வரையறை, சூத்திரம், தீர்க்கப்பட்ட எடுத்துக்காட்டு கணக்குகள் | அளவியல் | கணக்கு - கூம்பினுடைய இடைக்கண்டத்தின் கன அளவு | 10th Mathematics : UNIT 7 : Mensuration
கூம்பினுடைய இடைக்கண்டத்தின் கன அளவு (Volume of frustum cone)
H மற்றும் h என்பன முறையே கூம்பு மற்றும் இடைக்கண்டத்தின் உயரம் என்க. இவற்றின் சாயுயரம் முறையே, L மற்றும் l என்க.
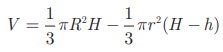
R மற்றும் r ஆகியவை இடைக்கண்டத்தின் இருபுறங்களின் ஆரங்கள் எனில், இடைக்கண்டத்தின் கன அளவு என்பது இரு கூம்புகளின் கன அளவுகளின் வித்தியாசம் ஆகும்.

எனவே 
முக்கோணங்கள் ABC மற்றும் ADE ஆகியவை வடிவொத்தவை. எனவே, ஒத்த பக்கங்களின் விகிதங்கள் சமம்.

சிந்தனைக் களம்
ஒரு கூம்பின் இடைக் கண்டத்தின் கன அளவைக் கொண்டு முழுக் கூம்பின் கன அளவைக் காண முடியுமா?
எடுத்துக்காட்டு 7.23
45 செ.மீ உயரமுள்ள ஓர் இடைக்கண்டத்தின் இரு புற ஆரங்கள் முறையே 28 செ.மீ மற்றும் 7 செ.மீ எனில், இடைக்கண்டத்தின் கன அளவைக் காண்க.
தீர்வு
இடைக்கண்டத்தின் உயரம் h எனவும் அதன் இருபுற ஆரங்கள் R மற்றும் r எனவும் கொள்க.
இங்கு, h = 45 செ.மீ, R = 28 செ.மீ, r = 7 செ.மீ

எனவே, இடைக்கண்டத்தின் கன அளவு 48510 க. செ.மீ ஆகும்.
உங்களுக்குத் தெரியுமா?
ஓர் உருளையின் சாய்ந்த இடைக்கண்டத்தின் படம் தரப்பட்டுள்ளது.
உருளையை, Cவழியாக ABஎன்ற அடிப்பரப்பிற்கு இணையில்லாத ஒரு தளம் வெட்டினால், கிடைக்கும்
இடைக்கண்டத்தின் வளைபரப்பு 
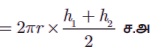
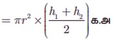
h1 மற்றும் h2 என்பன சாய்ந்த இடைக்கண்டத்தின் அதிகபட்ச மற்றும் குறைந்தபட்ச உயரங்கள் ஆகும்.
மேலும், இடைக்கண்டத்தின் கன அளவு 
