்கத்தை எதிர்க்குறி முடுக்கம் எனவும் அழைக்கிறோம். இதனை எதிர்முடுக்கம் என்றும் அழைக்கலாம். கூறுமுறையில் முடுக்கத்தினை கீழ்க்கண்டவாறு எழுதலாம். இதிலிருந்து,

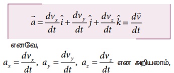
இவைகள் உடனடி முடுக்கத்தின் கூறுகள் ஆகும்.
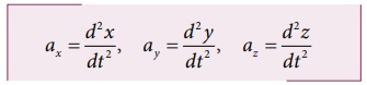
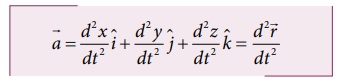
திசைவேகத்தின் அனைத்து கூறுகளும், அதற்குத் தொடர்புடைய ஆய அச்சுக் கூறுகளின் வகைக்கெழுக்களாகும். இதே போன்று முடுக்க வெக்டர் ax, ay, மற்றும் az, ஆகியவற்றை கீழ்க்கண்டவாறு எழுதலாம்.

எனவே, முடுக்க வெக்டர்
ஐ கீழ்க்கண்டவாறும் எழுதலாம்.

மேற்கண்ட தொடர்பிலிருந்து முடுக்கம், நிலைவெக்டரின் நேரத்தைப் பொருத்த இரண்டாம் வகைக்கெழு என்று அறியலாம்.
வரைபட முறையில் முடுக்கம் என்பது திசைவேகம் - நேரம் வரைபடத்தின் சாய்வு ஆகும்.
மேலும், வரைபட முறையில் முடுக்கம் - நேரம் வரைப்படம் கொடுக்கப்பட்டிருப்பின் வளைகோட்டிற்கு கீழே உள்ள பரப்பு திசைவேகத்தைக் கொடுக்கும்.
dv/dt = a இதிலிருந்து dv = adt என எழுதலாம்,

இங்கு t1 மற்றும் t2, தொடக்க மற்றும் இறுதி நேரத்தைக் குறிக்கிறது.
தீர்க்கப்பட்ட எடுத்துக்காட்டு கணக்குகள் ஒரு பரிமாண மற்றும் இருபரிமாண இயக்கத்தில் சார்புத் திசைவேகம்
எடுத்துக்காட்டு 2.26
A மற்றும் B என்ற இரண்டு கார்கள் இணையான பாதையில் ஒரே திசையில் தரையைப் பொருத்து சீரான திசைவேகத்தில் செல்கின்றன. A மற்றும் B கார்களின் திசைவேகங்கள் முறையே 35 km h-1 மற்றும் 40 km h-1 கிழக்காக செல்கின்றன. A காரினைப் பொருத்து B காரின் சார்புத் திசைவேகம் என்ன?

தீர்வு
A காரினைப் பொருத்து B காரின் சார்புத் திசைவேகம்
கிழக்கு திசையில்
இதே போன்று B காரினைப் பொருத்து A காரின் சார்புத் திசைவேகம்
மேற்குத்திசையில் A காரில் உள்ள பயணிக்கு B காரானது கிழக்கு நோக்கி 5 km h-1 என்ற திசைவேகத்தில் செல்வது போன்று தோன்றும். B காரில் உள்ள பயணிக்கு A காரானது மேற்கு நோக்கி 5 km h-1 என்ற திசைவேகத்தில் செல்வது போன்று தோன்றும்.
எடுத்துக்காட்டு 2.27
A மற்றும் B என்ற இரண்டு ரயில் வண்டிகள் இணையான இரயில் பாதையில் ஒன்றுக் கொன்று எதிர் திசையில் செல்கின்றன. இரயில் வண்டி A இன் திசைவேகம் கிழக்கு நோக்கி 40 km h-1 மற்றும் இரயில் வண்டி B இன் திசைவேகம் மேற்கு நோக்கி 40 km h-1 இரயில் வண்டிகளின் சார்புத் திசைவேகங்களைக் காண்க.
தீர்வு
இரயில் வண்டி B ஐப் பொருத்து, இரயில் வண்டி A இன் சார்புத் திசைவேகம்,
VAB = 80 km h-1 கிழக்கு நோக்கி, அதாவது இரயில் வண்டி B இல் உள்ள பயணிக்கு, இரயில்வண்டி A கிழக்கு நோக்கி 80 km h-1 திசைவேகத்தில் செல்வது போன்று தோன்றும்.
இரயில் வண்டி A ஐப் பொருத்து, இரயில் வண்டி B இன் சார்புத் திசைவேகம், VBA = 80 km h-1 மேற்கு நோக்கி, அதாவது இரயில் வண்டி A இல் உள்ள பயணிக்கு, இரயில் வண்டி B மேற்கு நோக்கி 80 km h-1 திசைவேகத்தில் செல்வது போன்று தோன்றும்.
எடுத்துக்காட்டு 2.28
A மற்றும் B என்ற இரண்டு இரயில் வண்டிகள் இணையான இரயில் பாதையில் ஒரே திசையில் கிழக்கு நோக்கி 50 km h-1 என்ற திசைவேகத்தில் செல்கின்றன. இரயில் வண்டிகளின் சார்புத் திசைவேகங்களைக் காண்க.
தீர்வு

இவ்வாறே, இரயில் வண்டி B ஐப்பொருத்து, இரயில் வண்டி A இன் சார்புத் திசைவேகம் vAB சுழியாகும்.
எனவே இந்த இரு இரயில் வண்டியும் ஒன்று மற்றொன்றைப் பொருத்து ஓய்வு நிலையில் இருப்பது போன்று தோன்றும்.
எடுத்துக்காட்டு 2.29
36 km h-1 வேகத்தில் செல்லும் இரயில் வண்டியின் ஜன்னல் ஓரம் அமர்ந்திருக்கும் சிறுவன், எதிர் திசையில் 18 km h-1 வேகத்தில் செல்லும் 90 m நீளமுள்ள இரயிலை எவ்வளவு நேரத்திற்குப் பார்க்க முடியும்.
தீர்வு:
சிறுவனைப் பொருத்து எதிர்திசையில் செல்லும் இரயில் வண்டியின் சார்புத் திசைவேகம்
= (36 + 18) km h-1 = 54 km h-1
= 54 × 5/18 ms-1 = 15 ms-1
சிறுவன் எதிர் திசையில் செல்லும் இரயில் வண்டியை முழுவதும் பார்ப்பதற்கான நேரத்தினைக் கணக்கிட வேண்டும்.

எடுத்துக்காட்டு 2.30
ஆற்று நீரோட்டத்தின் திசையில் நீந்தும் நீச்சல் வீரரின் திசைவேகம் 12 km h-1 ஆற்று நீரோட்டத்தின் திசைக்கு எதிர்திசையில் அவரின் நீச்சல் திசைவேகம் 6km h-1 எனில், அமைதி நிலையில் இருக்கும் நீரினைப் பொருத்து நீச்சல் வீரரின் வேகத்தையும் மற்றும் ஆற்று நீரோட்டத்தின் திசைவேகத்தையும் காண்க.
தீர்வு
தரையைப் பொருத்து நீச்சல் வீரர் மற்றும் ஆற்று நீரோட்டத்தின் திசை வேகங்கள் முறையே VS மற்றும் Vr என்க

இரண்டு சமன்பாடுகளையும் கூட்டும் போது,
2vs = 12 + 6 = 18 km h-1 (அல்லது)
vs = 9 km h-1
சமன்பாடு (1) இல் இருந்து
9 + vr = 12 (அல்லது) vr = 3 km h-1 நீச்சல் வீரர் ஆற்று நீரோட்டம் பாய்ந்து கொண்டிருக்கும் அதே திசையில் நீந்தும் போது அவரின் தொகுபயன் திசைவேகம் 12 kmh-1