அலைவுகள் | இயற்பியல் - தீர்க்கப்பட்ட எடுத்துக்காட்டு கணக்குகள் | 11th Physics : UNIT 10 : Oscillations
அலைவுகள் (இயற்பியல்)
தீர்க்கப்பட்ட எடுத்துக்காட்டு கணக்குகள்
எடுத்துக்காட்டு 10.1
கீழ்க்காணும் இயக்கங்களில், சீரலைவு மற்றும் சீரற்ற அலைவு இயக்கங்களை வகைப்படுத்துக.
(a) ஹேலியின் வால்மீன் (Halley's comet)
(b) மேகங்களின் இயக்கம்
(c) புவியைச் சுற்றிவரும் சந்திரனின் இயக்கம்.
தீர்வு
(a) சீரலைவு இயக்கம்
(b) சீரற்ற அலைவு இயக்கம்
(c) சீரலைவு இயக்கம்
எடுத்துக்காட்டு 10.2
கீழ்க்கண்ட சார்புகளில், எந்த சார்பு காலத்தைப் பொருத்து சீரலைவு மற்றும் சீரற்ற அலைவு இயக்கத்தைக் குறிக்கும்?
(a) sin ωt + cos ωt
(b) In ωt
தீர்வு
(a) சீரலைவு இயக்கம்
(b) சீரற்ற அலைவு இயக்கம்
தனிச்சீரிசை இயக்கத்தில் இடப்பெயர்ச்சி, திசைவேகம், முடுக்கம் மற்றும் அவற்றிற்கான வரைபட விளக்கம் – SHM
எடுத்துக்காட்டு 10.3
கீழ்கண்டவற்றுள் எந்த சமன்பாடு தனிச்சீரிசை இயக்கத்தை குறிக்கிறது?
(i) x = A sin wt + B cos wt
(ii) x = A sin wt + B cos 2wt
(iii) x = Aeiwt
(iv) x = A ln wt
தீர்வு :
(i) x = A sin ωt + B cos ωt

இந்த வகைக்கெழுச்சமன்பாடு தனிச்சீரிசை இயக்கத்தின் வகைக்கெழுச் சமன்பாடு போன்று உள்ளது (சமன்பாடு 10.10)
எனவே, x = A sin ωt + B cos ωt
தனிச்சீரிசை இயக்கத்தினைக் குறிக்கும்.
(ii) x = A sin ωt + B cos ωt

இந்த வகைக்கெழுச் சமன்பாடு தனிச்சீரிசையியக்கத்தின் வகைக்கெழு சமன்பாடு (சமன்பாடு 10.10) போன்று அமையவில்லை.
எனவே, x = A sin ωt + B cos ωt
என்ற சார்பு தனிச்சீரிசை இயக்கத்தினைக் குறிக்காது.
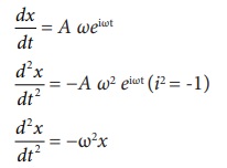
(iii) x=Aeiωt

இந்த வகைக்கெழுச் சமன்பாடு தனிச்சீரிசை இயக்கத்தின் வகைக்கெழு சமன்பாடு (சமன்பாடு 10.10) போன்று அமைந்துள்ளது. எனவே, x = Aeiwt என்பது தனிச்சீரிசை இயக்கத்தைக் குறிக்கும்.
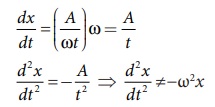
(iv) x = A ln ωt

இந்த வகைக்கெழுச் சமன்பாடு தனிச்சீரிசை இயக்கத்தின் வகைக்கெழு சமன்பாடு (சமன்பாடு 10.10) போன்று அமையவில்லை. எனவே, x = A ln ωt தனிச்சீரிசை இயக்கத்தைக் குறிக்காது.
எடுத்துக்காட்டு 10.4
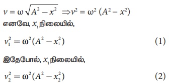
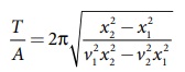
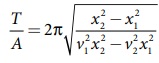
ஒரு துகளானது தனிச்சீரிசை இயக்கத்தை மேற்கொள்ளுவதாக கொள்வோம். x1 நிலையில் துகளானது v1 திசைவேகத்தையும் மற்றும், x2, நிலையில் v2, திசைவேகத்தையும் பெற்றிருப்பதாகக் கருதுவோம். அலைவு நேரம் மற்றும் வீச்சின் தகைவு
எனக் காட்டுக.
தீர்வு
சமன்பாடு 10.8 ஐப் பயன்படுத்த

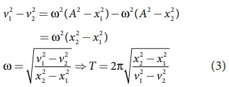
சமன்பாடு (1) லிருந்து சமன்பாடு (2) ஐ கழிக்க, நாம் பெறுவது

சமன்பாடு (1) லிருந்து சமன்பாடு (2) ஐ வகுக்க, நாம் பெறுவது

சமன்பாடு (3) ஐ சமன்பாடு (4) ஆல் வகுக்க, நாம் பெறுவது

தனிச்சீரிசை இயக்கத்தின் அலைவுநேரம், அதிர்வெண், கட்டம், கட்ட வேறுபாடு மற்றும் தொடக்கக் கட்டம்
எடுத்துக்காட்டு 10.5
ஒரு செவிலியர் நோயாளி ஒருவரின் சராசரி இதயத்துடிப்பை அளவிட்டுமருத்துவரிடம் 0.8s என்று அலைவு நேரத்தில் குறிப்பிட்டார். நோயாளியின் இதயத்துடிப்பை ஒரு நிமிடத்திற்கான துடிப்புக்களின் எண்ணிக்கையில் கூறவும்.
தீர்வு
அளவிடப்பட்ட இதயத்துடிப்புக்களின் எண்ணிக்கை f என்க. அலைவு நேரமானது இதயத்துடிப்புக்கு எதிர்விகிதத்தில் அமைவதால்,

1 நிமிடம் என்பது 60 விநாடிகள் ஆகும்.

எடுத்துக்காட்டு 10.6
கீழே கொடுக்கப்பட்டுள்ள தனிச்சீரிசை அலைவுகளுக்கான வீச்சு, கோண அதிர்வெண், அதிர்வெண், அலைவுநேரம் மற்றும் தொடக்கக்கட்டம் ஆகியவற்றைக் கணக்கிடுக.
a. y = 0.3 sin (40πt + 1.1)
b. y = 2 cos (πt)
c. y = 3 sin (2πt − 1.5)
தீர்வு
தனிச்சீரிசைஅலைவுச்சமன்பாடு y = A sin(ωt + φ0) அல்லது y = A cos(ωt + φ0)

எடுத்துக்காட்டு 10.7
தனிச்சீரிசை இயக்கத்தில்
a. இடப்பெயர்ச்சி மற்றும் திசைவேகத்திற்கான கட்ட வேறுபாடு π/2 ரேடியன் அல்லது 90°
b. திசைவேகம் மற்றும் முடுக்கத்திற்கான கட்ட வேறுபாடு π/2 ரேடியன் அல்லது 90°
c. இடப்பெயர்ச்சி மற்றும் முடுக்கத்திற்கான கட்ட வேறுபாடு π ரேடியன் அல்லது 180° எனக் காட்டுக.
தீர்வு
a. தனிச்சீரிசை இயக்கத்தை மேற்கொள்ளும் துகளின் இடப்பெயர்ச்சி
y = A sinωt
துகளின் திசைவேகம்
v = Aωcos ωt = Aωsin(ωt+ π /2)
இடப்பெயர்ச்சி மற்றும் திசைவேகத்திற்கிடையேயான கட்ட வேறுபாடு π/2.
b.துகளின் திசைவேகம்
v = A ω cos ωt
துகளின் முடுக்கம்
a = Aω2sinωt = Aω2cos(ωt+ π /2)
திசைவேகம் மற்றும் முடுக்கத்திற்கான கட்ட வேறுபாடு π /2.
c. துகளின் இடப்பெயர்ச்சி
y = A sinωt
துகளின் முடுக்கம்
a = − A ω2 sin ωt = A ω2 sin(ωt + π)
இடப்பெயர்ச்சி மற்றும் முடுக்கத்திற்கான கட்ட வேறுபாடு π ரேடியன்.
தீர்க்கப்பட்ட எடுத்துக்காட்டு கணக்குகள் நேர்போக்கு சீரிசை
அலையியற்றி (LHO)
சுருள்வில்லின் செங்குத்து அலைவுகள்
எடுத்துக்காட்டு 10.8
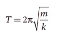
சுருள்வில் தராசு 0.25m நீளமும் 0 முதல் 25 kg வரை நிறையை அளவிடும் வகையிலும் அமைக்கப்பட்டுள்ளது. இச்சுருள்வில் தராசானது 11.5ms-2 ஈர்ப்பு முடுக்கம் கொண்ட X என்ற நாம் அறிந்திராத கோள் ஒன்றில் எடுத்துக் கொள்ளப்படுகிறது. M kg நிறை கொண்ட ஒரு பொருள் சுருள் வில்லில் தராசில் தொங்க விடப்படும் பொழுது 0.50s அலைவுக்காலத்துடன் அலைவுறுகிறது. பொருளின் மீது செயல்படும் ஈர்ப்பியல் விசையை கணக்கிடுக.
தீர்வு
சமன்பாடு (10.29) பயன்படுத்தி, முதலில் சுருள்வில் தராசின் விறைப்பு மாறிலியை நாம் கணக்கிடலாம்.

அலைவுகளின் அலைவுநேரம் 
இங்கு M -ன்பது பொருளின் நிறையாகும். M என்பது தெரியாத நிறையாதலால்
சமன்பாட்டை மாற்றி அமைக்க நாம் பெறுவது

பொருளின் மீது செயல்படும் ஈர்ப்பு விசை
W = Mg = 7.3 × 11.5 = 83.95 N ≈ 84 N
சுருள்வில்களின் தொகுப்புகள்
எடுத்துக்காட்டு 10.9
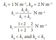
1Nm-1 மற்றும் 2Nm-1 சுருள் மாறிலிகள் கொண்ட இரு சுருள்வில்கள் தொடரிணைப்பில் இணைக்கப்படுவதாக கொள்வோம். இவ்வமைப்பின் தொகுபயன் சுருள்மாறிலியைக் (ks) கணக்கிடுக. மேலும் ks, ஐ பற்றி கருத்து கூறுக.
தீர்வு

எனவே தொகுபயன் சுருள் மாறிலியானது k1 மற்றும் k2, மதிப்புகளைவிடக் குறைவாக இருக்கும்.
எடுத்துக்காட்டு 10.10
1Nm-1 மற்றும் 2Nm-1 சுருள் மாறிலி கொண்ட இரு சுருள்வில்கள் பக்க இணைப்பில் இணைக்கப்படுவதாகக் கொள்வோம். தொகுபயன் சுருள்மாறிலியைக் கணக்கிடுக மேலும் kp ஐ பற்றி கருத்து கூறுக.
தீர்வு

எனவே தொகுபயன் சுருள்மாறிலியானது k1. மற்றும் k2 மதிப்பைவிட அதிக மதிப்பு கொண்டது.
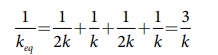
எடுத்துக்காட்டு 10.11
கீழ்க்காணும் அமைப்புகளின் தொகுப்பயன் சுருள்வில் மாறிலியின் மதிப்பைக் கணக்கிடுக. அனைத்து சுருள்வில்களுக்கும் சுருள்மாறிலிகளின் மதிப்பு சமம் எனக் கொண்டு கணக்கீடு செய்க.

தீர்வு
a. k1, மற்றும் k2, பக்க இணைப்பில் உள்ளதால், ku = k1 + k2
இதேபோல், k3, மற்றும் k4, பக்க இணைப்பில் kd = k3 + k4
ku, மற்றும் kp, ஆகியவை தொடரிணைப்பில் உள்ளன.
எனவே 
அனைத்து சுருள்வில் மாறிலிகளும் சமம் என்பதால்
k1 = k2 = k3 = k4 = k
அதாவது ku = 2k மற்றும் kd = 2k
எனவே, 
b. k1, மற்றும் k2, பக்க இணைப்பில் உள்ளதால்,
kA = k1 + k2
இதேபோல், k4, மற்றும் k5 உள்ளதால்,
kB = k4 + k5
kA, k3, kB, மற்றும் k6, தொடரிணைப்பில்
உள்ளதால் 
அனைத்து சுருள் மாறிலிகளும் சமம் என்பதால் k1 = k2 = k3 = k4 = k5 = k6 = k எனவே kA = 2k மற்றும் kB = 2k

keq = k/3
எடுத்துக்காட்டு 10.12
m நிறையானது v என்ற வேகத்தில் ஒரு உராய்வற்ற கிடைத்தள பரப்பில் சென்று, ஏறத்தாழ நிறையற்ற, சுருள் மாறிலி k கொண்ட சுருள்வில் மீது மோதுகின்றது. மோதலுக்கு பிறகு நிறையானது அமைதி நிலைக்கு வருகின்றது எனில் சுருள்வில்லின் அமுக்கத்தை கணக்கிடுக.
தீர்வு
நிறையானது சுருள்வில்லை மோதும்போது நிறையின் இயக்க ஆற்றல் இழப்பானது சுருள்வில்லில் மீள் நிலை ஆற்றலாக பெறப்படுகிறது. (ஆற்றல் மாறாக்கோட்பாட்டின்படி)
x என்பது சுருளின் இறுக்கமடைந்த தூரம் என்க, ஆற்றல் மாறாக் கோட்பாட்டின்படி

தனிச்சீரிசை இயக்கத்தில் தனி ஊசலின் அலைவுகள் மற்றும்
தனிஊசலின் விதிகள்
எடுத்துக்காட்டு 10.13
தனி ஊசல் சோதனைகளில், தோராயமாக சிறிய கோணங்களை பயன்படுத்துவோம். இச்சிறிய கோணங்களை விவாதிக்க

θ என்பது ரேடியனில் உள்ளபோது, சிறிய கோணங்களுக்கு sin θ ≈ θ

அதாவது θ வானது 10 டிகிரி மற்றும் அதைவிட குறைவாக இருக்கும்போது, θ வை ரேடியனில் குறிப்பிட்டால் sin θ வானது θ வுக்கு சமம். θ அதிகரிக்கும் பொழுது sine θ மதிப்பானது θ விலிருந்து படிப்படியாக வேறுபடுகிறது.
எடுத்துக்காட்டு 10.14:
ஒரு தனி ஊசலின் நீளம் அதன் தொடக்க நீளத்திலிருந்து 44% அதிகரிக்கிறது எனில் தனி ஊசலின் அலைவுநேரம் அதிகரிக்கும் சதவீதத்தை கணக்கிடுக.
தீர்வு

தீர்க்கப்பட்ட எடுத்துக்காட்டு கணக்குகள் தனிச்சீரிசை இயக்கத்தின் ஆற்றல்
எடுத்துக்காட்டு 10.15
ஒருபரிமாண இயக்கத்திற்கான இயக்க ஆற்றல் மற்றும் மொத்த ஆற்றல் இவற்றின் சமன்பாடுகளை நேர்க்கோட்டு உந்தத்தைக் கொண்டு எழுதுக.
தீர்வு
இயக்க ஆற்றல் KE= 1/2 mvx2
பகுதி மற்றும் தொகுதியை m ஆல் பெருக்க
KE= [1/2m] m2 vx2 = [1/2m] (mvx )2 = [1/2m] px2
இங்கு, PX. என்பது சீரிசை இயக்கத்தை மேற்கொள்ளும் துகளின் நேர்க்கோட்டு உந்தம்.
மொத்த ஆற்றல் என்பது இயக்க ஆற்றல் மற்றும் நிலை ஆற்றல்களின் கூடுதல் ஆகும். எனவே சமன்பாடு (10.73) மற்றும் சமன்பாடு (10.75) லிருந்து
E= KE +U( x) = [1/2m] px2 + 1/2 mω2 x2 = மாறிலி

எடுத்துக்காட்டு 10.16:
அலைவுறும் துகளின் நிலை ஆற்றல் மற்றும் இயக்க ஆற்றல் இரண்டும் சமமாக உள்ள நிலையை கணக்கிடுக.
தீர்வு
அலைவுறும் துகளின் நிலை ஆற்றல் மற்றும் இயக்க ஆற்றல் இரண்டும் சமம் எனில்
1/2 mω 2 (A2 − x 2 ) = 1/2 mω2 x2
A2 − x2 = x2
2x2 = A2
⇒ x = ±A/√2
அலைவுகள் (இயற்பியல்)
எண்ணியல் கணக்குகள்
1. புவியை சமச்சீரான R ஆரமுடைய கோளகப் பொருளாக கருதி, அதன் மையத்தின் வழியே நேரான துளையிடப்படுகிறது. அத்துளையில் தானாக விழும் ஒரு துகள் சீரிசை இயக்கத்தை மேற்கொள்ளும் எனவும் அதன் அலைவு நேரம்
எனவும் காட்டுக.
விடை:
புவி சமச்சீரான கோளம் அதன் மையம் O ஆரம் R என்க.
புவிப்பரப்பில் ஈர்ப்பு முடுக்கம் = g
துளைக்குள் விழும் துகளின் நிறை = m
t காலத்தில் துகள் விழுந்த ஆழம் = d
புவியின் மையத்தை நோக்கி செல்லும் போது ஈர்ப்பு முடுக்கம் குறையும்.

புவியின் மையத்திலிருந்த தொலைவு y எனில்
y = ஆரம் - தொலைவு
சமன்பாடு (1) ல் பிரதியிட g' = g(y/R)
புதிய ஈர்ப்பு முடுக்கத்தால் (g') பொருளின் மீதான F = mg' = mg y/R
துளைக்குள் தானாக விழும் துகள் சீரிசை இயக்கத்தில் உள்ளது எனில் சுருள் மாறிலி

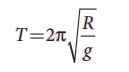
2. கிடைத்தளத்துடன் 45° கோணம் ஏற்படுத்தும் சாய்தளத்தில் வைக்கப்பட்டுள்ள உருளும் டிராலியில் l = 0.9 m நீளமுள்ள தனிஊசல் முறையாக பொருத்தப் பட்டுள்ளதாக கொள்வோம். சாய்தளமானது உராய்வற்றது எனில் தனிஊசலின் அலைவுக்காலத்தை கணக்கிடுக.
விடை :
தனிஊசலின் நீளம் l = 0.9 m
கிடைத்தளத்துடன் சாய்தளத்தின் கோணம் θ = 45°
தனிஊசலின் அலைவு நேரம் = T = ?

T = 2.63 s
3. ρ அடர்த்தி கொண்ட திரவத்தின் மீது m நிறை கொண்ட மரக்கட்டை மிதந்து கொண்டிருக்கிறது. அக்கட்டை இலேசாக கீழ்நோக்கி அமுக்கப்பட்டு விடப்படும் போது சீரிசை இயக்கத்தை மேற்கொள்கிறது.
இதன் அலைவுநேரம்
எனக் காட்டுக.
விடை :
திரவத்தின் சுருள் மாறிலி (Spring Factor) = Aρg
மரக்கட்டையின் நிலைம மாறிலி
(Inertial Factor) = m

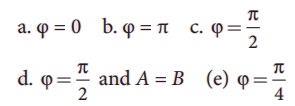
4. ஒத்த அதிர்வெண்ணும் வெவ்வேறான வீச்சுகளும் கொண்ட இரு சீரிசை இயக்கங்கள் x மற்றும் y அச்சுகளின் வழியே x = A sin (ωt + φ) (x அச்சின் வழியாக) மற்றும் y = B sin ωt (y அச்சின் வழியாக) என்ற வீச்சுகளுடன் இயக்க மடைகிறது எனக் கொள்க.
எனக் காட்டுக.

ஆகிய சிறப்பு நிகழ்வுகளையும் விவாதிக்க.

குறிப்பு : துகளானது ஒன்றுக்கொன்று செங்குத்தாக செயல்படும் இரு சீரிசை இயக்கங்களுக்கு உட்படுத்தப்படும் போது துகளானது வேறுபாதையின் வழியாக இயக்கமடையும், அப்பாதையே லிசாஜோ படம் என்று அழைக்கப்படுகிறது.
விடை:
a) y = B/A x என்ற சமன்பாடு ஆதிவழிச் செல்லும் நேர்மறை சாய்வுடன் கூடிய நேர்க்கோட்டுச் சமன்பாடாகும்.
b) y = -B/Ax என்ற சமன்பாடு ஆதிவழிச் செல்லும் எதிர்மறை சாய்வுடன் கூடிய நேர்க்கோட்டுச் சமன்பாடாகும்.
c) x2 / A2 + y2 / B2 = 1 என்ற சமன்பாடு நீள் வட்டத்தின் சமன்பாடாகும். அதன் மையம் ஆதியில் அமையும்.
d) x2 + y2 = A2, என்ற சமன்பாடு வட்டத்திற்கான சமன்பாடாகும். அதன் மையம் ஆதியில் அமையும்.
e)
என்பது நீள் வட்டத்தின் சமன்பாடாகும். (சாய்ந்த நீள்வட்டம்)
5. தனிச்சீரிசை இயக்கத்தை மேற்கொள்ளும் துகளின்
a) இயக்க ஆற்றலின் சராசரி மதிப்பானது நிலையாற்றலின் சராசரி மதிப்பிற்குச் சமம்
b) சராசரி நிலையாற்றல் = சராசரி இயக்க ஆற்றல் = 1/2 (மொத்த ஆற்றல்) எனக் காட்டுக.
குறிப்பு : சராசரி இயக்க ஆற்றல்

விடை :

6. கீழ்க்காணும் அமைப்பில் நிறை M ஆனது சமநிலைப்புள்ளியிலிருந்து செங்குத்தாக கீழ்நோக்கி சிறிது இடம் பெயர்ச்சி செய்து பின் விடப்பட்டால் அலைவு நேரத்திற்கான சமன்பாட்டை கணக்கிடுக. (கப்பி மெல்லியது மற்றும் உராய்வற்றது மேலும் கம்பியும் சுருள்வில்லும் லேசானது)

குறிப்பு: மற்றும் விடைகள்
நேர்வு (a) :
இங்கு கப்பியானது சுருள் வில்லினுள் பொருத்தப்பட்டுள்ளது. நிறையானது y - க்கு நீட்சி அமையும்.
எனவே, F = T = ky

நேர்வு (b) :
நிறை y க்கு இடம் பெயர்ந்தால், கப்பி y அளவு நீட்சி அடையும்.
T = 4ky
