வரையறை, சூத்திரம், தீர்க்கப்பட்ட எடுத்துக்காட்டு கணக்குகள் | அளவியல் | கணக்கு - புறப்பரப்பு : கோளம் | 10th Mathematics : UNIT 7 : Mensuration
கோளம் (Sphere)
வரையறை: ஓர் அரைவட்டத்தை அதன் விட்டத்தை அச்சாகக் கொண்டு ஒரு முழுச்சுற்று சுழற்றும்போது உண்டாகும் திண்ம உருவம் கோளம் ஆகும்.
ஒரு கோளத்தை எங்குக் குறுக்காக வெட்டினாலும் ஒரு வட்டம் கிடைக்கும். ஒரு கோள மையத்தின் வழியாகச் செல்லும் ஒரு தளக் குறுக்குவெட்டு மீப்பெரு வட்டமாகும். மற்ற தளக் குறுக்கு வெட்டுகள் சிறிய வட்டங்களாகும்.

படத்தில் உள்ளவாறு CD -ஐ விட்டமாகக் கொண்ட வட்டம் மீப்பெரு வட்டம் மற்றும் QR -ஐ விட்டமாகச் கொண்ட வட்டம் சிறிய வட்டமாகும்
கோளத்தின் புறப்பரப்பு (Surface area of a sphere)
ஆர்க்கிமெடிஸ் நிரூபணம்
ஒரு கோளம் அதன் விட்டத்திற்குச் சமமான உயரம் உள்ள உருளையினுள் படத்தில் காட்டியுள்ளவாறு வைக்கப்படுகிறது.
கோளத்தின் புறப்பரப்பு உருளையின் வளைபரப்புக்குச் சமம் என ஆர்க்கிமெடிஸ் நிறுவினார்.

எனவே, கோளத்தின் புறப்பரப்பு = உருளையின் வளைபரப்பு
= 2πrh
= 2πr (2r)
கோளத்தின் புறப்பரப்பு = 4πr2 ச. அ.
செயல்பாடு 2
(i) 'r' -ஐ ஆரமாகக் கொண்ட ஒரு கோளத்தை எடுத்துக்கொள்க.
(ii) 'r' ஆரமும், '2r' உயரமும் கொண்ட ஓர் உருளையை எடுத்துக்கொள்க.
(iii) கோளம் மற்றும் உருளையின் முழுப் புறப்பரப்பையும் ஒரு சீரான நூலால் இடைவெளியின்றியும் ஒன்றின்மீது ஒன்றாக இல்லாமலும் சுற்றுக.
(iv) சுற்றுவதற்குப் பயன்படுத்தப்பட்ட நூலின் நீளங்களை அளந்து ஒப்பிடுக.
(v) கோளத்தின் புறப்பரப்பைக் காண மேற்கண்ட கருத்தைப் பயன்படுத்துக.
1. அரைக்கோளம் (Hemisphere)
ஒரு திண்மக் கோளத்தை அதன் ஏதேனும் ஒரு மீப்பெரு வட்டம் வழியாக ஒரு தளம் வெட்டும்போது கிடைக்கும் கோளத்தின் ஒரு பகுதி அரைக்கோளம் எனப்படும்.

ஒரு கோளத்தின் சரிபாதியை ஓர் அரைக்கோளம் என்கிறோம்.
ஆகவே, அரைக்கோளத்தின் வளைபரப்பு = 
அரைக்கோளத்தின் வளைபரப்பு = 2πr2 ச.அ.
மேலும், அரைக்கோளத்தின் மொத்தப் புறப்பரப்பு = வளைபரப்பு + மேல்வட்டத்தின் பரப்பு
= 2πr 2 + πr2
அரைக்கோளத்தின் மொத்தப் புறப்பரப்பு = 3πr2 ச.அ.
2. உள்ளீடற்ற அரைக்கோளம் (Hollow Hemisphere)
r என்பது உட்புற ஆரம் என்க. R என்பது வெளிப்புற ஆரம் என்க
எனவே, தடிமன் = R - r

ஆகவே, வளைபரப்பு = அரைக்கோளத்தின் வெளிப்புறப் பரப்பு + அரைக்கோளத்தின் உட்புறப் பரப்பு
= 2πR2 + 2πr2
உள்ளீடற்ற அரைக்கோளத்தின் வளைபரப்பு = 2π (R2 + r2 ) ச.அ. மொத்தப் புறப்பரப்பு = வளைபரப்பு + வளையத்தின் பரப்பு
= 2 π (R 2 + r2 ) + π (R 2 −r2 )
= π [2R2 + 2r2 + R2 − r2]
உள்ளீடற்ற அரைக்கோளத்தின் மொத்தப் புறப்பரப்பு = π (3R2 + r2) ச.அ.
எடுத்துக்காட்டு 7.8
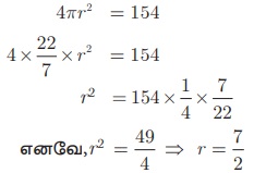
ஒரு கோளத்தின் புறப்பரப்பு 154 ச.மீ எனில், அதன் விட்டம் காண்க.
தீர்வு
கோளத்தின் ஆரம் 'r' என்க.
கோளத்தின் புறப்பரப்பு =154 ச.மீ
4πr2 = 154

ஆகவே, விட்டம் 7 மீ ஆகும்.
செயல்பாடு 3
உலக உருண்டையின், வட மற்றும் தென் அரைக்கோளப் பகுதிகளில் தலா இரு நாடுகளின் பெயர்களைக் குறிக்க.

எடுத்துக்காட்டு 7.9
ஒரு கோள வடிவ வளிக்கூண்டினுள் (balloon) காற்று உந்தப்படும்போது அதன் ஆரம் 12 செ.மீ-லிருந்து 16 செ.மீ ஆக உயருகிறது. இரு புறப்பரப்புகளின் விகிதம் காண்க.
தீர்வு
r1 மற்றும் r2 என்பன வளிக்கூண்டுகளின் ஆரங்கள் என்க.

ஆகவே, புறப்பரப்புகளின் விகிதம் 9:16 ஆகும்.
சிந்தனைக் களம்
1. ஒரு கோளத்தின் புறப்பரப்பு 36π ச. அலகுகள் எனில், ஆரத்தின் மதிப்பைக் காண்க
2. ஒரு கோளத்தில் எத்தனை மீப்பெரு வட்டங்கள் உள்ளன?
3. பூமியின் விட்டம் 12756 கி.மீ எனில், அதன் புறப்பரப்பைக் காண்க.
முன்னேற்றச் சோதனை
1. கோளத்தின் ஒவ்வொரு தளக் குறுக்கு வெட்டும், ஒரு ________ ஆகும்.
2. மீப்பெரு வட்டத்தின் மையப்புள்ளி, கோளத்தின் ________ ஆகும்.
3. ஓர் அரைக் கோளத்தின் மொத்தப் புறப்பரப்பிற்கும் வளைபரப்பிற்கும் இடையேயான வித்தியாசம் _________ ஆகும்.
4. ஒரு கோளத்தின் புறப்பரப்பு மற்றும் அரைக் கோளத்தின் வளைபரப்பு ஆகியவற்றின் விகிதமானது ________ ஆகும்.
5. ஒரு கோளத்தை அதன் மீப்பெரு வட்டம் வழியாக ஒரு தளம் வெட்டும் போது கிடைக்கும் ஒரு பகுதியை ________ என்கிறோம்.
எடுத்துக்காட்டு 7.10
ஒரு திண்ம அரைக்கோளத்தின் அடிப்பரப்பு 1386 ச.மீ எனில், அதன் மொத்தப் புறப்பரப்பைக் காண்க.
தீர்வு
r என்பது அரைக்கோளத்தின் ஆரம் என்க.
இங்கு, அடிப்பரப்பு = πr2 ச. அ. = 1386 ச. மீ.
அரைக்கோளத்தின் மொத்தப் பரப்பு = 3πr2 ச. அ.
= 3 × 1386 = 4158
ஆகவே, அரைக்கோளத்தின் மொத்தப் புறப்பரப்பு 4158 ச.மீ ஆகும்.
குறிப்பு
உள்ளீடற்ற கோளத்தின் வளைபரப்பு மற்றும் மொத்தப் பரப்புக் காண, கோளத்தின் புறப்பரப்பு காணும் சூத்திரத்தை பயன்படுத்தலாம்.
சிந்தனைக் களம்
1. ஒரு கோளத்தை அதன் சிறிய வட்டம் வழியே ஒரு தளத்தைக் கொண்டு வெட்டும்போது அரைக்கோளம் கிடைக்குமா?
2. ஓர் அரைக்கோளத்தின் மொத்தப் புறப்பரப்பு, அதன் அடிப்பரப்பின் எத்தனை மடங்காகும்?
3. ஒரு கோளத்திலிருந்து எத்தனை அரைக்கோளங்கள் கிடைக்கும்?
எடுத்துக்காட்டு 7.11
ஓர் உள்ளீடற்ற அரைக்கோள ஓட்டின் உள் மற்றும் வெளிப்புற ஆரங்கள் முறையே 3 மீ மற்றும் 5 மீ ஆகும். ஓட்டின் மொத்தப் புறப்பரப்பு மற்றும் வளைபரப்பைக் காண்க.
தீர்வு
ஓட்டின் உள் மற்றும் வெளிப்புற ஆரங்கள் முறையே, r மற்றும் R என்க.
இங்கு, R = 5 மீ, r = 3 மீ

உள்ளீடற்ற அரைக்கோளத்தின் வளைபரப்பு
= 2π(R2 + r2 ) ச.அ
= 2 × (22/7) × (25 + 9) = 213.71
உள்ளீடற்ற அரைக்கோளத்தின் மொத்தப் புறப்பரப்பு
= π (3R2 + r2) ச.அ
= (22/7) × (75 + 9) = 264
ஆகவே, வளைபரப்பு 213.71 ச. மீ மற்றும் மொத்தப் புறப்பரப்பு 264 ச. மீ ஆகும்.
எடுத்துக்காட்டு 7.12
ஒரு கோளம், உருளை மற்றும் கூம்பு ஆகியவற்றின் ஆரங்கள் சமம். படம் 7.20-ல் உள்ளபடி கூம்பு மற்றும் உருளையின் உயரங்கள் ஆரத்திற்குச் சமம் எனில், அவற்றின் வளைபரப்புகளின் விகிதம் காண்க.

தீர்வு
இங்கு, தேவையான விகிதம்
= கோளத்தின் வளைபரப்பு : உருளையின் வளைபரப்பு : கூம்பின் வளைபரப்பு
= 4πr2 : 2πrh : πrl , (l = √[r 2 + h2 ] = √[2r2] = √2r )
= 4πr2 : 2πr2 : πr√2r
= 4πr2 : 2πr2 : √2πr2
= 4 : 2: √2 = 2√2 : √2 : 1