வரையறை, சூத்திரம், தீர்க்கப்பட்ட எடுத்துக்காட்டு கணக்குகள் | அளவியல் | கணக்கு - புறப்பரப்பு : நேர்வட்டக் கூம்பு | 10th Mathematics : UNIT 7 : Mensuration
நேர்வட்டக் கூம்பு (Right Circular Cona)
படம் 7.9ல் கொடுக்கப்பட்ட உருவங்களை உற்று நோக்கி வடிவங்களின் அடையாளம் காண்க.
கொடுக்கப்பட்ட உருவங்கள் ஒரு கூம்பின் வடிவத்தை ஒத்துள்ளன.

வரையறை: செங்கோணத்தைத் தாங்கும் ஏதேனும் ஒரு பக்கத்தை மைய அச்சாகக் கொண்டு செங்கோண முக்கோணத்தை முழுச்சுற்று சுழற்றும்போது உண்டாகும் திண்ம உருவம் நேர்வட்டக் கூம்பு எனப்படும்.
நேர்வட்டக் கூம்பு உருவாக்கம் - செயல் விளக்கம்
படம் 7.10 -ல் ABC ஒரு செங்கோண முக்கோணம் ஆகும். இம்முக்கோணமானது AB என்ற பக்கத்தை அச்சாகக் கொண்டு ஒரு முழுச்சுற்று சுழற்றப்படுகிறது. இச்சுழற்சியானது, படத்தில் உள்ளவாறு ஒரு நேர்வட்டக் கூம்பை உருவாக்குகிறது. இங்கு அச்சு AB கூம்பின் உயரம் எனவும், கர்ணம் AC கூம்பின் சாயுயரம் எனவும் அழைக்கப்படும்.

நேர்வட்டக் கூம்பின் புறப்பரப்பு
படத்தில் காட்டியவாறு கூம்பின் மேற்பரப்பை சாயுயரம் AC வழியாக வெட்டினால் ACD என்ற வட்டக் கோணப் பகுதி கிடைக்கிறது. வட்டக் கோணப் பகுதியின் ஆரம் AC என்பது கூம்பின் சாயுயரம் ஆகவும் வட்டக்கோணப் பகுதியின் வில் DC கூம்பின் அடிச்சுற்றளவாகவும் கிடைக்கப்பெறும்.

இங்கு, வில்லின் நீளம் ‘s' மற்றும் ஆரம் ‘l' உடைய வட்டக்கோணப் பகுதியும், ‘l' ஆரம் கொண்ட வட்டமும் வடிவொத்தவையாகும்.
(i) வளைபரப்பு (Curved surface area)

மேலும் கூம்பின் வளைபரப்பு = வட்டக்கோணப் பகுதியின் பரப்பு = πrl ச. அ.
நேர்வட்டக் கூம்பின் வளைபரப்பு = πrl ச. அ
சிந்தனைக் களம்
1. நீங்கள் அன்றாடம் பயன்படுத்தும் திண்ம கூம்பு வடிவப் பொருட்கள் சிலவற்றைக் குறிப்பிடுக.
2. சம ஆரத்தையும், உயரத்தையும் கொண்ட ஒரு கூம்பின் புறப்பரப்பை ஆரத்தின் வழியே எழுதுக.
3. மேலே கூறப்பட்ட பரப்பைக் கூம்பின் அடிப்புறப் பரப்புடன் ஒப்பிடுக.
செயல்பாடு 1
(i) 7 செ.மீ ஆரமுள்ள ஓர் அரைவட்ட வடிவத்தாளை ஒரு கூம்பாக மாற்றுக. கூம்பின் வளைபரப்பைக் காண்க.
(ii) 3.5 செ.மீ ஆரமுள்ள ஒரு கால் வட்ட வடிவத்தாளை ஒரு கூம்பாக மாற்றுக. கூம்பின் வளைபரப்பைக் காண்க.
சாயுயரம் ‘l’ -ஐ தருவித்தல் (Derivation of Slant Height ‘l’)
ABC என்ற செங்கோண முக்கோணத்தில் கோணம் B என்பது செங்கோணம் ஆகும். ‘l’, ‘r’ மற்றும் h என்பன முறையே முக்கோணத்தின் கர்ணம், அடிப்பக்கம் மற்றும் உயரம் என்க.
தற்போது, முக்கோணம் ABC -ல் பித்தாகரஸ் தேற்றத்தின்படி,

மொத்தப் புறப்பரப்பு (Total surface area)
கூம்பின் மொத்தப் புறப்பரப்பு = கூம்பின் வளைபரப்பு + கூம்பின் அடிப்பரப்பு
= πrl + πr2 (ஏனெனில் கூம்பின் அடிப்பகுதி ஒரு வட்டமாகும்)
நேர்வட்டக் கூம்பின் மொத்தப்பரப்பு = πr (l + r ) ச.அ
எடுத்துக்காட்டு 7.5
கித்தானைக் கொண்டு 7 மீ ஆரமும் 24 மீ உயரமும் உடைய ஒரு கூம்பு வடிவக் கூடாரம் உருவாக்கப்படுகிறது. செவ்வக வடிவக் கித்தானின் அகலம் 4 மீ எனில், அதன் நீளம் காண்க.
தீர்வு
r மற்றும் h என்பன முறையே கூம்பின் ஆரம் மற்றும் உயரம் என்க.
இங்கு, ஆரம் r = 7 மீ, உயரம் h = 24 மீ
தற்போது,

கூம்பின் வளைபரப்பு = πrl ச.அ
= (22/7) × 7 × 25 = 550 மீ2
மேலும், கூம்பின் வளைபரப்பு = கித்தானின் பரப்பு
கித்தானின் நீளம் = கித்தானின் பரப்பு / கித்தானின் அகலம் = 550/4 =
137.5 மீ
ஆகவே, கித்தானின் நீளம் 137.5 மீ ஆகும்.
எடுத்துக்காட்டு 7.6
704 ச.செ.மீ மொத்தப் புறப்பரப்பு கொண்ட ஒரு கூம்பின் ஆரம் 7 செ.மீ எனில், அதன் சாயுயரம் காண்க.
தீர்வு
கூம்பின் ஆரம் r = 7 செ.மீ
கூம்பின் மொத்தப் புறப்பரப்பு = πr (l + r) ச. அ
மொத்தப் புறப்பரப்பு = 704 ச. செ.மீ
704 = (22/7) ×7 (l + 7)
32 = l + 7 ⇒ l = 25 செ.மீ.
ஆகவே, கூம்பின் சாயுயரம் 25 செ.மீ. ஆகும்.
எடுத்துக்காட்டு 7.7
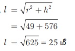
2.4 செ.மீ உயரமுள்ள ஒரு திண்ம உருளையின் விட்டம் 1.4 செ.மீ ஆகும். உருளையினுள் அதே ஆரமுள்ள கூம்பு வடிவக் குழிவு (படம் 7.13) உருளையின் உயரத்திற்கு ஏற்படுத்தப்படுகிறது எனில், மீதமுள்ள திண்மத்தின் மொத்தப் புறப்பரப்பு காண்க.

தீர்வு
h மற்றும் r என்பன கூம்பு மற்றும் உருளை ஆகியவற்றின் உயரம் மற்றும் ஆரம் என்க...
l என்பது கூம்பின் சாயுயரம் என்க.
இங்கு, h = 2.4 செ.மீ, d = 1.4 செ.மீ; r = 0.7 செ.மீ
மீதமுள்ள திண்மத்தின் மொத்தப் புறப்பரப்பு = உருளையின் வளைபரப்பு + கூம்பின் வளைபரப்பு + அடிப்பரப்பு
= 2πrh + πrl + πr2 ச.அ.

l = 2.5 செ.மீ
= (22/7) × 0.7 × [(2 × 2.4) + 2.5 + 0.7]
= 17.6
ஆகவே, மீதமுள்ள திண்மத்தின் மொத்தப் புறப்பரப்பு 17.6 ச. செ.மீ ஆகும்.
முன்னேற்றச் சோதனை
1. ஒரு _________ ஐ, அதன் _______________ ஐ மைய அச்சாகக் கொண்டு சுழற்றுவதன் மூலம் ஒரு திண்ம நேர்வட்டக் கூம்பினைப் பெறலாம்.
2. ஒரு நேர்வட்டக் கூம்பின் அச்சு அதன் விட்டத்துக்கு__________ அமையும்.
3. ஒரு கூம்பின் வளைபரப்பு மற்றும் மொத்தப் புறப்பரப்பு ஆகியவற்றின் வித்தியாசம் __________________.
4. ஒரு வட்டக்கோணப்பகுதி கூம்பாக மாறும்போது ஏற்படும் மாற்றங்களைச் சரியாகப் பொருத்துக.
