கேள்வி பதில்கள் மற்றும் தீர்வுகள் | கணக்கு - தீர்க்கப்பட்ட எடுத்துக்காட்டு கணக்குகள் : முக்கோணம் மற்றும் நாற்கரத்தின் பரப்பு | 10th Mathematics : UNIT 5 : Coordinate Geometry
எடுத்துக்காட்டு 5.1
(-3,5), (5,6) மற்றும் (5,-2) ஆகியவற்றை முனைகளாகக் கொண்ட முக்கோணத்தின் பரப்பைக் காண்க.
தீர்வு
படத்தில், கொடுக்கப்பட்ட புள்ளிகளைக் கடிகார முள்ளின் எதிர் திசையில் அமையுமாறு குறிக்கவும்.
என்பன முக்கோணத்தின் முனைகள் என்க.


எடுத்துக்காட்டு 5.2
P(-1.5,3), Q(6,-2) மற்றும் R(-3, 4) ஆகிய புள்ளிகள் ஒரே நேர்க்கோட்டில் அமையும் எனக் காட்டுக.
தீர்வு
P(-1.5,3), Q(6,-2), R(-3, 4) ஆகியன கொடுக்கப்பட்ட புள்ளிகள் ஆகும்.
ΔPQR -யின் பரப்பு = 1/2{(x 1y2 + x 2y3 + x 3y1 ) −(x 2y1 + x 3y2 + x 1y3 )}
=1/2 {(3 + 24 − 9) −(18 + 6 − 6)} = 1/2{18 −18} = 0
எனவே, கொடுக்கப்பட்ட புள்ளிகள் ஒரே நேர்க்கோட்டில் அமைந்துள்ளன.
எடுத்துக்காட்டு 5.3
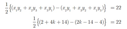
A(-1, 2) , B (k , -2) மற்றும் C(7, 4) ஆகியவற்றை வரிசையான முனைப் புள்ளிகளாகக் கொண்ட முக்கோணத்தின் பரப்பு 22 சதுர அலகுகள் எனில், k -யின் மதிப்புக் காண்க.
தீர்வு
A(-1, 2) , B (k , -2) மற்றும் C(7, 4) ஆகியன முனைப் புள்ளிகள் ஆகும்
ΔABC -யின் பரப்பு 22 சதுர அலகுகள்.

2k + 34 = 44
2k = 10 ⇒ k = 5
எடுத்துக்காட்டு 5.4
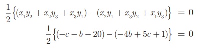
P(- 1, -4) , Q (b,c) மற்றும் R(5, -1) என்பன ஒரே நேர்க்கோட்டில் அமையும் புள்ளிகள் என்க. மேலும் 2b + c = 4 எனில், b மற்றும் c-யின் மதிப்பு காண்க.
தீர்வு
P(- 1, -4) , Q (b,c) மற்றும் R(5, -1) என்ற புள்ளிகள் ஒரே நேர்க்கோட்டில் அமைவதால்
ΔPQR-யின் பரப்பு = 0

−c −b − 20 + 4b − 5c −1 = 0
b - 2c = 7 …(1)
மேலும், 2b + c = 4 …(2) (கொடுக்கப்பட்டது)
(1) மற்றும் (2) -ஐ தீர்ப்பதன் மூலம் b = 3, c = −2
எடுத்துக்காட்டு 5.5
ஓர் அறையின் தளமானது ஒரே மாதிரியான முக்கோண வடிவத் தரை ஓடுகளைக் கொண்டு (tiles) அமைக்கப்படுகிறது. அதில் ஓர் ஓட்டின் முனைகள் (-3,2), (-1,-1) மற்றும் (1,2) ஆகும். தரைத்தளத்தை முழுமையாக அமைக்க 110 ஓடுகள் தேவைப்படுகின்றது எனில், அதன் பரப்பைக் காண்க.
தீர்வு
ஓர் ஓட்டின் முனைப் புள்ளிகள் (-3,2), (-1,-1) மற்றும் (1,2) ஆகும்.

இந்த ஓட்டின் பரப்பு = 1/2 {(3 − 2 + 2) −(− 2 −1 − 6)} ச. அலகுகள்
= 1/2(12) = 6 ச. அலகுகள்
தரைத்தளமானது ஒரே மாதிரியான 110 ஓடுகளால் நிரப்பப்படுவதால்,
தரைத்தளத்தின் பரப்பு = 110 × 6 = 660 ச. அலகுகள்.
எடுத்துக்காட்டு 5.6
(8,6), (5,11), (-5,12) மற்றும் (-4,3) ஆகிய புள்ளிகளை முனைகளாகக் கொண்ட நாற்கரத்தின் பரப்பைக் காண்க.
தீர்வு
நாற்கரத்தின் பரப்பைக் காண்பதற்கு முன்பாகக் கொடுக்கப்பட்ட புள்ளிகளை வரைபடத்தில் குறிக்கவேண்டும்.
A(8,6), B(5,11), C(-5,12) மற்றும் D(-4,3) என்பன முனைப் புள்ளிகள் ஆகும். எனவே, நாற்கரம் ABCD-யின் பரப்பு

முன்னேற்றச் சோதனை
கொடுக்கப்பட்ட நாற்கரம் ABCD -யின் முனைகள் A(-3,-8), B(6,-6), C(4, 2), D(-8, 2) ஆகும்
1. Δ ABC -யின் பரப்பு காண்க.
2. Δ ACD -யின் பரப்பு காண்க.
3. Δ ABC -யின் பரப்பு + Δ ACD -யின் பரப்பு காண்க.
4. நாற்கரம் ABCD -யின் பரப்பு காண்க.
5. கேள்வி 3 மற்றும் 4-யின் விடைகளை ஒப்பிடுக.

எடுத்துக்காட்டு 5.7
கொடுக்கப்பட்ட படமானது ஒரு வளாகத்தில் புதிய வாகன நிறுத்தம் ஏற்படுத்த அமைக்கப்பட்ட பகுதியைக் காட்டுகிறது. இதை அமைப்பதற்கு ஒரு சதுர அடிக்கு ₹1300 செலவாகும் என மதிப்பிடப்படுகிறது எனில், வாகன நிறுத்தம் ஏற்படுத்துவதற்குத் தேவையான மொத்தச் செலவைக் கணக்கிடவும்.
தீர்வு
A(2,2), B(5,5), C(4,9) மற்றும் D(1,7) என்பது நாற்கர வடிவ வாகன நிறுத்தத்தின் முனைப் புள்ளிகள் ஆகும்.
வாகன நிறுத்தத்தின் பரப்பு

வாகன நிறுத்தத்தின் பரப்பு = 16 சதுர அடிகள்
ஒரு சதுர அடி அமைக்க ஆகும் செலவு = ₹1300
வாகன நிறுத்தம் அமைக்க ஆகும் மொத்தச் செலவு = 16 × 1300 = ₹20800
செயல்பாடு 1
(i) ஒரு வரைபடத்தாளை எடுத்துக்கொள்க.
(ii) (0,0) மற்றும் (6,0) என்ற புள்ளிகளால் இணைக்கப்பட்ட அடிக்கோட்டினைக் கொண்ட முக்கோணத்தினைக் கருதுக.
(iii) (1,1), (2,2), (3,3), (4,4), (5,5) ஆகியவற்றை, மேற்கூறிய முக்கோணத்தின் மூன்றாவது முனைகளாகக் கொண்டு கிடைக்கும் முக்கோணங்களின் பரப்பு காண்க. விவரங்களை அட்டவணையில் நிரப்புக.
(iv) A1, A2, A3, A4, A5 -லிருந்து நீங்கள் காணும் அமைப்பை எழுதுக.
(v) மூன்றாவது முனைப் புள்ளிகளாக (1,2), (2,4), (3,8), (4,16), (5,32) ஆகியவற்றைக் கொண்டு படி (iii) -ஐ மீண்டும் செய்க.
(vi) புதிய விவரங்களைக் கொண்டு அட்டவணையை நிரப்புக.
(vii) A1, A2, A3, A4, A5 உருவாக்கும் அமைப்பு என்ன?

செயல்பாடு 2
நிழலிட்ட பகுதியின் பரப்பைக் காண்க.

உங்களுக்குத் தெரியுமா?
1630-களில் நவீன ஆயத் தொலை வடிவியல் பற்றிய கருத்துகளை உருவாக்கியவர்கள் இரு பிரஞ்சு கணிதவியலாளர்களான ரானே டெஸ்கார்டிஸ் மற்றும் பியரிடி ஃபெர்மா ஆவர்.